论文相关信息
第一作者:蒋博
通讯作者:李林副教授;唐大伟教授
通讯单位:大连理工大学
论文DOI:10.1039/D1TA02103F

背景介绍
化学链部分氧化是一种先进制合成气技术。与传统技术相比,该方案极大地排除了空气分离单元,避免了甲烷与氧气的直接混合。同时,将吸热步与放热步解耦,有助于引入太阳能替代化石燃料燃烧供能,从而降低过程的碳和氮氧化物排放,及系统的㶲损失。该技术的发展可为能源系统实现“碳中和、碳达峰”目标提供有力支撑。高性能载氧体的筛选是发展化学链部分氧化技术的关键。钙钛矿氧化物(ABO3)由于其组成多变、结构稳定、氧化还原可逆的特性,是目前最具开发前景的载氧体。尽管如此,钙钛矿载氧体的电子结构与合成气产率的内禀关系仍不清晰,这导致目前的载氧体筛选只能依靠大量正交实验。因此,为了开展计算辅助的载氧体研发,开发有效的电子结构描述符表征载氧体的性能具有重要意义。
全文速览
钙钛矿氧化物(ABO3)由于其组成多变、热力学氧分压可调,是目前最具开发前景的载氧体。尽管如此,钙钛矿载氧体的电子结构与合成气产率之间的内禀关系仍不清晰。本文通过实验和DFT技术的方法,研究了铁基钙钛矿(LnFeO3,Ln = La, Pr, Sm, Gd)中A位Ln金属对Fe-O共价性的影响规律,与Fe-O共价性对合成气产率的作用机制。结果发现,小离子半径的Ln元素可使钙钛矿中FeO6八面体的空间扭转更强,使得实空间中的Fe-O杂化与能量空间中的Fe-O键共价性减弱。Fe-O共价性的变化可以通过电荷转移能的变化反应,共价性增强时,其电荷转移能将显著下降。电荷转移能的降低使得氧空位形成能和氧离子迁移能垒下降,从而提升了体相氧和表面氧的活性,这直接导致了合成气产率的提升。该工作不但阐明了钙钛矿电子结构与氧分压的内禀关系,而且提出了电荷转移能作为评价载氧体性能的电子描述符,为基于机器学习的材料筛选奠定基础。
图文解析
图一、不同Ln原子对FeO6八面体形变的影响

(A) LnFeO3钙钛矿结构示意图;
(B) 四种钙钛矿的Raman光谱。
图二、八面体形变对实空间Fe-O杂化和能量空间Fe-O共价性的影响

(A) Fe-O键分子轨道示意图及电荷密度图,用以描述轨道杂化情况;
(B) Fe和O的态密度图,用以表述Fe-O分子轨道的共价性;
(C) Fe-O间的电荷转移能及带O的带中心位置示意图;
(D) 四种钙钛矿的带中心及电荷转移能,用以定量描述共价性强弱。
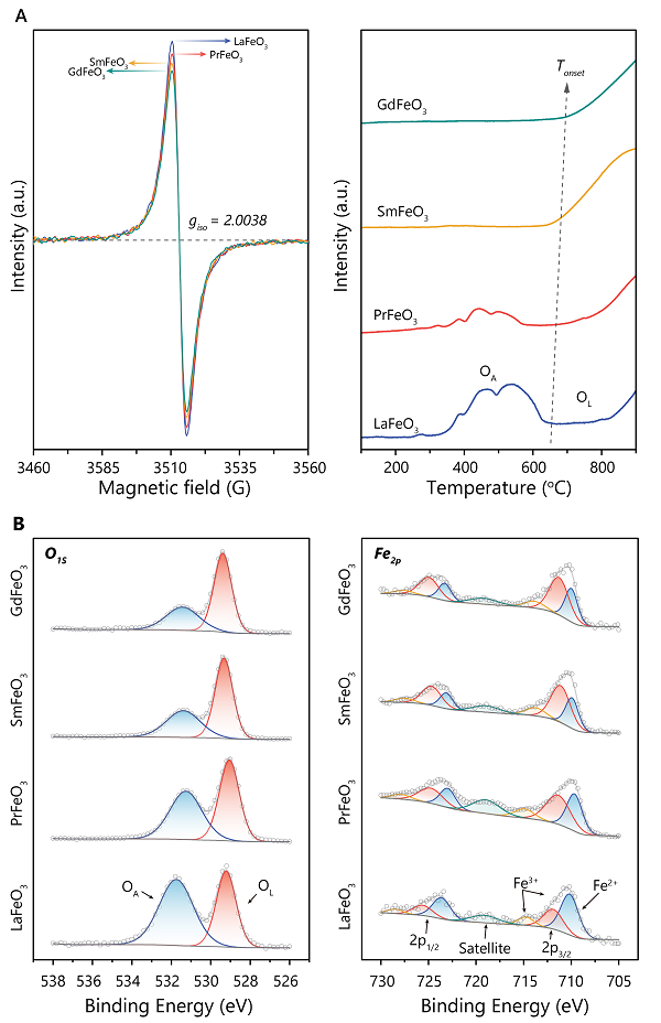
图三、钙钛矿表面及体相氧空位浓度

(A) 不同钙钛矿的EPR和H2-TPR,用以表征氧空位浓度;
(B) 不同钙钛矿的XPS,用以表征表面氧空位浓度。
图四、不同钙钛矿的反应活性

(A) 不同钙钛矿的合成气产率;
(B) 不同钙钛矿的循环稳定性。
文献链接:Iron–oxygen covalency in perovskites to dominate syngas yield in chemical looping partial oxidation. J. Mater. Chem. A, 2021, 9, 13008-13018
本文由作者投稿。





