一、导读
近年来,各类工业过程排放的挥发性有机污染物(VOCs)对环境安全、人类健康和社会可持续发展产生了巨大影响。随着“双碳”目标的落地实施,VOCs减排和处理过程中的碳排放和能耗问题需引起格外关注。催化氧化因较低的转化温度和高处理效率被视为一种有前景的治理技术,而降低反应能耗是热驱动催化降解领域中各类纳米材料和功能化器件设计所面临的核心问题。目前,在VOCs的实际治理过程中,由设备复杂性和非必要传热过程产生的间接能耗往往是不可忽视的。除了设计具备高本征活性的催化剂外,优化整个反应系统的能量传递,从而显著降低维持反应温度维持所需的能耗,具有重要的科学意义和实际价值。
二、成果掠影
近日,北京邮电大学黄凯副教授、雷鸣教授与清华大学材料学院伍晖副教授领导的科研团队在知名期刊Nano Energy上以 “In-situ Joule-heating drives rapid and on-demand catalytic VOCs removal with ultralow energy consumption” 为题报告了一种用于VOCs催化降解的原位焦耳热精准驱动催化系统。通过实验测试和多物理场模拟,研究人员证明了该系统能够在低于传统外部加热设备87.5%的超低能耗水平下实现目标气体中甲苯组分(1000 ppm,40000 mL g-1 h-1)的完全催化降解,并具备超过15天的长期工作耐久性和重复冷启动稳定性。此外,所制备的催化活性部件具备高兼容性和超低气阻使该反应器适用于不同流速/浓度和多类化学成分VOCs的催化降解。得益于优异的电/热响应能力,该系统在随机变化的气体组分下也能在最低功率水平下实现实时快速催化降解,有望与程序化控制系统相耦合,作为一种先进的环境处理模块嵌入实际工业场景中。
三、核心创新点
1.高度兼容多类催化活性成分,并拓展了焦耳加热技术在环境处理领域的实际应用。
2.与传统外部加热器相比,在超低能耗水平下实现目标VOCs成分的完全催化降解。
3.得益于超快热/电响应能力,该器件有望与程序化控制系统相耦合,作为智能环境处理模块。
四、数据概览
图一、快速原位焦耳热驱动催化反应器的结构和原理示意图

图二、核心催化活性组件的制备和表征

(a)催化剂的喷涂制备流程示意图。(b) 所制备的整片Pt/CeO2-NF催化剂的照片。(c)工业显微镜拍摄的催化剂表面图像。(d-f) Pt/CeO2-NF催化剂的SEM图像。Pt/CeO2催化剂的(g-h) HAADF-STEM图像,(i) HRTEM图像,以及(j)SAED图像。(k)各样品的XRD图像。(l) Pt/CeO2催化剂的XPS光谱。(m)Pt/CeO2和CeO2催化剂的Raman光谱分析。
图三、催化降解器件的热/电特性分析和温度场模拟

(a)所设计催化降解器件的实物照片。(b1-b4)Pt/CeO2-NF组件的加热-冷却过程的热成像照片。(c)焦耳热驱动器件和传统加热炉的升温过程对比。(d)催化剂表面和处理后气体温度与输入功率的关系。(e)催化降解器件的温度场三维模拟图像。(f) Pt/CeO2-NF和NF载体的I-V曲线。(g) Pt/CeO2-NF和由等量粉末填充的床式反应器的空气阻力测试。(h) Pt/CeO2-NF组件的流速场分布三维模拟图像。
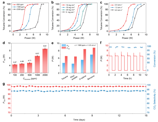
图四、催化降解器件的VOCs催化降解性能测试

(a)不同浓度,(b)不同催化剂负载量和(c)不同流速下甲苯转化率和输入功率的关系。(d) 不同浓度甲苯完全转化所需的输入功率。(e)器件对于多类VOCs成分在转换率为50%和100%时对应的输入功率。(f)反应器的重复冷启动耐久性测试。(g) 反应器15天内的长期工作稳定性测试。
图五、器件对实时变化VOCs组分的催化降解性能测试

(a)焦耳热驱动反应器作为的智能耦合环境模块的示意图。(b)器件对不同浓度的甲苯的催化氧化效率-时间曲线。(c) 焦耳热驱动反应器和外部加热炉的实时降解效果对比。(d) 随机变化的气体组分下的对应输入功率和实时浓度曲线。
五、成果启示
研究人员采用高兼容性的喷涂负载策略制备了Pt/CeO2催化剂负载的泡沫金属整体式催化剂,并基于此构筑了一种低能耗下快速原位焦耳热驱动的催化反应器。该催化反应器仅在6.5W的超低输入功率下实现目标气体中甲苯组分的完全催化降解,并具备超过15天的长期工作耐久性和重复冷启动稳定性。此外,该催化反应器对不同流速、浓度和成分的VOCs都有卓越的催化性能。与传统的外部加热方法相比,焦耳热精准驱动的催化系统具有超低气体阻力、较短的启动活化时间和优化的传热过程设计。得益于出色的电/热转换效率,该器件有望与程序化控制系统相耦合,作为一种先进的环境处理模块嵌入实际工业场景中。这种新型的焦耳热驱动热催化反应器为VOCs催化氧化降解系统的节能化和智能化设计提供了一种新颖的解决方案,并拓展了焦耳加热技术在能源和环境处理领域的实际应用。





