傅里叶变换红外光谱(Fourier Transform infrared spectroscopy,简称FTIR),大家应该都十分熟悉,广泛应用于塑料、涂层、填料、纤维等众多高分子及无机非金属材料的定性与定量分析。本文将简单介绍一下FTIR的原理和特点,然后详细地介绍FTIR在材料领域的应用。
一、FTIR的原理
待测样品受到频率连续变化的红外光照射时,分子基团吸收特征频率的辐射,其振动或转动引起分子偶极矩的变化,振动能级和转动能级从基态到激发态的跃迁,形成分子吸收光谱,如下图所示。

图1. 亚甲基振动模式(伸缩振动和弯曲振动)(图片来源于网络)
红外吸收光谱主要用于材料的基团结构分析、材料的定性及定量分析:
①特征吸收频率(基团)——定性分析;可用作已知物的鉴定和确定未知物结构;
②特征峰的强度——定量分析
二、FTIR在材料检测方面的应用
1. 固化率测试
固化率是表征胶体样品在经过物理固化或化学固化前后的固化程度的表征。使用FTIR对固化率测试内容包括:可以观察样品在固化过程中官能团的断裂和重组;固化反应的机理;判断固化反应的程度;测试样品的固化率等。
应用领域:适用于环氧树脂、聚氨酯树脂、乙烯基加成聚合硅橡胶等热固性树脂。
固化率测试目的:固化率(交联度)测试可以有效的观测交联固化样品的反应程度,把控材料性能。
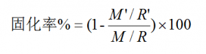
测试公式:

M’/R’——固化后胶粘剂的测量峰和参考峰的比值
M/R——未固化胶粘剂的测量峰和参考峰的比值
下面通过一个FTIR测试样品固化率的解析图来知道如何查看和分析出样品的固化率:
UV胶在紫外光照射下,其中的-C=C-反应会生成-C-C-。红外光谱定量分析是依据对特征吸收谱带强度的测量来计算各组分含量,可以通过-C=C-变化情况来判断固化率。碳碳双键上的C-H伸缩振动位于3095-2995cm-1之间, 但同时苯也具有不饱和性,在此区间也存在吸收,因此图谱中会发成峰的重叠,不宜选用。C=C伸缩振动位于1695-1540cm-1之间, 而UV胶常见的峰位于810±5cm-1, 此区域中的峰相对单一,易分辨且强度大,故选用此峰进行计算。此反应中,UV胶中的C=O与C-O不参与反应,含量不变,通常使用C=O (1720 cm-1)或者C-O (1150cm-1)作为内标峰。因实际测得C=O峰强度大,特征明显,故选用C=O特征峰进行计算。


图2. 样品质量对固化时间的影响以及固化率与peak ratio%关系图[1]
2. 高分子材料的组成分布研究[2]
大部分高分子材料都具有二维或三维的组成分布,如共混物、聚合物基复合材料等,组成分布对其性能影响很大。红外显微镜将微观形貌观察与结构分析结合,测量的微区最小可达5 μm×5 μm,是测定高分子材料组成分布的一种有效手段。金樱华等[3]用显微镜红外光谱法对多层复合膜成分进行鉴定,以5 μm为步进对薄膜截面进行线扫描后得到了薄膜的二维红外光谱图,如图4,确定该复合膜共有3层,0-65 μm层为聚乙烯,65-80 μm层为聚酰胺,80-90 μm层为聚酯。

图3. 红外显微镜下样品的截面图[2]

图4. 线扫描后所得红外光谱图的二维图[2]
3. 聚合物结构及变化的研究[4]
通过红外光谱法可以研究聚合物分子链的组成、结构、构型等,还可以研究聚合物在一定的条件下分子结构发生的变化,如老化、硫化、固化等。李圆等[5]将丙烯酰胺和淀粉通过接枝共聚形成聚合物凝胶体系。图5中新的吸收峰证明丙烯酰胺单体成功地接枝到了淀粉本体上。黄亚曦等[6]对聚乙烯薄膜进行紫外线老化实验。图5右图表明样品在紫外照射1200 h后的红外光谱图中羰基峰面显著减小,可以认为在此时样品分子链开始老化断裂。

图5. 淀粉与接枝淀粉的红外光谱及景不同时间紫外老化的PE红外光谱[4]
4. FTIR在材料阻燃分析中的应用[7]
红外光谱作为一种鉴定物质结构的理想方法,在合成阻燃剂阻燃材料时,可以验证产物是否与预计化合物结构一致,在产品制备与分离过程中,还可以鉴定产品的纯度和与杂质的分离程度。此外,红外光谱法可以研究材料的阻燃过程,阻燃材料与防火涂料在高温作用下,反应生成新的基团,其红外光谱会发生变化,对照燃烧前后的谱图,可以研究阻燃材料的阻燃机理。
对经过热氧化处理的样品进行红外分析可以研究阻燃型尼龙6(PA6)/聚丙烯(PP)硅灰石复合材料体系的阻燃机理,将三聚氰胺三聚氰酸盐(MCA),PA6, PP硅灰石复合材料于马弗炉中热氧处理,发现随着热氧处理的温度升高,MCA阻燃体系中,1741与1781 cm-1处MCA的特征吸收峰逐渐消失,2248 cm-1处出现腈基的特征吸收峰。然而PA6经过类似的热氧处理得到的残余物中无腈基基团,只是在1740 cm-1附近出现PA6解聚分解终端基团-CO-NH2的特征吸收峰。这些说明在热氧处理中MCA的三嗪环已经打开,由此可知,在高温作用下MCA受热分解催化PA6从解聚分解变为炭化分解,MCA对PA6/PP/硅灰石复合材料体系的阻燃作用,除了“升华吸热”的物理阻燃作用外,还具有催化PA6炭化膨胀的化学阻燃作用。

图6. 热氧处理样品的红外光谱图[7]
此外,原位红外光谱技术可以在一定条件下燃烧反应发生的同时进行红外光谱测定,通过某一个或几个吸收峰的变化能够反映出材料在燃烧反应中的变化。
5. 红外光谱联用技术在材料热分解研究中的应用[8]
FTIR和固体原位反应技术、快速热裂解原位反应技术以及热分析技术的联用在实时监测材料受热分解过程中凝聚相中间产物、终态产物和气相产物的组成以及分解起始温度点和温度范围方面的应用,提供了一种切实可行的材料热分解机理研究方法。
因此,通过傅里叶变换红外光谱技术和固体原位反应技术的联用(Thermolysis/RSFT-IR)可以确认有机化合物在受热分解过程中凝聚相的中间产物的化学结构,并通过升温时间点、温度记录等推导出中间凝聚相产物和终态凝聚相产物的生成温度范围,进而详细了解测试化合物的受热分解机理。

图7. DADNE热分解过程气相产物的红外吸收光谱[8]
6. FTIR在铁基超导材料中的应用[9]
新的超导材料被发现的时候,物理学家首先关心的是超导能隙的大小以及对称性,因为这些信息直接关系到超导电子配对的机制。理论计算表明铁基超导体是一类非常规超导体。其电子配对态是由反铁磁自旋涨落引起的,由此导致的超导能隙具有s±对称性。红外光谱对超导能隙以及能隙中可能出现的未配对准粒子非常敏感,因此,可以用来研究铁基超导体中超导能隙对称性的问题。

图8. 5 K时最佳掺杂的 Ba(Fe0.92Co0.08)2As2 (Tc = 25 K)和 Ba0.6K0.4Fe2As2 (Tc = 38 K) 的光电导谱[9]
Ba0.6K0.4Fe2As2的光电导谱在大约160 cm-1以下降为0,说明超导能隙是s波对称的,能隙中不存在未配对的准粒子。而Ba(Fe0.92Co0.08)2As2的光电导虽然在低频下出现了很陡的下降(表明超导能隙的打开),但没有降至零。低频的光电导谱仍然需要一个Drude分量来描述(代表未配对准粒子),如图中蓝色阴影部分所示,这说明超导能隙中存在大量的未配对载流子。
结语:
随着科学技术的发展,红外光谱技术的发展也十分迅速,技术得到了拓展,应用领域不断变宽。如反射光谱、光声光谱法、时间分辨光谱法等。该技术与其它技术联合检测也已成为发展趋势,不断拓展红外光谱法的应用领域。
参考文献:
[1] 陆宇翔, 红外光谱测定UV胶(D)固化率的探究, HTH官网地址 视界, 000 (2019) 190-191.
[2] 白云, 胡光辉, 李琴梅, 陈新启, 髙峡, 刘伟丽, 傅里叶变换红外光谱法在高分子材料研究中的应用, 分析仪器, 220 (2018) 50-53.
[3] 金樱华, 顾中怡, 强音, 沈劼, 程欲晓, 杨勇, 杜嘉琪, 傅里叶变换显微红外光谱法鉴定多层复合薄膜成分, 理化检验-化学分册, 52 (2016) 219-221.
[4] 尚建疆, 张帅, 张新慧, 朱小燕, 刘芳, 红外光谱在高分子材料研究中的应用, HTH官网地址 创新与应用, 000 (2019) 175-176.
[5] 李圆, 淀粉接枝共聚丙烯酰胺聚合物凝胶体系的研究与应用, 中国地质大学(北京).
[6] 黄亚曦, 贾鑫, 李德强, 尚建疆, 张雪梅, 王军, 刘志勇, 自然条件下可降解农膜光降解性能的研究, 石河子大学学报(自科版), (2012) 113-117.
[7] 蔡国宏, 红外光谱法在材料阻燃分析中的应用, 武警学院学报, 21 (2005) 22-23.
[8] 李吉祯, 刘小刚, 付小龙, 樊学忠, 红外光谱联用技术在材料热分解研究中的应用, 化学推进剂与高分子材料, 09 (2011) 29-32.
[9] 戴耀民, 红外光谱在铁基超导材料研究中的应用, 物理学进展, 038 (2018) 147-162.
本文由春春供稿。
本内容为作者独立观点,不代表材料人网立场。
未经允许不得转载,授权事宜请联系kefu@cailiaoren.com。
欢迎大家到材料人宣传HTH官网地址 成果并对文献进行深入解读,投稿邮箱: tougao@cailiaoren.com.
投稿以及内容合作可加编辑微信:cailiaorenVIP。





