当前位置: 材料牛 » HTH官网地址 » 导读 » Nature Materials:共轭磺酰胺类有机锂离子正极

Nature Materials:共轭磺酰胺类有机锂离子正极

【背景介绍】

自有机正极电池材料被报道以来,由于有机化合物具有易合成、结构多样等优点,极具发展潜力,但是其存在的安全性问题,严重阻碍了其发展。在过去几十年里,研究者提出了各种有机化合物作为电化学储能应用的电极材料。然而,这些化学物质中符合锂离子电池(LIBs)实际要求的并不多。要么是基于p-型系统,要么是基于在充电状态下制备和处理的n-型系统,它们适合于锂(Li)金属而不是LIBs。由于这些化学物质的高共价性和电荷局部化,锂化n-型材料的挑战来自于痕量水分的快速水解或空气中分子氧的氧化,这是有机电池领域迫切需要解决的一个问题。目前,几乎没有有机锂离子正极(n-型、含锂和空气稳定)的最新技术。此外,已报道的化学方法仍然依赖于烯醇式羰基氧化还原化学,其本质上是在低氧化还原电势下运行,使其结构和成分的多样性仍然受到限制。因此,必须设计出满足锂离子正极材料要求的化学物质,才能满足有机电池领域中不断提高的性能需求。

【成果简介】

近日,比利时鲁汶大学Alexandru Vlad(通讯作者)等人报道了一类新型的共轭磺酰胺(CSAs)有机化合物,其扩展了有机锂离子正极材料的化学空间。同时,在环境空气中处理时,磺酰基上的电子离域使所得CSAs具有固有的抗氧化性和抗水解性,并且还显示出可逆的电化学电荷存储。未覆盖的CSA化学物质的形式氧化还原电势在2.85 V至3.45 V之间(相对于Li+/Li0而言),可通过静电或感应分子设计进行微调。总之,这类有机锂离子正电极材料挑战了无机电池正极的领域,因为这第一代CSA化学物质已显示出与定型LiFePO4相当的重量储能指标。研究成果以题为“Conjugated sulfonamides as a class of organic lithium-ion positive electrodes”发布在国际著名期刊Nature Materials上。

【图文解读】

图一、LIBs与LMBs的工作原理对正极化学的影响以及设计CSA的分子原理

(a)锂离子技术依赖于对环境空气本质上稳定的锂储层正极和无锂负极材料;

(b)无锂的正极材料需要储锂的负极;

(c)CSA-Li离子正极材料的分子设计结合了亚苯基-二(聚)-胺的可逆氧化还原与磺酰胺官能团;

(d)该工作中合成和测试的CSA主要材料。

图二、氧化还原机理分析
(a)在二锂1, 4-亚苯基双((甲磺酰基)酰胺)中可逆的两电子氧化还原过程的示意图;

(b)Oxp-PDSA和Li2p-PDSA的循环伏安扫描曲线图;

(c-d)比较分析Li2p-PDSA和Oxp-PDSA的1H NMR和傅里叶变换红外光谱。

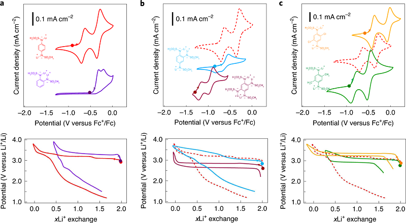
图三、开发的CSA材料库的电化学
(a-c)异构效应、其他磺酰胺基团的影响和取代基电子效应。上排:循环伏安图,在2 mM的活性CSA、0.1 M LiCl在DMSO中,Pt圆盘工作电极的浓度为100 mV s-1时测得;下排:在固相中以5 h或C/10中一个Li+(e)的速率在固相中测得CSA的第一周期恒定电流电位分布图。

图四、芳香族UV-vis吸收带与氧化还原电位之间的相关性

图五、所选CSA化合物的电荷存储性能
(a-d)Li2-p-PDSA和Li4-PTtSA电极在1Li+/5 h的循环速率下的电势组成曲线和相应的容量保持率;

(e)以2Li+/1 h的循环速率下获得的2 mg cm-2 Li4-PTtSA/Li电池低质量负载的长期循环稳定性;

(f)比较Li半电池中的LiFePO4和Li2-DC-PDSA电极在第一循环时的充放电曲线;

(g)在所研究CSA材料水平上的电荷存储指标突出了有机正锂离子材料的丰富,显示了LiFePO4和已报道的空气稳定有机锂离子正极进行比较。

图六、基于CSA的有机锂离子全电池原型
(a)使用Li4-PTtSA作为代表性CSA正极材料,Li4Ti5O12、2, 6-萘二甲酸二锂、偶氮苯-4, 4′-二羧酸锂盐和石墨作为负极材料分别构建CSA-LION_1、CSA-LION_2、CSA-LION_3和CSA-LION_4原型电池的原理图和氧化还原过程;

(b)相应满电池的充放电曲线;

(c)具有更高质量负载(7 μg/cm2 Li4-PTtSA)的性能优化的CSA-LION_1电池提高了倍率能力,并提高了2 C时的循环稳定性。

【小结】

综上所述,作者证明了设计的CSA在重量能量密度方面是具有高性能的材料。此外,考虑到可持续性、环境影响和原材料供应等方面,空气稳定性、简单的合成和加工工艺以及安全和廉价的处理方式以及丰富的元素使其与无机正极具有竞争优势。目前,在有机电池材料领域中提出的策略也可以应用于CSA化学领域,例如表面固定化、高分子和聚合物系统以及多孔共价或配位框架。此处揭示的化学物质以及该类别中还将开发的其他化学物质,有可能进一步扩展相邻的有机化学物质的范围。通过这项工作,作者为金属离子有机电池领域及其他领域开辟了道路,并为未来的能源指标提供了指导,以朝着实际实施的方向发展。同时,此类材料提供了许多化学和结构修饰的可能性,以进一步增加氧化还原电势以及存储容量,并改善循环性能寻求实用的高能有机电池的稳定性。

文献链接:Conjugated sulfonamides as a class of organic lithium-ion positive electrodes. Nature Materials, 2020, DOI: 10.1038/s41563-020-00869-1.

本文由CQR编译。

欢迎大家到材料人宣传HTH官网地址 成果并对文献进行深入解读,投稿邮箱:tougao@cailiaoren.com.

投稿以及内容合作可加编辑微信:cailiaorenvip。

未经允许不得转载:材料牛 » Nature Materials:共轭磺酰胺类有机锂离子正极

相关文章

Baidu
map