【引言】
如今,重型运输和航空航天的电气化对电池中电极材料的能量密度增加提出了更高的要求。而利用阴离子氧化还原反应则代表了一类可实现此目标的新兴策略。然而,由于与氧化还原反应相关的电子轨道目前尚不能用标准实验进行测量,关于O2−/O−氧氧化还原这一典型范例的有效性以及阴离子容量起源解释的问题仍然困扰着相关研究的进一步发展。
【成果简介】
有鉴于此,美国洛斯阿拉莫斯国家实验室Hasnain Hafiz、东北大学的Arun Bansil和卡内基梅隆大学的Venkatasubramanian Viswanathan(共同通讯作者)等人合作将高能X射线康普顿测量法和第一性原理建模相结合,展现了在可逆稳定阴离子氧化还原活动中起到关键作用的电子轨道可以被成像和可视化,并由此测定其特征和对称性。研究发现,锂离子浓度康普顿测量中的变化对电子波函数相十分敏感,并且具有静电和共价键效应。作者认为,这一研究不仅有利于在原子尺度理解富锂电池的工作方式,也为提升电池材料性能和设计新型电池开辟新的道路。2021年06月09日,相关成果以题为“Tomographic reconstruction of oxygen orbitals in lithium-rich battery materials”的文章在线发表在Nature上。
【图文导读】
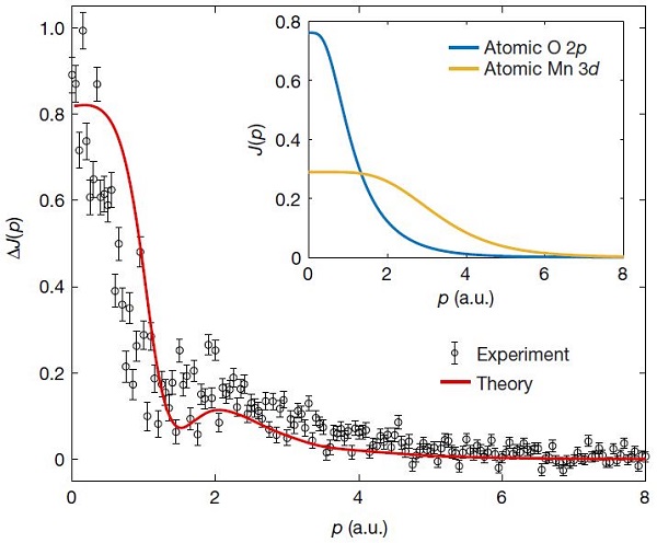
图1 LixTi0.4Mn0.4O2(LTMO)的康普顿测量

图2 Li0.4Ti0.4Mn0.4O2 靠近费米能级的majority-spin电子的分态密度(PDOS)

图3 重构的二维电子动量密度分布

文献链接:Tomographic reconstruction of oxygen orbitals in lithium-rich battery materials(Nature, 2021, DOI: 10.1038/s41586-021-03509-z)
本文由材料人学术组NanoCJ供稿。
材料牛网专注于跟踪材料领域HTH官网地址 及行业进展,欢迎大家到材料人宣传HTH官网地址 成果并对文献进行深入解读,投稿邮箱tougao@cailiaoren.com。





