【引言】
水系锌离子电池(ZIBs)因其锌负极具有的高理论容量(820 mAh g−1)、低氧化还原电位(-0.76V),自身的环境友好性和高安全性的特点而广受关注。近些年来,水系ZIBs在正极材料设计和结构优化方面取得了极大的发展,目前的正极以插层为主要机制。尽管具有低成本和无毒等优点,但这些正极相对较低的比容量和不稳定的输出电势仍阻碍了ZIBs的进一步发展。相比之下,基于转化反应机理的电极往往可以潜在地提供更高的比容量和更稳定的电压平台,保证了电池稳定的能量输出。转化型机理在锂离子电池中非常常见,相应的正极包括硫族元素,卤素或某些金属氧化物等,其中最典型的例子是锂硫电池。然而,基于转化机制的ZIBs目前仍然鲜有报道。基于之前的研究,传统的银锌(Ag-Zn)电池算是一种转化ZIB,它是基于从Ag到氧化Ag或卤化Ag的转化机理。遗憾的是,这类电池不仅成本高,还具有严重的锌腐蚀问题和银的溶解。因此,受困于没有合适的正极材料,特别是能够应用在中性水系电解质中的正极,转化反应机理在ZIBs中的应用迟迟没有突破。
近日,香港城市大学支春义教授与南通大学黄卫春教授(通讯作者)首次报道了利用硫族元素碲(Te)作为正极来构建转化型水系Zn-Te电池,旨在实现当前ZIBs追求的高比容量、稳定的输出电压和优异的倍率能力。通过对电极不同充放电态下的晶体结构和元素价态的非原位分析,确认了该Zn-Te电池是基于Te到ZnTe2和ZnTe2到ZnTe 的两步可逆转化反应机理。并且,该电池在0.05 A g-1的电流密度下可以输出高达2619 mAh cm-3的超高体积容量。如此高的放电容量和优异的活性材料利用率主要归因于Te的转化型离子存储行为和高导电性(2×102 S m-1)。此外,第一步放电反应Te到ZnTe2,其具有0.07 V(Ah g-1)-1的低电压极化和极其稳定的输出电压,并且该步贡献了全部放电容量的74.1%。此外,即使首次应用在水系环境中,该 Zn-Te电池在500次循环后仍具有高达82.8%的容量保持率。这主要得益于其消除了传统的金属-硫属元素电池面临的“穿梭效应”,因为在整个转化反应过程中发生的是固到固的转变。此外,通过制备准固态Zn-Te电池,也验证该体系具有出色的柔韧性,耐用性和良好的电化学性能。这项工作为基于转化型机制的ZIBs正极材料的设计带来了一些启发。相关研究成果以“Aqueous Zinc-Tellurium Batteries with Ultraflat Discharge Plateau and High Volumetric Capacity”为题发表在Adv. Mater.上。
【图文导读】
图一、材料物理表征
(a)Te粉的SEM图像;
(b)Te NSs的TEM图像;
(c)Te NSs的HRTEM和SAED图像;
(d)Te NSs的AFM图像;
(e,f)相应的高度曲线;
(g)Te NSs XRD图谱的Rietveld精修。
图二、材料电化学性能表征
(a)在0.5 mV s-1的扫数下Te NSs和Te粉的CV曲线;
(b)在0.05 A g-1的倍率下,Te NSs和Te粉的GCPL曲线;
(c)基于不同电流密度(0.05至5 A g-1)的倍率性能;
(d)在1 A g-1电流下,Te NSs和Te粉的循环性能和库仑效率;
(e)基于不同反应机理的ZIBs的容量比较。
图三、材料循环过程中相变研究
(a)在0.05 A g-1的电流密度下的GCPL曲线;
(b)非原位XRD图谱;
(c)不同充放电态下Te、ZnTe2和ZnTe的归一化物相含量;
(d-f)不同放电态下的非原位XPS图谱:Te 3d5/2(初始)、Te 3d5/2(0.56V)、Te 3d5/2(0.2V);
(g)放电过程中相变示意图(黄色:Te原子,灰色:Zn原子)。
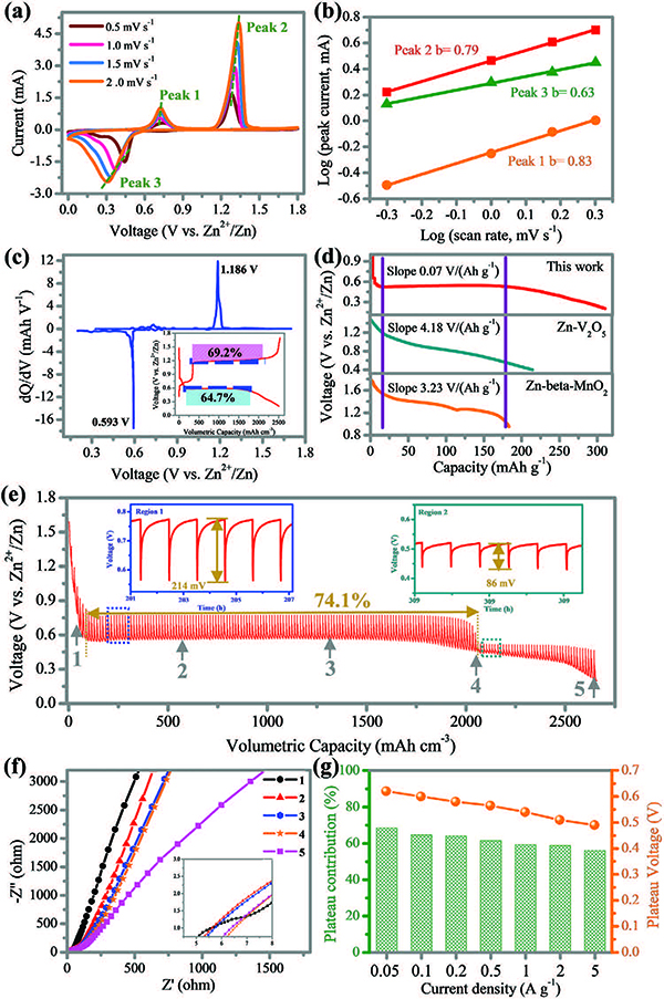
图四、电池动力学研究
(a)扫速为1至6 mV s-1的Te NSs的CV曲线;
(b)对于Te NSs,log(峰值电流)与log(扫速)之间的关系;
(c)0.1 A g-1的条件下得到的GCPL曲线的dQ/dV-1图;
(d)比较Zn-MnO2、Zn-V2O5和Zn-Te的放电曲线;
(e)Zn-Te电池的GITT曲线(0.1 A g-1,放电60秒,静止1小时);
(f)不同放电态下的EIS曲线;
(g)不同电流密度下的放电平台容量贡献和平台电压
图五、准固态Zn-Te电池的电化学性能
(a)准固态Zn-Te电池结构示意图;
(b)不同扫速下的CV曲线;
(c)倍率性能;
(d)循环性能;
(e)不同弯曲度条件下的电化学性能;
(f)将两个电池串联起来,在不同的弯曲条件下为数字手表和发光眼镜供电。
【小结】
综上所述,高比容量和稳定的输出电压一直都是水系ZIBs孜孜以求的目标,而基于传统的离子插层和表面氧化还原机制的ZIBs实在是难以实现这些追求。这样的性能需要活性材料的高利用率和超稳定的放电平台,因此转化反应机理具有非常大的潜力。作者设计了一种新型的转化型水系ZIBs,首次在水系电解液中使用硫族元素Te作为正极。研究表明, 该Zn-Te电池放电容量高达2619 mAh cm-3,主要基于Te到ZnTe2和ZnTe2到ZnTe的两步转化机理。此外,第一步转化(Te 到 ZnTe2)具有超平坦的放电平台,并且其贡献了全部放电容量的74.1%。尽管Te是首次应用在水系ZIBs中,该电池在500次循环后仍可实现82.8%的出色的容量保持率,原因在于其本质上消除了金属-硫属元素电池通常会面临的“穿梭效应”(放电中间产物(ZnTe2)和最终产物(ZnTe)都不溶于水)。这项工作为设计具有高容量,稳定放电电位,出色的倍率性能和长循环性能的转化型水系ZIBs提供了新的方向。
文献链接:“Aqueous Zinc-Tellurium Batteries with Ultraflat Discharge
Plateau and High Volumetric Capacity”(Adv. Mater.,2020,10.1002/adma.202001469)
支春义教授主页链接:
http://www.comfortablenergy.net/
本文由CYM编译供稿。





