当前位置: 材料牛 » HTH官网地址 » 导读 » 西南交大&RMIT Nat. Commun.: 预测合金系统凝固晶界迁移现象

西南交大&RMIT Nat. Commun.: 预测合金系统凝固晶界迁移现象

【前沿】

晶界是不同取向晶体之间的界面,是多晶材料的一个基本组成要素,对材料所有的性能几乎都有影响。凝固是大部分金属材料及零部件制造过程中的一个核心环节或终端制造工艺,包括金属增材制造或3D打印。金属凝固晶界(SGB)的形成源于两个不同取向相邻晶粒之间最后液膜的凝固(液膜厚度约为~1nm)。因此,凝固刚结束后晶界的成分可以看作是最后阶段剩余液膜的成分。对大部分合金来讲 (溶质分配系数 k < 1), 最后液膜也是溶质原子或杂质原子的富集区。

通常情况下,凝固后晶界的位置应该就是最后液膜的位置, 如示意图1a所示。然而,实验观察发现,很多情况下,凝固后晶界的位置明显偏离最后液膜的位置,如示意图1b所示。 这一现象可概括称之为凝固晶界的迁移(SGBM)。 需要强调的是, 与再结晶或晶粒长大过程中的晶界迁移现象不同,凝固晶界的迁移直接导致其与最后形成的溶质或杂质富集区分离。这种分离可有效地消除或抑制凝固组织中由于因晶界与溶质或杂质原子富集区重叠而带来的一系列不利影响。具体体现在以下几个方面 :(1)可有效抑制由于凝固晶界与溶质偏析重合而导致的晶间腐蚀, (2) 可避免或抑制在焊接和增材制造过程中,由于反复加热而造成的在晶界和显微偏析重合区热裂纹或液化裂纹的形成倾向;(3)可减少晶界三叉点处的残余应力 – 这些应力会催生裂纹的萌生;以及(4)可降低因溶质偏析在晶界形成第二相而引起的晶间断裂(例如,焊接或增材制造过程中的反复加热可诱导第二相形成)。

尽管早在1961年就有学者注意到金属凝固晶界迁移现象并进行了许多系统性的实验研究,尤其是在焊接领域,但长期以来对影响凝固晶界迁移的基本因素,包括合金溶质原子类型和含量、冷却速度、晶粒尺寸等的影响,缺乏深究,亦无具体的评价指标。因而,在本工作开始前,没有理论模型可以预测金属凝固晶界的迁移。在此背景下,西南交通大学陈辉教授课题组的刘红梅等老师与皇家墨尔本理工大学杰出教授马前团队合作研究了凝固晶界的迁移问题,建立了理论模型,成功预测了多合金系统的凝固晶界迁移现象。

【成果简介】

作者首先以二元镁-锡(Mg-Sn)合金为例,详细研究了在冷却速度从8 °C/s到1690 °C/s的范围内,其凝固晶界迁移的特征及迁移后的稳定性。研究发现: (i) 凝固晶界迁移的程度随溶质含量增加而变弱,但除非形成大量的共晶相,溶质含量增大时,局部的晶界迁移仍能发生;  (ii) 在冷速远高于水淬的情况下(1690 °C/s),凝固晶界仍能发生显著的迁移,属于不受扩散控制的迁移, 但迁移的距离与晶粒尺寸有关, (iii)在低溶质含量时,凝固晶界连同晶界三叉点均能发生大幅度迁移(例如50微米左右)。迁移后的晶界趋向于接近其平衡形状 (即120°的三叉点结构且晶粒尺寸d与边长a的比值接近 ),并且在长时间高温保温时,其形状与位置保持不变。而未迁移的凝固晶界则会在高温保温过程中发生迁移。

在此实验观察基础上,作者利用吉布斯(Gibbs)界面能的基本方程,在假定凝固晶界厚度远小于凝固晶粒尺寸的前提下(纳米尺寸的凝固晶粒组织因而除外),构建了凝固晶界迁移的理论模型。该模型经简化后包括凝固晶界迁移的驱动因子与阻力因子两项。利用模型进行计算的难点之一在于对凝固晶界接近于固相线温度时晶界能的计算,其中晶界成分的确定是关键, 文献中并无先列。本文作者采用Won-Thomas凝固模型计算凝固最后阶段~1nm厚液膜的成分, 巧妙利用了Won-Thomas模型中 值对于稀溶液合金基本为常数的特点,从而给出了计算凝固晶界能的公式。

作者利用该模型首先设计了Mg-Sn,Mg-Al,Mg-Pb和Mg-Zn合金以研究其凝固晶界的迁移问题。实验观察与模型预测完全吻合。作者进而将该模型应用于铝合金,钛合金,锆合金,铜合金及钢(铁碳合金)共10个合金体系的凝固晶界迁移预测中,计算结果与实验结果高度吻合。

【图文导读】

1.什么是凝固晶界迁移

如图1a所示,凝固晶界的位置通常与凝固后不同取向枝晶胞之间的界面重合。然而,很多情况下,凝固晶界可以与枝晶胞间的界面分离,如图1b所示。该现象称之为凝固晶界迁移(SGBM)。凝固晶界的迁移发生在刚凝固但接近固相线温度附近。

图1 凝固晶界的位置与不同取向枝晶胞间的界面的对应关系示意图。a 典型重合关系; b 与枝晶胞间的界面分离。

2.凝固晶界迁移的主要动力与阻力

图2显示了在预热灰铸铁模具中凝固的Mg-0.63 at.%Sn(3 wt.%Sn)合金的典型晶粒组织。凝固晶界发生了显著的迁移。迁移后的三叉晶界基本为120°的情况,而且迁移后的晶粒多为五边形或六边形,其晶粒尺寸d与边长a的比值接近 。因此,凝固晶界的迁移是晶界趋向于平衡态的过程,即达到能量最低状态,直观反映为晶界面积的减少。这些实验观察直接确定了凝固晶界迁移的驱动力是凝固刚结束状态的系统能量与晶界接近或达到平衡态时系统能量的差别。

图2 二元Mg-0.63at.% (3 wt.%) 合金中的凝固晶界迁移。 a, b 显著的凝固晶界迁移(如a中的箭头1和2)和局部小的凝固晶界(如b中的箭头1和2)。c 前向散射(FSD)图像,显示凝固晶界迁移和富集锡的枝晶间区域(亮白色)。d, c图的 EBSD反极图(IPF),显示了c中三叉晶界处每个晶粒的不同取向,证实了观察到的为三叉晶界。e, f 图c中锡和镁的能量色散光谱面分布图(EDS),显示枝晶间区锡(e)的富集和镁(f)的贫化,色标的单位为 counts/s。g 背散射电子(BSE)图像,显示所迁移的凝固晶界(黄色箭头)、凝固晶界位置的析出相颗粒(红色箭头)、富集锡的枝晶间区域(白色箭头)。h 来自g图中富锡枝晶间的共晶α-Mg+Mg2Sn。

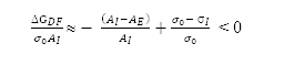
根据以上思想, 在(i)充分考虑了晶界和晶内原子化学势的差异,(ii)假定凝固晶界厚度远小于凝固晶粒尺寸(纳米尺寸的凝固晶粒组织因而除外),(iii)假定晶界迁移到晶内后其平均晶界能可用溶剂金属的平均晶界能(s0)来近似,以及(iv)不考虑晶界结构对晶界能的影响 (包括晶界迁移过程中晶界结构的任何改变)的前提下,确定了凝固晶界发生了迁移的基本条件, 即

其中, 凝固晶界迁移的驱动力,A 为晶界面积,下标IE分别为凝固晶界形成的初始状态(initial)和最终或平衡状态(equilibrium),s0 为溶剂金属的平均晶界能(温度的函数), 为凝固晶界形成时初始状态的晶界界面能。该条件决定了凝固晶界迁移是否发生取决于来自于晶界面积的减小引起的总晶界能的降低能否克服晶界从富溶质区到贫溶质区导致的总晶界能的升高(需要指出时的本研究针对稀溶液合金,没有考虑合金中析出相的钉扎作用)。

凝固晶界迁移的阻力因子(σ0 -σ1  )/σ0 中的 项可以表示为:

式中,R 为气体常数8.314 J/(mol·K),T为温度(K), 为晶界厚度(m),  为晶界原子密度(Na/mol),  为合金成分, 为溶质分配系数, 为Won-Thomas凝固模型中的一个综合参数。该参数考虑了在凝固过程中(i)溶质在固相中的反向扩散 (back diffusion), (ii)凝固冷却速度,(iii)实际凝固温度区间,以及(iv)凝固后期枝晶粗化对溶质在最后液膜中浓度大小的综合影响。对于稀溶液合金来讲,对于同一合金系列, 值可以通过二次枝晶间距,反向扩散系数以及迭代后算出的凝固温度区间计算确定,且可以当作一个常数。

图3为利用上述模型对四个镁合金中凝固晶界迁移的预测,图中曲线斜率越大,表明在相同溶质成分时凝固晶界迁移的阻力因子 就越大,即越不容易迁移。计算结果表明Mg-Pb,Mg-Al与Mg-Sn合金的阻力因子接近,因此,在与Mg-Sn合金有相似的初始晶粒组织的情况下,凝固晶界应该有显著的迁移(或整体或局部);而Mg-Zn合金的阻力因子远大于Mg-Sn合金,因此其凝固晶界迁移困难。图3(c-f)中的实验结果与模型预测高度吻合。

图3 二元镁合金Mg-0.3at.%X (X = Sn, Al, Zn)中凝固晶界迁移的预测与实验验证。a, b 凝固晶界迁移阻力因子  的计算值 (图中fs为凝固过程中的固相分数,fs = 0.99999 所对应的剩余液膜厚度约为1 nm)。c Mg-0.3at.%Sn, 显著迁移,d Mg-0.3at.%Pb,显著迁移;e Mg-0.3at.%Al,局部迁移;f Mg-0.3 at.%Zn,没有明显的SGBM。

图4为利用该模型对其它6个凝固态合金系列(Al-Cu, Fe-C, Cu-Sn, Ti-Cr, Zr-Mo, Al-Mg) 晶界迁移的验证,可以看出图中来自文献中的这些合金系列的凝固晶界迁移阻力因子都较低,而实际中这些合金都存在显著的凝固晶界迁移,显示了模型在其它合金系列中的高度有效性。

图4 对多个合金系统中凝固晶界迁移的预测与验证。a 固相分数 fs = 0.999 (剩余液膜厚度约为100 nm); b fs = 0.9999 (剩余液膜厚度约为10 nm). c fs = 0.99999 (剩余液膜厚度约为1 nm). d fs = 1 (完全凝固). 一旦 fs 达到 0.99999以后, 保持不变 (b, c, d).

【文献链接】

该研究结果发表在2022年10月7日《自然.通讯》杂志上(Hongmei Liu, Ma Qian, et al, Migration of solidification grain boundaries and prediction, Nature Communications | (2022) 13:5910, https://doi.org/10.1038/s41467-022-33482-8.)该项研究由西南交通大学和皇家墨尔本理工大学共同完成。西南交通大学刘红梅副教授为第一作者,并与皇家墨尔本理工大学杰出教授马前为共同通讯作者。澳方团队获得了澳大利亚研究委员会(ARC)DP180103205和ARC工业转型培训中心IC180100005(先进材料表面工程)提供的研究基金的支持。

未经允许不得转载:材料牛 » 西南交大&RMIT Nat. Commun.: 预测合金系统凝固晶界迁移现象

相关文章

Baidu
map