当前位置: 材料牛 » HTH官网地址 » 导读 » 澳大利亚南昆士兰大学陈志刚&昆士兰大学邹进Adv. Mater.:基于优化电子品质因子的高性能过渡金属元素掺杂锗碲基热电材料

澳大利亚南昆士兰大学陈志刚&昆士兰大学邹进Adv. Mater.:基于优化电子品质因子的高性能过渡金属元素掺杂锗碲基热电材料

【背景介绍】

锗碲基半导体具有能带简并和能带收敛的电子输运特点,从而作为一种高本征优值的中高温热电材料被广泛研究和应用。然而,锗空位在母相中的形成能极低,导致锗碲具有类内禀属性的高空穴载流子密度,制约了其优值的进一步提高。近期的许多工作报道了通过掺杂过渡金属元素调控载流子密度,进而得到突破性的热电优值。虽然由于复杂的d电子诱导的自旋-轨道耦合作用,过渡金属元素掺杂对提高热电优值的机理还不甚明朗,但是其表象上可以归咎于两个方面:一种是通过抑制孤对电子的形成调控锗碲的晶体结构,从而提高锗空位形成能;另一种是通过异价掺杂的施主作用,贡献自由电子以减少空穴密度。在本工作中,我们提出电子品质因子可以量化过渡金属元素掺杂对锗碲基热电材料优值的提高,从而作为性能描述符指导相关的高通量计算或材料基因工程。通过第一原理计算和输运公式模拟,过渡金属钽被预测是一种新型掺杂元素改善锗碲基热电材料性能。实验制备的钽掺杂锗碲提高了输出因子并降低了热导率,从而具有大于2.0的高热电优值和约17%的理论极限热电转化效率。

【成果简介】

图1a对比了纯相锗碲相变前后晶体学和电子能带的变化。锗碲从高温立方相转变到低温菱方相可以视为三维方向的Peierls相变,宏观表现为对角晶轴的拉伸和中心原子的铁电偏移。由于立方相具有更高的对称性,当转变到菱方相时,等键长的锗-碲化学键衍化成交替变长或变短的化学键,伴随着电子能带的细微能级分裂。图1b总结了报道的过渡金属掺杂锗碲基热电材料。尽管过渡金属掺杂可以通过多种潜在机理提高热电优值,掺杂后的锗碲具有类似的电子品质因子和塞贝克系数-输出因子关系。本工作提出的钽掺杂锗碲也基本符合以上关系,同时,额外合金化锑可以显著降低电子品质因子和优化塞贝克系数到最优值约220 μV·K-1。图1c和1d计算了钽掺杂对锗碲的电荷分布,电子能带和态密度的影响,说明了钽掺杂可以引发周围电荷的局域-离域起伏,同时促进能带收敛以提高态密度有效质量和塞贝克系数。

图2a对比了锗碲XRD图谱随着钽掺杂和锑合金化的变化。精修结果显示钽在锗碲中的溶解度在4%和5%之间,且对晶格参数影响不大;锑可以显著增大晶面夹角,使晶格极性降低。图2b是掺杂后锗碲抛光面的SEM图像,其中明暗交替的衬度代表了稠密的孪晶结构,也称鱼骨结构。该结构同时也在TEM图像(图2c)中被观察到,伴随着其他晶格缺陷,如晶界,面缺陷和纳米析出相。图2d是基于TEM的EDS元素分布图像,可以得知两种纳米析出相的组分是锗单质和二碲化钽化合物。图2e是高分辨TEM图像,通过GPA分析可以得知晶格应力主要沿<110>晶向族分布。

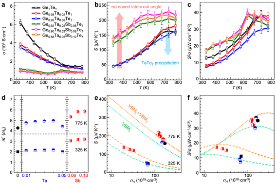
图3a-c总结了样品的塞贝克系数,电导率和输出因子随温度变化的趋势。单独钽掺杂对锗碲的塞贝克系数影响可以忽略,表示掺杂后微小的有效质量变化;同时电导率由于载流子散射的增强有明显的下降。进一步合金化锑,电导率由于异价掺杂显著降低,同时塞贝克系数由于晶格结构的调整明显增加,因此钽掺杂和锑合金化的锗碲样品具有超过40μWcm-1K-2的高输出因子。图3d基于单抛物带模型计算了样品的有效质量,可知无论锗碲相变前后,钽掺杂基本不改变有效质量,锑合金化可以同步增大有效质量,与实验结果相符。图3e和3f基于单/多抛物带模型计算了塞贝克系数和输出因子与载流子密度的关系。二者皆表示单独掺杂钽后锗碲具有单带模型的输运特点,再合金化锑后锗碲后由于能带收敛具有双带模型的输运特点。

图4a总结了锗碲样品的热导率随温度变化的趋势,说明钽和锑均可有效降低全温区热导率。图4b基于Wiedemann-Franz计算了样品的电子贡献热导率,因而其具有与电导率类似的随温度变化趋势。其中Lorentz常数由实验测试的塞贝克系数拟合得出,具有半导体性质的随温度变化趋势。图4c计算了相应的晶格/声子贡献热导率,可知钽掺杂可以有效降低晶格热导,使其接近非晶化极限。图4d基于Debye-Callaway模型计算了室温分谱晶格热导,可知不同的晶格缺陷可以散射不同频率的声子,使得全谱声子的群速度减小,从而降低晶格热导。图4e和4f说明了由于高输出因子和低热导率,钽掺杂和锑合金化的锗碲样品具有超过2.0的热电优值和约17%的理论极限热电效率。

【结论】

电子品质因子可以定性说明过渡金属元素掺杂对锗碲基热电材料优值的提高,从而作为性能描述符指导相关的高通量计算或材料基因工程。我们通过第一原理计算和输运理论模拟,预测了钽掺杂和锑合金化的锗碲具有良好的热电性能。为了验证这一猜想,我们制备并表征了相关的实验样品具有本征锗碲的晶体学和微结构特点。热电性能测试表明样品具有超过40μWcm-1K-2的高输出因子和低于0.7 Wm-1K-1的热导率,从而达到大于2.0的高热电优值和约17%的最大热电转化效率。自洽的理论-实验关系和优异的热电性能证明过渡金属元素掺杂对改性锗碲基热电材料的重要意义。

陈志刚教授介绍

陈志刚教授,澳大利亚南昆士兰大学能源学科讲席教授,昆士兰大学荣誉教授,南昆士兰大学功能材料学科带头人。长期从事功能材料在能量转化的基础和应用研究。2008年博士毕业后即成功申请到“澳大利亚研究理事会博士后研究员”职位,前往澳大利亚昆士兰大学机械与矿业学院工作,先后担任研究员,高级研究员,荣誉副教授,荣誉教授,后转入澳大利亚南昆士兰大学担任功能材料学科带头人,副教授(2016),教授(2018),先后主持共计七百万澳元的科研项目,其中包括6项澳大利亚研究委员会、1项澳大利亚科学院、2项州政府、10项工业项目和10项校级的科研项目。在南昆士兰大学和昆士兰大学工作期间,共指导17名博士生和15名硕士研究生,其中已毕业博士生9名和硕士生7名。在Nat. Energy, Nat. Nanotech.、 Nat. Commun.、Chem. Rev. 、Prog. Mater. Sci.、 Adv. Mater.、 J. Am. Chem. Soc.、Angew. Chem. In. Ed. 、Nano Lett.、Energy Environ. Sci.、ACS Nano、Adv. Energy Mater.、Adv. Funct. Mater.、和Nano Energy等国际学术期刊上发表300余篇学术论文, 被SCI引用16600余次,H-index达到67。是科睿唯安2020年度“高被引科学家”。国际期刊Energy Materials Advances, Journal of Materials Science and Technology, Progress in Natural Science, Journal of Advanced Ceramics, Rare Metals等编委。

邹进教授介绍

邹进教授现任澳大利亚昆士兰大学的纳米科学讲席教授(Chair in Nanoscience),曾任澳大利亚电子显微学会秘书长,及澳大利亚昆士兰华人工程师与科学家协会副会长。邹进教授目前的研究方向包括:半导体纳米结构(量子点,纳米线,纳米带,超簿纳米片)的形成机理及其物理性能的研究;先进功能纳米材料的形成及其高端应用,尤其在能源,环保和医疗中的应用;固体材料的界面研究。邹进教授在 ISI (Web of Science)刊物上已发表学术论文 650 多篇,其多数论文发表在国际知名刊物上并被引用 30,000次, H-index达到70。邹进教授目前承担多项澳大利亚研究理事会的研究课题。

李濛博士研究生介绍

李濛博士研究生本科毕业于浙江大学,目前就读于澳大利亚昆士兰大学,师从陈志刚教授与Matthew Dargusch教授,研究方向为锗碲基热电材料与器件。

未经允许不得转载:材料牛 » 澳大利亚南昆士兰大学陈志刚&昆士兰大学邹进Adv. Mater.:基于优化电子品质因子的高性能过渡金属元素掺杂锗碲基热电材料

相关文章

Baidu
map