【研究背景】
疏水改性乙氧基化聚氨酯(HEURs)属于一类特殊的遥爪型聚集高分子,被广泛用作水性体系的流变添加剂,以调节水性体系(如涂料和油墨)的粘弹性。然而,常规的HEURs通常是不反应的并且以游离态的形式保留在最终涂膜中,这可能在使用时间内对最终固化膜带来一些缺陷和损坏。改善成膜性能的一种吸引人的方法可能是设计反应性HEURs,它们可以在膜固化过程中与配方中其他组分的后交联反应。据我们所知,这种具有反应性或可聚合性疏水端基的反应性HEURs目前还没有报道。
【成果简介】
近日,华南理工大学任碧野教授与杜柱康博士联合报道了由反应性甲基丙烯酸酯基团和疏水性十八烷基尾端官能化的可聚合丙烯酸型HEUR(acrylic-HEUR)。通过动态光散射,原位核磁共振(1H NMR)和流变学测量,可以清楚地阐明基于高反应性甲基丙烯酸酯基的丙烯酸型HEUR的典型自由基聚合特征。丙烯酸型HEUR在水性紫外线乳液中的优异增稠性能及其与紫外线可固化基体树脂的有效共聚反应性已通过在紫外线照射下进行的原位流变测量得到了详细证明。与传统的非反应性HEUR相比,丙烯酸型HEUR的共聚反应性使其特别适用于水性UV涂料,从而避免了其从最终的UV固化膜中迁移出来的情况。这项工作不仅可以为制备具有高化学反应性的HEUR聚合物开辟新的视野,而且有望将可聚合的HEURs用作工业上优良的缔合增稠剂的潜力。该文章近日以题为“Polymerizable Hydrophobically Modified Ethoxylated Urethane Acrylate Polymer: Synthesis and Viscoelastic Behavior in Aqueous Systems”发表在知名期刊Macromolecules上。
【图文导读】
图一、丙烯酸型HEUR在紫外线照射下的化学反应性

在紫外线照射0、10、30和60 s后,丙烯酸-HEUR和光引发剂(1173)在CDCl3中的混合物的原位1H NMR光谱。
图二、丙烯酸型HEUR在紫外线辐射下的聚合反应性

(a)用1173光引发剂对0.3g/L丙烯酸型HEUR水溶液进行紫外辐照0、10、20、40和90s后的弛豫时间分布。
(b)紫外辐射诱导胶束核心甲基丙烯酸基团自由基聚合对胶束和胶束聚集体弛豫行为影响的示意图。
图三、丙烯酸型HEUR水溶液的粘弹性质

(a-c)紫外(γ=5%,ω=3.14 rad/s)条件下含0.85mg/1173的(a)15、(b)25和(c)35g/L丙烯酸型HEUR水溶液的G′、G〃和损耗角正切(tanδ)的动态变化。
(d-f)紫外线照射(γ=5%)前后(d)15、(e)25和(f)35g/L丙烯酸型HEUR水溶液的频率扫描测量。
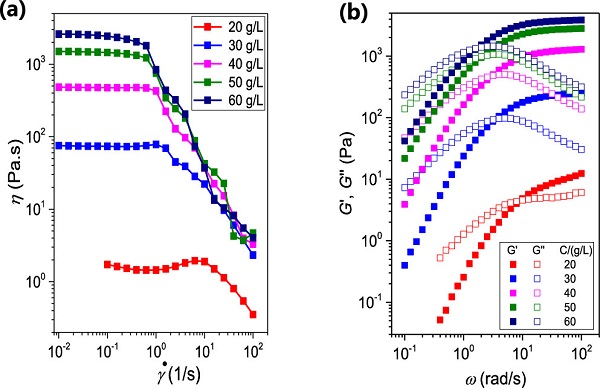
图四、丙烯酸-HEUR的剪切流变性能

在25°C下指定浓度下的丙烯酸型HEUR水溶液的稳态(a)和振荡(b)剪切测量。
图五、丙烯酸-HEUR的增稠性能

(a)不同丙烯酸型HEUR掺量的WUV 47乳化液在25℃时的稳定剪切流变学。
(b)在25℃时掺入0.3 wt %的丙烯酸型HEUR的WUV 47乳化液的多次交替剪切速率试验。
图六、丙烯酸型HEUR与水性UV树脂的共聚

(a)两种HEUR增稠乳液在振荡剪切过程中剪切弹性模量随时间的变化(γ=5%,ω=6.28 rad/s)。
(b)两种交联乳液的应力松弛测量(γ=10%)。
(c)松弛两个UV固化乳液样品的一半初始应力的时间。
【结论展望】
综上所述,本文报道了一种含甲基丙烯酸端基的可聚合HEUR聚合物(丙烯酸型HEUR)。丙烯酸型HEUR在紫外光照射下,不仅具有良好的增稠性能,而且在水溶液中具有高聚合性。丙烯酸型HEUR增稠乳液在多种交变剪切条件下表现出良好的粘度恢复性能。丙烯酸型HEUR聚合物的反应特性使其特别适用于水性UV涂料,因为与基体UV树脂或反应性单体进行化学交联可显著减少其从最终固化膜中的迁移。这项工作对于开发用于水性UV系统(如涂料、涂料、粘合剂、油墨、染料等)的高级HEUR缔合增稠剂可能很有意义。
文献链接:Polymerizable Hydrophobically Modified Ethoxylated Urethane Acrylate Polymer: Synthesis and Viscoelastic Behavior in Aqueous Systems (Macromolecules, 2020, DOI: 10.1021/acs.macromol.0c00982)
本文由大兵哥供稿。
欢迎大家到材料人宣传HTH官网地址 成果并对文献进行深入解读,投稿邮箱:tougao@cailiaoren.com
投稿以及内容合作可加编辑微信:cailiaorenvip。





