研究背景
近年来,二维过渡金属碲化物由于其优异的电学、光学和力学等物理特性,逐渐发展成为凝聚态物理及材料科学等基础学科的热点研究方向。对于外尔半金属MoTe2来说,其拓扑相变、层间耦合、强关联电子相、摩尔超晶格、对称性依赖的自旋轨道耦合等特性,为二维材料物态调控提供了全新的自由度。通过调控二维材料的层数,可有效改变其电子能带结构、贝利曲率偶极子和对称性。为充分探索外尔半金属的层数带来的新奇物理特性,迫切需要发展层数可控的二维过渡金属碲化物的制备方法。化学气相沉积法(CVD)已广泛应用于高质量二维材料的制备,并具有成本低、适用范围广等优点。但对于制备层数可控的二维过渡金属碲化物晶体仍存在诸多问题,比如层数不均匀,且晶粒尺寸较小。
成果简介
针对这一难题,新加坡国立大学化学系罗健平(Loh Kian Ping)课题组与合作者提出“层层生长(Layer-by-layer)”的“两步法”生长策略,在实现制备单层二碲化钼(MoTe2)的条件下,利用二维晶体严格的自身外延生长行为,成功实现了大面积双层和三层MoTe2单晶和厘米级薄膜的制备。双层MoTe2单晶表现出了室温铁电极化特征以及超强二阶非线性霍尔效应。该策略提供了大面积制备双层和三层二维晶体的新路径,有望为大批量制备层数可控的二维材料提供一种全新的低成本方案。

第一作者:马腾、陈浩、Kunihiro Yananose
通讯作者:罗健平、Alessandro Stroppa
通讯单位:新加坡国立大学、香港理工大学、意大利拉奎拉大学
研究亮点:
- 提出了“层层生长”CVD策略,同质外延生长出约500 μm大的单晶及厘米级多晶双层和三层MoTe2薄膜。该方法将生长促进剂和氢气相结合,有效控制了MoTe2仅在单层表面形核,实现了在单层MoTe2薄膜的基础上可控外延生长,从而解决了双层MoTe2随机形核导致层数不均匀这一难题,极大地提高了层数均匀性。
- 采用压电力显微镜(PFM)表征首次在实验上证实了双层MoTe2的室温铁电特性。
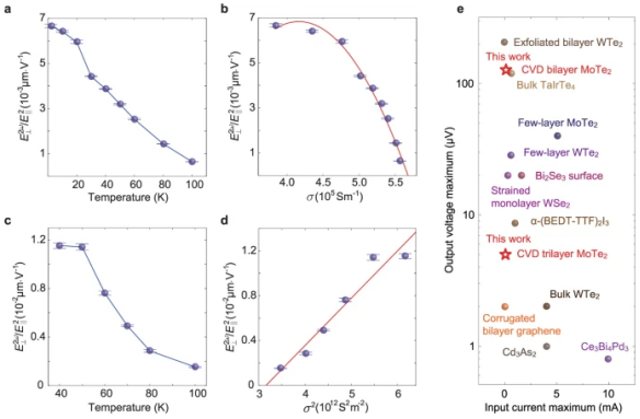
- 通过霍尔器件测试发现,CVD法制备的双层MoTe2在较小的电流输入条件下(97 μA)表现出了高达125 μV的二阶电压输出,其指标在现有二维材料中处于最强行列。

图1、大面积双层和三层MoTe2的同质外延生长行为。

图2、双层MoTe2的晶体结构和层数依赖的对称性破缺性质。

图3、双层和三层MoTe2的电子能带结构和贝利曲率。

图4、双层MoTe2的二次谐波霍尔效应

图5、双层和三层MoTe2的温度依赖二阶非线性霍尔效应
参考文献:
Ma, T., Chen, H., Yananose, K. et al. Growth of bilayer MoTe2 single crystals with strong non-linear Hall effect. Nat Commun 13, 5465 (2022). https://doi.org/10.1038/s41467-022-33201-3.
2022年9月17日,相关研究成果以“具有强非线性霍尔效应的双层MoTe2的生长”(Growth of bilayer MoTe2 single crystals with strong non-linear Hall effect)为题,在线发表于《自然·通讯》(Nature Communications)。香港理工大学研究助理教授马腾、新加坡国立大学博士后陈浩、首尔国立大学Kunihiro Yananose为本文的共同第一作者。新加坡国立大学罗健平教授和意大利拉奎拉大学Alessandro Stroppa为本文的通讯作者。研究工作得到新加坡国家研究基金、香港理工大学等财政支持。
罗健平教授是新加坡国立大学化学系首席教授暨石墨烯研究中心领衔人,2018(化学)、2019(材料、化学、物理)、2020(材料、物理)、2021(交叉领域)高被引科学家,在Nature、Science正刊及其系列子刊就以通讯作者发表论文40余篇,仅今年即已发表Nat Photonics,Nat Synthesis,Nat Commun (8篇)、Sci Adv共计10篇, 在JACS, Advanced Materials等其他顶级杂志发表的论文亦多达400余篇。
课题组主页:https://carbonlab.science.nus.edu.sg/





