一、【导读】
双极性有机半导体材料是一类特殊的半导体材料,能够通过对栅极电压的调控实现电子传输或空穴传输的转变。能够同时传导空穴和电子的空气稳定的单组分双极性有机半导体具有极大优势,然而目前无法实现。中性镍-双(二硫代)复合物可以满足浅层HOMO能级和深层LUMO能级的严格电子要求,可以减少载流子注入障碍,以克服金电极的功函数并确保空气稳定性,是极具希望的候选者。然而,大多数已被表征为双极性半导体的镍-双(二硫代)类似物具有扭曲的分子结构,阻碍载流子传导所需的有效分子间相互作用。
二、【成果掠影】
为了解决以上难题,日本东京大学Hatsumi Mori教授团队合成了平面烷氧基取代的镍-双(二硫代)类似物,这些类似物促进了具有有效分子间相互作用的紧密堆积。值得注意的是,将甲氧基改变为乙氧基或丙氧基导致堆积模式的巨大变化,从一维到人字形排列,同时保持有效的分子间相互作用。这些材料保持了结晶性和可溶性之间的平衡:它们在薄膜中也是高度结晶的,而在有机溶剂中溶解度极大。因此,它们极容易进行溶液加工,在场效应晶体管中形成具有良好定义和有序结构的半导体层。基于这些化合物的器件表现出高效的双极性,即使在暴露于空气中几个月后,也能实现高达10-2 cm2 V-1 s-1的高载流子迁移率和高达105的大开/关比,这是目前空气中驱动的单组分双极性半导体材料所实现的最佳性能。该论文以题为“Ambipolar Nickel Dithiolene Complex Semiconductors: From One- to Two-Dimensional Electronic Structures Based upon Alkoxy Chain Lengths”发表在知名期刊J. Am. Chem. Soc.上,Tomoko Fujino博士为共同通讯作者。

三、【核心创新点】
合成的平面烷氧基取代的镍-双(二硫代)类似物,是一类可同时传导空穴和电子的空气稳定的单组分双极性有机半导体,实现高达10-2 cm2 V-1 s-1的高载流子迁移率和高达105的大开/关比,是目前空气中驱动的单组分双极性半导体材料所实现的最佳性能。
四、【数据概览】

图一、双极性半导体材料的结构示意图 © 2022 ACS Publications
本研究中展示的用于场效应晶体管的双极性半导体材料的能级要求和镍-双(二硫代)复合物的结构。

图二、单晶结构分析 © 2022 ACS Publications
(a-b)Ni(4OMe)、Ni(4OEt)和Ni(4OPr)单晶的分子结构的顶视图和侧视图。
(c)计算的LUMO和HOMO轨道,能级由CV确定。

图三、橡岭热椭球图 © 2022 ACS Publications
(a,d)Ni(4OMe)、(b,e)Ni(4OEt)和(c,f)Ni(4OPr)单晶结构的ORTEP图(50%热椭球体)。

图四、Hirshfeld表面分析 © 2022 ACS Publications
基于(a)Ni(4OMe)、(b)Ni(4OEt)和(c)Ni(4OPr)的单晶结构的Hirschfeld表面分析。

图五、单晶中配合物的电子结构 © 2022 ACS Publications
溶液(虚线)和晶体(实线)中Ni(4OMe)、Ni(4OEt)和Ni(4OPr)的电子光谱。

图六、场效应晶体管表征 © 2022 ACS Publications
(a-b)在对二甲苯-C处理的Si/SiO2基底上的Ni(4OEt)和Ni(4OPr)的刮涂薄膜的PXRD图案。
(c)半导体层中Ni(4OEt)的分子取向示意图。

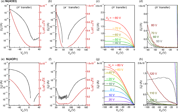
图七、空气中FET的载流子传输性能 © 2022 ACS Publications
FET器件中制备的(a−d)Ni(4OEt)和(e−h)Ni(4OPr)薄膜的FET特性。
五、【成果启示】
综上所述,研究人员设计并合成了三种平面镍-双(二硫代)复合物作为单组分双极半导体材料。所有配合物始终显示出浅层HOMO能级、深层LUMO能级和窄的Eg,满足了在大气条件下实现双极性特征的要求。研究表明,烷氧基取代基长度的轻微增加改变了分子堆叠结构,由1D堆积模式转变为人字形堆积模式,并且由于其平面结构,电子结构获得了更高的维度,同时保持了相对较强的分子间相互作用。与其他在空气中驱动的单分子量双极性半导体材料相比,这些材料在大气条件下表现出相当或优越的空穴和电子迁移率。这些器件具有优越的空气稳定性,可以驱动两个多月,这在以前的单分子量π基伏极材料中是没有实现的。本研究为分子半导体以及功能材料(包括光学、磁性和导电材料)提供了重要的基础,并建立了设计指南。
文献链接:Ambipolar Nickel Dithiolene Complex Semiconductors: From One- to Two-Dimensional Electronic Structures Based upon Alkoxy Chain Lengths (J. Am. Chem. Soc. 2022, DOI: 10.1021/jacs.2c08015)
本文由大兵哥供稿。





