背景介绍:
铅基金属卤化物具有吸收系数高,缺陷密度低,禁带宽度小等优点,在光伏器件、光源等领域表现出很大的应用潜力。然而其毒性以及环境不稳定性严重限制其实际应用。所以,开发环境友好型的金属卤化物成为近些年的研究热点。低维铜基卤化物具有高效的发光效率、大的斯托克斯位移等一般低维金属卤化物的优点,另外,由于其由强局域载流子产生的有效激子发射,在近几年受到越来越多的关注,是一种具有很大发展潜力的发光材料。目前虽然已经合成了许多含有单一卤素的铜卤化物,但是在含混合卤素的铜基卤化物中,多个自陷态激子(STEs)的发光过程尚未得到系统的研究。探索混合卤素铜基卤化物中STE的发射机理,可以让我们更加深刻地理解铜卤化物的发光行为,为开发更多具有优异发光性能的环境友好型金属卤化物提供了新的思路和方法。
文章介绍:
近日,深圳大学的时玉萌教授课题组报道了一种新的低维有机-无机杂化铜基卤化物MACuBrI,并深入研究了混合卤素铜基卤化物中多个自捕获激子的发光过程。利用其依赖温度的不同STE跃迁过程,将MACuBrI制成防伪墨水,实现了多重加密的防伪效果,有效提高了数据的安全性,也展现出低维铜基卤化物在实际应用中的广阔前景。相关成果以“Regulation of Self-Trapped Excitons in an Organic–Inorganic Hybrid Cu(I) Halide with Mixed Halogens for Use in Advanced Anticounterfeiting”发表在Advanced Optical Materials上。深圳大学副研究员方绍帆和硕士研究生杜爱璇为共同第一作者。

工作介绍:
铅基卤化物由于具有可调的光学带隙、高载流子迁移率、较长的载流子扩散长度、高光电转换效率、大吸收系数等优点,使其在光伏发电领域被广泛研究。铅基卤化物也因其缓慢降解带来的毒性问题以及对湿度、氧气、紫外线和热不稳定性等问题,给其商业化应用带来了巨大的挑战。大量研究工作旨在开发新的无毒金属卤化物,锡(Sn)、锗(Ge)、铋(Bi)、锑(Sb)
和铜(Cu)等元素是有望替代铅的候选者。其中,铜基卤化物不仅拥有一般无毒金属卤化物
的优点,而且具有由强局域载流子产生的有效激子发射,是目前具有极大应用潜力的发光材料。其中,低维有机-无机杂化铜基卤化物具有结构灵活性、较大极性以及较高荧光效率的优点,使其成为新一代优秀发光材料。
虽然目前已经合成多种低维有机-无机杂化铜基卤化物,单大多都是单一卤素,在含混合卤素的铜基卤化物中,多个自捕获激子的发光过程尚未得到系统的研究。理论上,由于不同卤素离子的离子半径和离子性可能影响铜离子团簇的形成,即卤素的变化会影响材料的结构。在该工作中,如图1所示,改变前驱体溶液中卤素的种类,即可以得到单一卤素零维铜基卤化物(MA)4Cu2Br6,也可以形成具有一维链状结构的混合卤素铜基卤化物MACuBrI,并且荧光发射由原来发射峰为524 nm的绿光蓝移到发射峰位为495 nm的蓝光。此外,在混合卤素的材料中,有可能形成不同的自捕获激子,因为断裂不同的Cu-X(X=Cl,Br or I)键可能会形成不同激子。因此,改变环境条件,如温度和压力,可能会促进有机-无机杂化铜基卤化物中不同STE的辐射跃迁过程。
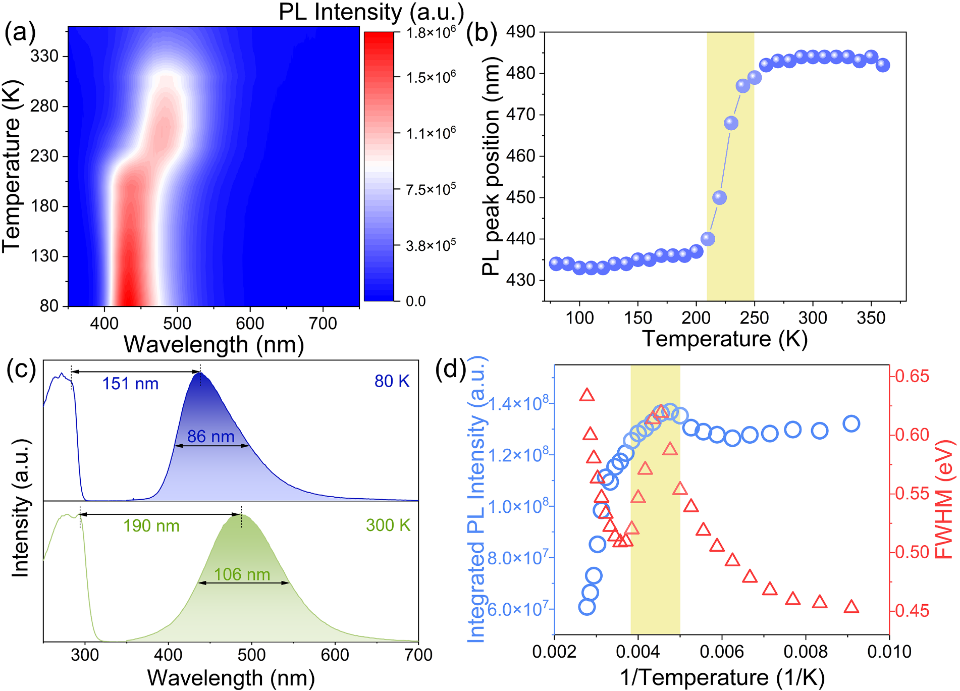
如图2所示,该材料的温度依赖的PL光谱可以更加深入研究MACuBrI中的发光行为。在温度210K~250K处,峰值中心由原来的440 nm红移到479 nm,这种PL光谱存在明显差异的现象,表明在该体系中可能存在两种不同的发光跃迁过程。根据该材料的大激子结合能和大的Huang–Rhys 因子 S,可以得到,MACuBrI随着温度的变化产生两种不同的STE发射。如图3所示,每个Cu沿c轴上有两个相邻的Cu,例如,Cu1与Cu2和Cu3相邻,分别由III和BrII连接。当形成激发态时,可能断裂的Cu1-III和Cu1-BrII产生不同的激子结构,STE1和STE2。如图4所示,由理论模拟的两种STE的发射能量,断裂Cu-I键和Cu-Br键的STE形成过程的发射能量分别时2.51 eV和2.81eV,计算结果与实验得到的发射能量非常接近。因此,可以得出结论,室温下的天蓝色发射来源于断裂Cu1-III的STE1,低温下的深蓝色发射来源于断裂Cu1-BrII的STE2。由于MACuBrI的混合卤素结构,在室温和低温下产生两种不同的STE,实现了温度相关的发光。根据该性质,研究人员将MACuBrI制成防伪墨水,如图5所示,在常温和低温下呈现不同的信息,实现了多重防伪的效果。该研究对STE发射领域有了更深刻的理解,并激发了研究人员对相关铜基卤化物材料展开进一步研究,为开发更多具有优异发光性能的环境友好型金属卤化物提供了新的思路和方法。
创新点:
- 成功制备了新型低维有机-无机杂化铜基卤化物MACuBrI单晶并探索了其光学性质;
- 深入探究了混合阴离子体系中STE的发射机理,更加深刻揭示了不同卤素离子对晶体结构以及荧光光谱的影响;
- 探索了新型低维有机-无机杂化铜基卤化物在防伪技术领域的应用,展现出铜基卤化物在实际应用中的广阔前景。

图1 (a) MA4Cu2Br6和MACuBrI通晶体结构示意图;(b) MACuBrI单晶在可见光和紫外光下的图像;(c) MACuBrI X射线衍射图样;(d) MACuBrI荧光光谱;(e) MACuBrI在室温下的PL衰减和拟合曲线。

图2 (a)MACuBrI的与温度相关的PL特性;(b)不同温度下的PL峰位置;(c)比较在80和300 K下的PL激发和PL光谱; (d) FWHM和PL积分强度

图3 (a)电子能带结构; (b)MACuBrI的投影态密度(DOS)图; (c)一维[CuX4]n结构中Cu、Br和I原子的连接。

图4 MACuBrI中基态STE1和STE2的空穴和电子波函数的结构以及计算的部分电荷密度轮廓。

图5 (a)丝网印刷技术的原理图; (b)使用MACuBrI前驱体溶液在可见光和302 nm紫外线光上显示的印刷图案; (c)在302 nm紫外光下,温度分别为298 K和80 K下的印刷图案。
论文信息:
Regulation of Self-Trapped Excitons in an Organic–Inorganic Hybrid Cu(I) Halide with Mixed Halogens for Use in Advanced Anticounterfeiting
Shaofan Fang,⊥ Aixuan Du,⊥ Bo Zhou, Zexiang Liu, Jingheng Nie, Ye Wang, Haizhe Zhong,
Hanlin Hu, Henan Li,* and Yumeng Shi*
DOI: 10.1002/adom.202202952
链接: https://doi.org/10.1002/adom.202202952
本文由作者供稿





