当前位置: 材料牛 » HTH官网地址 » 导读 » 哈工大深圳慈立杰Energy Environ. Sci.:自支撑柔性SnS2@C纳米纤维实现可折叠钾离子电池

哈工大深圳慈立杰Energy Environ. Sci.:自支撑柔性SnS2@C纳米纤维实现可折叠钾离子电池

【背景】

相比于锂离子电池,由于钾元素的地壳丰度高和成本低的特性,钾离子电池(PIBs)被认为是大型储能系统中极具前景的替代品之一。然而,钾离子较大的半径阻碍了合适电极材料的开发。在本工作中,研究人员将SnS2限域在N, S共掺杂的碳纳米纤维中,用作PIBs的负极材料。该材料表现出高可逆容量(457.4 mAh g-1@0.05 A g-1)、优异的循环稳定性(1000循环@2.0 A g-1)和倍率性能(219.4 mAh g-1@5.0 A g-1),此研究成果超过了大多数已报道的工作。研究人员还利用原位XRD技术揭示了高可逆容量的来源。通过变扫速CV测试定量分析了电容和扩散行为的容量贡献比例。结合Randles Sevcik方程和dQ/dV图,建立了钾离子在不同钾化深度下的存储行为与扩散动力学的关系。通过对不同N、S共掺杂位点K吸附亲和力的理论计算,可以看出N、S共掺杂策略对K离子输运动力学的增效作用。本工作中还成功组装出具有稳定循环性能的可折叠钾离子全电池,在柔性电子器件中显示出应用潜力。这些研究结果将有助于合理设计和理解PIBs负极材料及相关储能器件中的机理。

【成果简介】

近期,哈尔滨工业大学(深圳)慈立杰教授课题组在Energy & Environmental Science期刊上发表题为“Foldable Potassium-Ion Batteries Enabled by Freestanding and Flexible SnS2@C Nanofibers”的研究论文。研究者通过使用电纺丝法制备得到的柔性无粘结剂SnS2@C-2纳米纤维制备出了可折叠PIBs。通过调整SnS2的比例,实现了SnS2的均匀分布和SnS2@C-x纳米厚度的控制(280nm ~ 1470nm)。当用作PIBs负极材料时,制备的SnS2@C-2纳米纤维表现出较高的可逆容量(457.4 mAh g-1@0.05 g -1)级,优异的循环稳定性(~ 1000圈@2.0 A g1),和倍率性能(219.4 mAh g-1@5.0A g-1)。研究者对其优良的K离子存储能力产生了浓厚的兴趣,采用了原位XRD技术,阐明了高可逆能力的原因。连续CV测量也被用来解释在不同的电荷状态(SOCs)下组合的K离子存储行为。结合Randles Sevcik方程和dQ/dV图,建立了钾离子在不同钾化深度下的存储行为与扩散动力学的相关性。此外,还对不同N掺杂位点和N、S共掺杂位点上K的吸附亲合力进行了理论计算。进一步阐明了提高钾离子扩散速率和钾离子吸附行为的内在机制。因此,本研究不仅为设计转化/合金化型电极材料提供了有效的策略,同时也深刻理解了K离子存储行为和动力学之间的关系。本文共同第一作者为哈尔滨工业大学(深圳)的博士后李德平山东大学的博士研究生代林娜

【图文导读】

图1.合成示意图和柔韧性演示

(a) 静电纺丝方法合成过程示意图;

(b) Sn2S@C-x纳米纤维空气氛围下的TCA曲线;

(c) Sn2S@C-2纳米纤维的柔韧性展示。

图2. SnS2@C-x 纳米纤维的形

SnS2@C-x 纳米纤维的SEM形貌图和(纤维)宽度分布。 (a, e, i, m) SnS2@C-1;(b, f, j, n) SnS2@C-2;(c, g, k, o) SnS2@C-3, 和 (d, h, l, p) SnS2@C-4。

图3.表面元素分析

(a) SnS2@C-2的XPS全谱和相应的高分辨谱(b) C 1s, (c) N 1s, (d) S 2p 和 (e) Sn 3d。(f) HAADF-STEM 图和相应的元素分布(g) C, (h) N, (i) Sn和(j) S。

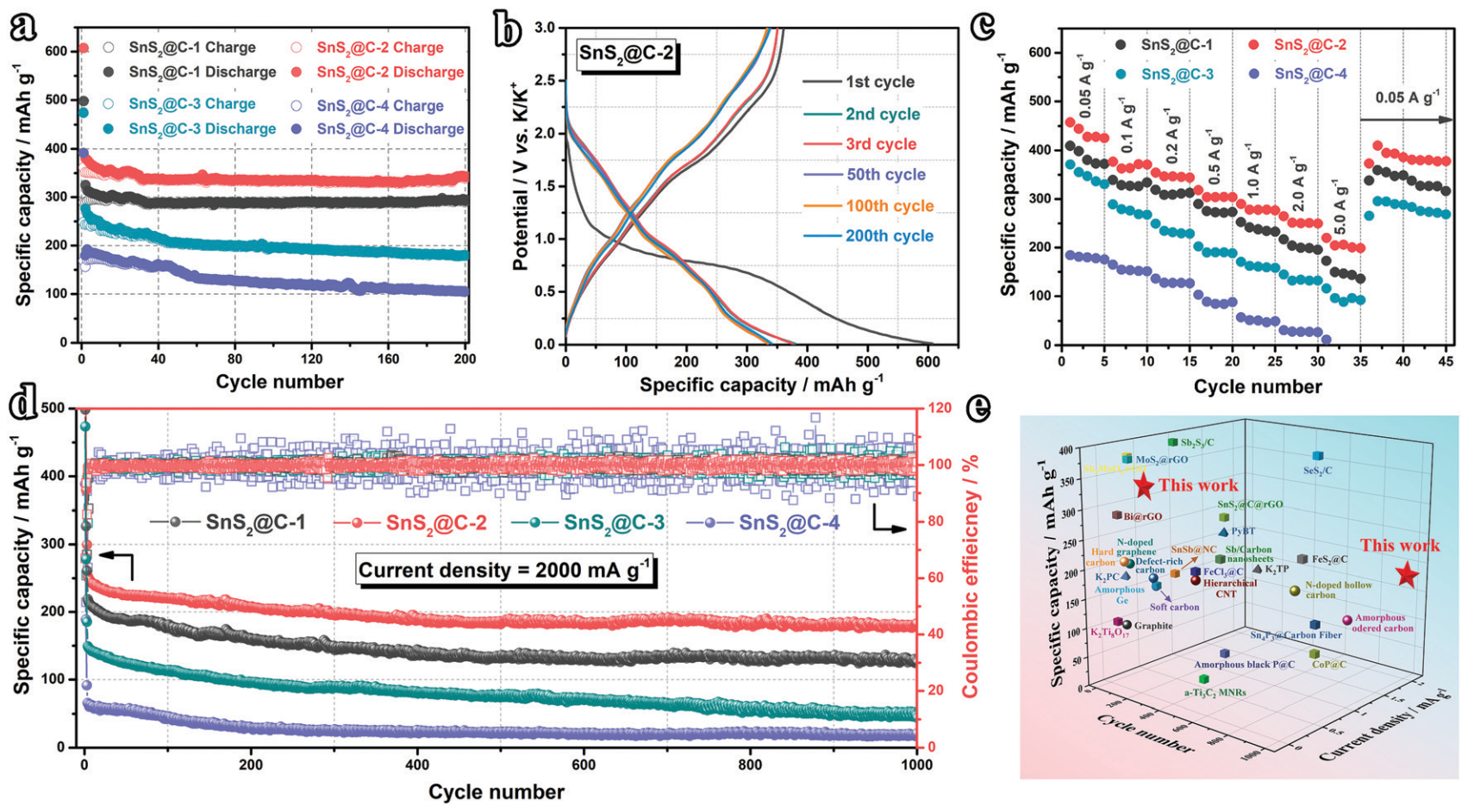
图4. 半电池的电化学性

(a) 0.1 A g-1下的循环性能;

(b) SnS2@C-2电极在0.1 A g-1下的GCD图;

(c) SnS2@C-x电极的倍率性能(在0.05 A g-1下预活化2个循环);

(d) 在2.0 A g-1下长时间循环;

(e) 与前期已报道工作的对比。

图5.原位XRD研究钾离子储存反应机制

(a) 不同充放电深度下的原位XRD结果;

完全放电至0.01V时电极材料的(b, c) 非原位HRTEM图;(d) SAED图。

图6.钾离子存储行为的研究

SnS2@C-2电极(a) 0.1 mA s-1下的CV曲线;(b) 不同扫描速率下的CV曲线;

(c) b值测定图;

(d) 不同扫描速率下电容贡献比;

(e) Sn2S@C-2电极在1.0 mV s-1时的电容行为图。

图7.钾离子扩散动力学评估

(a) 不同电位(vs. K/K+)下b值;

(b) 钾离子扩散系数测定值;

SnS2@C-2电极在所选电流密度下(c) 充放电曲线;(d)钾化的dQ/dV图;(e)脱钾的dQ/dV图。

图8.理论分析

不同位点吸附钾的理论结果(灰色-C, 蓝色-N, 黄色-S, 紫色-K)(a) C-pristine, (b) C-N5, (c) C-N5-Ortho S, (d) C-N5-Meta S, (e) C-N6, (f) C-N6-Ortho S, (g) C-N6-Meta S和(h) C-N6-Para S。(i) 吸附能(ΔEa)计算值的调查。(j)费米能级附近不同位点态密度的计算。

图9. PIBs全电池应用前景评估

(a) GCD 曲线;(b) 100 mA g-1下的循环稳定性;各种机械形变下LED等的实际应用展示:(c) 初始;(d)平的;(e)第1次折叠;(f)第1次折叠后释放;(g)第2次折叠;(h)第2次折叠后释放。

【结论】

本工作报道了使用柔性无粘结剂SnS2@C-2纳米纤维制备出可折叠的钾离子电池。SnS2@C-2电极具有可调节的厚度、良好的孔结构和N, S共掺杂构型;同时,还表现出优越的K离子存储能力,包括高可逆容量、优异的速率能力和超长循环稳定性,超过大多数已报道的PIBs负极材料。具体地说,连续的转换-合金化反应和增强的电容行为有助于高可逆容量。增大的碳间距、丰富的中孔和协同的N、S共掺杂促进了高速率稳定性。此外,本文还初步阐明了钾离子在不同钾化深度下的存储行为与钾离子扩散动力学的关系。简单地说,钾离子在高电位区以电容行为为主,而在扩散行为控制的深钾态,钾离子扩散相对缓慢。此外,从理论上阐明了N、S共掺杂策略相比于单一的N掺杂和原始碳元素,对于促进K离子的吸附性是高效的,这更揭示了主要的电容性行为。因此,本研究不仅为合理设计高性能PIBs电极材料提供了指导,而且对K离子存储动力学与其行为之间的内在关联给出了深入的理解。同时,这项工作也可能为其他电池系统设计更好的电极材料拓宽途径。

文献链接

Foldable Potassium-Ion Batteries Enabled by Freestanding and Flexible SnS2@C Nanofibers

慈立杰课题组简介

慈立杰,2000年获得清华大学机械工程系博士学位;先后在中科院物理所,法国中央理工学院,德国马克斯-普朗克金属所(2004年德国洪堡奖学金),美国纽约州伦斯勒理工学院及得克萨斯州莱斯大学担任研究人员。2007年9月至2010年7月在美国莱斯大学(Rice University)担任访问教授(Adjunct Professor)。2010年8月-2013年8月在三星美国圣何塞研究中心担任首席研究员,碳纳米材料实验室主任。2013年12月-2019年3月,任职山东大学材料科学与工程学院教授,山东大学碳纳米材料工程应用研究中心主任。2019年4月-至今,任职哈尔滨工业大学(深圳)教授。

慈立杰教授在碳纳米材料及新能源等应用领域有20多年的研发经历,已发表200余篇高水平的学术论文,论文被引用次数大于15000,h因子51,在不同的国际学术会议上有50余次学术报告,其研究成果申请了30余项国内国际专利。值得一提的是,慈立杰教授研发的“最黑材料”被收录为2008吉尼斯纪录。在碳纳米材料和二维材料领域,慈立杰教授在BN杂化石墨烯,BN类石墨烯二维材料的开创性研究成果发表在了Nature Materials,Nature Nanotechnology, Nature Chemistry, Nature Communication, Advanced Materials等材料研究领域的专业期刊上。目前带领的科研团队的研究方向主要在新能源材料制备及应用、下一代储能新技术开发、碳纳米材料在生物和环境等领域的应用等。其中,在钾离子电池领域的相关研究成果已发表于Energy & Environmental Science、Advanced Energy Materials、Small、Energy Storage Materials等期刊,部分优秀成果如下:

1、Deping Li#, Linna Dai#, Xiaohua Ren, Fengjun Ji, Qing Sun, Yamin Zhang, Lijie Ci*, Foldable Potassium-Ion Batteries Enabled by Free-standing and Flexible SnS2@C Nanofibers, Energy & Environmental Science, 2020, DOI:10.1039/D0EE02919J;

2、Deping Li, Xiaohua Ren, Qing Ai, Qing Sun, Yang Liu, Zhen Liang, Ruiqin Peng, Pengchao Si*, Jun Lou, Jinkui Feng, and Lijie Ci*, Facile Fabrication of Nitrogen-Doped Porous Carbon as Superior Anode Material for Potassium-Ion Batteries, Advanced Energy Materials, 2018, 8(34), 1802386 (ESI高被引论文、热点论文);

3、Deping Li, Yamin Zhang, Qing Sun, Shengnan Zhang, Zhongpu Wang, Zhen Liang, Pengchao Si* and Lijie Ci*, Hierarchically porous carbon supported Sn4P3 as a superior anode material for potassium-ion batteries, Energy Storage Materials 23 (2019) 367–374.

4、Qing Sun, Deping Li*, Liang Zhen, Linna Dai, Lijie Ci*, Structural Engineering of SnS2 Encapsulated in Carbon Nanoboxes for High-Performance Sodium/Potassium-Ion Batteries Anodes, Small, 2020, 16(45), 2005023.

5、Yamin Zhang, Zhongpu Wang, Deping Li*, Qing Sun, Kangrong Lai, Kaikai Li, Qunhui Yuan, Xingjun Liu, Lijie Ci*, Ultrathin carbon nanosheets for highly efficient capacitive K-ion and Zn-ion storage,Journal of Materials Chemistry A, 2020,8, 22874-22885.

6、Deping Li, Qing Sun, Yamin Zhang, Lina Chen, Zhongpu Wang, Zhen Liang, Pengchao Si* and Lijie Ci*, Surface-Confined SnS2@C@rGO as High Performance Anode Materials for Sodium- and Potassium Ion Batteries, ChemSusChem, 2019, 12, 2689-2700(VIP Paper).

本文由材料人编辑luna编译供稿,材料牛整理编辑。

投稿邮箱tougao@cailiaoren.com

投稿以及内容合作可加微信cailiaorenvip

 

未经允许不得转载:材料牛 » 哈工大深圳慈立杰Energy Environ. Sci.:自支撑柔性SnS2@C纳米纤维实现可折叠钾离子电池

相关文章

Baidu
map