引言
近些年来,纳米HTH官网地址 领域在不断涌现的新兴纳米制备方法的推动下持续向前发展,其中自卷曲纳米材料自从诞生以来便受到了极大的关注。最近的研究指出,通过自卷曲形成的纳米结构可用做多种纳米器件包括微纳发动机,微纳感应器以及各种纳米传感器等。然而,传统的自卷曲工艺所涉及的对中间层的腐蚀让材料剥离基底的过程十分缓慢(~1微米每秒),而腐蚀液的参与也限制了自卷曲纳米结构可以使用的材料种类。此外,自卷曲的纳米薄膜在卷曲的过程中会沿着不同的方向形成有有差异性的立体结构,而人们对这种卷曲结构分化的理解尚不清楚。因此,探索新的制备体系,以及推进人们在自卷曲底层机制方面的理解对未来制备更为复杂的纳米自卷曲结构具有重要的意义。
成果简介
近日,香港城市大学杨勇教授(通讯作者)团队在自卷曲制备方法的探索上实现了新的突破。新方法利用表面翘曲剥离的方式结合柔性基底成功制备出了多种且大量的金属纳米自卷曲结构,包括纳米卷以及纳米螺旋线。相较于先前的传统方法,新方法具备以下突出的特点: 1)极高的剥离速度(~40微米每秒),2)无腐蚀性溶剂的参与,以及(3)广泛的材料适用性。实验证明,新的方法不仅可以用于制备金属纳米卷和螺旋线结构,亦可以应用于其他材料体系,比如半导体,陶瓷乃至聚合物。新方法以旋涂了聚乙烯醇(PVA)的聚酰亚胺(PI)复合膜为基底(图1),以磁控溅射等常规物理气相沉积为薄膜形成手段,通过可控的弯曲在金属薄膜中引入了相互平行的裂纹。在随后的浸水过程中,金属薄膜在聚合物表面的不稳定性的作用下实现了剥离,同时伴随着自卷曲行为,进而形成大量的纳米卷(图1b,图2)以及纳米螺旋线(图1c,图2)。在更为深入的研究中,团队发现了从卷状结构到螺旋线结构的转变中通常伴随着剧烈的扭转过程(图3)。通过大量的有限元模拟及实验验证,团队证明了存在于卷状结构与螺旋线结构之间的能量势垒(图4)。计算发现,该能量势垒与卷曲直径-裂纹间距比(D/S)存在一一对应的单调递减关系(图4 g,图5)。类似的能垒与形状之间的关联对将来卷曲结构的设计具有重要的指导性意义。
相关研究成果以题为“Etching-Free Ultrafast Fabrication of Self-Rolled Metallic Nanosheets with Controllable Twisting”发表在了Nano Letters上,其中博士毕业生王天玉为文章第一作者。
图文导读

图1. 基于水凝胶表面翘曲剥离的自卷曲结构制备方法示意图。
a)多种自卷曲结构的制备流程图。
b)– d)由本方法所制备的基于钛金属的卷状结构,螺旋线以及条带。

图2. 对基于本文方法制备出的自卷曲纳米膜的结构和几何表征。
a)– c)基于本文方法所制备出的卷状结构、螺旋线以及条带的扫描电镜图片,插图为对应的低倍图片。
d)原子力显微镜所得到的对应(a)图中卷状结构卷曲前的纳米薄膜的高度图,插图为线扫描高度曲线。
e)本文所用到的Ti纳米薄膜的低倍透射电子显微镜(TEM)及(f)高分辨率TEM图像;其中(e)和(f)中的插图为对应的选区衍射图像及快速傅里叶变换图像。
g)- i)不同材料包括(g)Ti,(h)Cr以及(i)TiAlV所形成的卷曲结构的卷曲直径和裂纹间距S随着纳米薄膜厚度的变化趋势图。

图3. 在自卷曲纳米薄膜中存在的卷状结构到螺旋线结构之间的转变。
a)垂直于长边的自卷曲结构示意图。
b)快速形成卷状结构中的Ti纳米薄膜的明场光镜图像。
c)扭转卷曲过程的示意图。
d)伴随着扭转的自卷曲Ti纳米薄膜在暗场中的光镜图像。
e)扭转后螺旋线结构的示意图。
f)测量得到的螺旋线长度Lt随时间的变化。
g)计算得到的扭转角度随时间的变化。

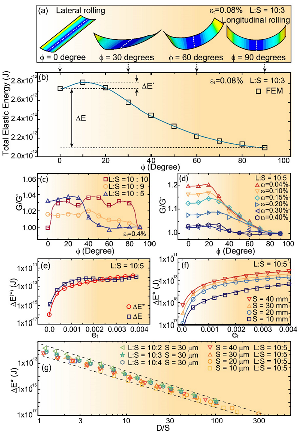
图4. 基于线约束模型的针对长方形自卷曲薄膜的有限元模拟。
a)有限元模拟中得到的不同约束角度下的自卷曲结构
b)储存于自卷曲结构中的总弹性能随着约束角度的变化。
c)无量纲化的弹性能G/G*随着上层应变的增加而产生的变化。
d)G/G*– f曲线在不同横纵比(L/S)下的形状。
e)驱动力ΔE和能垒ΔE*随着的变化曲线。
f)能垒ΔE*在不同的裂纹间距(S)情形下随的变化曲线。
g)在不同的裂纹间距(S)及横纵比(L/S)的情况下,能垒ΔE*随D/S的变化。
图5. 统计所得自卷曲结构几何参数(D/S – L/S)以及对应的扭转角度。这里方形对应Ti纳米薄膜,菱形对应TiAlV纳米薄膜,圆形对应Cr纳米薄膜。





