MOFs是近十年来发展迅速的一种配位聚合物,具有三维的孔结构,自组装形成具有周期性网状骨架的结构,构成空间3D延伸,系沸石和碳纳米管之外的又一类重要的新型多孔材料,在催化、储能和分离等等中都有广泛应用。自20世纪90年代,第一代MOFs材料被合成出来,MOFs已成为无机化学、有机化学等多个化学分支的重要研究方向。笔者定期梳理近期材料类系列刊中MOFs的相关文章,一起了解下相关研究!
Nature Commun.: MOF用于催化及化学结构确定
未结晶的天然产物的确切化学结构仍然是自然科学的主要挑战之一。尽管在全合成方面取得了巨大的进展,但对无数具有非常敏感化学功能的天然产物的绝对结构测定仍未完成。在这里,西班牙巴伦西亚大学的Jesús Ferrando-Soria教授、Emilio Pardo教授联合意大利卡拉布里亚大学Donatella Armentano教授等人展示了一个吸附水的含有羟基的金属有机骨架(MOF),可以选择性水解糖基键,通过超分子秩序与所形成的手性片段,并通过单晶x射线晶体学可以确定有机结构。这种基于仿生、廉价、可用的固体催化剂的组合策略,为确定酮类化合物的绝对结构而不考虑降解敏感性,也为设计极温和的无金属固体催化过程而不需要酸性质子打开了大门。相关研究以“Hydrolase–like catalysis and structural resolution of natural products by a metal–organic framework”为题目,发表在Nature Commun.上。
文献链接:DOI: 10.1038/s41467-020-16699-3
图1 MOF催化蔗糖糖基键的选择性水解
JACS:MOFs配位层提高界面电荷转移动力学实现高效CO2光还原
电子空穴对的复合严重降低了光催化剂的效率。这个问题可以在金属有机框架(MOFs)通过优化电荷转移动力学通过合理的结构设计在原子水平。中科院福建物构所Rong Cao等报道了一种集光捕获器,活性催化位点和高表面积为一体的吡唑基卟啉镍-MOF(PCN-601),并通过实验证实了该材料是一种出色且耐用的光催化剂,可用于高效催化室温下可见光驱动的通过H2O蒸气的CO2还原。动力学研究表明,吡唑基团和镍氧团簇的强配位使PCN-601具有合适的能带排列和超快的配体到节点的电子转移。因此,PCN-601催化CO2转化CH4产量远远超过基于羧酸卟啉和经典Pt/CdS光催化剂类似MOFs的3倍和20倍以上。该反应避免了清除孔剂的使用,在气相中进行,可以充分利用MOFs高的气体吸收量。研究表明,合理设计MOF结构配位球不仅可以解决反应性与稳定性之间的矛盾,而且可以极大地促进界面电荷转移,实现动力学优化,为设计高效MOF光催化剂提供指导。相关研究以“Boosting Interfacial Charge-Transfer Kinetics for Efficient Overall CO2 Photoreduction via Rational Design of Coordination Spheres on Metal-Organic Frameworks”为题目,发表在JACS上。
文献链接:DOI: 10.1021/jacs.0c05530
图2 PCN-601 CO2光还原性能

JACS:抗辐射钍联萘酚MOF
美国圣母大学Peter C. Burns等人合成了一种六聚体的含钍有机骨架(TOF-16),并对其进行了表征和辐射检测。辐射稳定性测试使用的是γ射线和5MeV He2+离子模拟粒子。4 MGy剂量照射TOF-16时,X射线衍射看不到明显的体结构损伤。为了进一步探测辐射稳定性,对MOF进行了He2+离子辐照研究。衍射数据表明在大约15 MGy的照射下结晶度开始下降,在大约25 MGy的He2+离子照射下结晶度完全下降。观察到的高辐射抗性表明,MOFs可以承受核废料流中发现的剂量的辐射照射,这突出表明需要有系统的方法来理解并最终设计具有特殊辐射抗性的框架。相关研究以“Unprecedented Radiation Resistant Thorium-Binaphthol MOF”为题目,发表在JACS上。
文献链接: DOI: 10.1021/jacs.0c05272
图3 He2+辐照后TOF-16的分析

Chem Soc Rev:金属氧化物控制MOF和多孔碳材料的形态
由于金属有机骨架(MOFs)和多孔碳的表面积与体积和质量之比很大,它们彻底改变了许多依赖于表面化学和物理相互作用的应用。然而,目前的主要挑战是如何塑造这些多孔材料,将其在实验室增强的性能转化为现实世界的宏观应用。在这篇综述中,波兰密茨凯维奇大学Joanna Goscianska教授联合英国格拉斯哥大学Bernhard V. K. J. Schmidt教授等人对如何将精确的形态控制转移到MOFs和多孔碳材料上作了全面的综述。因此,可在0D、1D、2D和3D设计定制材料结构,这对储能、催化和纳米医学等应用具有重要意义。因此,在MOFs和多孔碳的形态控制方面的重大研究进展将促进这些材料的使用,以满足社会的主要需求,特别是能源、健康和环境的重大挑战。相关研究以“Controlling the morphology of metal–organic frameworks and porous carbon materials: metal oxides as primary architecture-directing agents”为题目,发表在Chem Soc Rev上。
文献链接:DOI: 10.1039/c9cs00871c
图4 不同金属氧化物的多面形态转化为MOFs和多孔碳

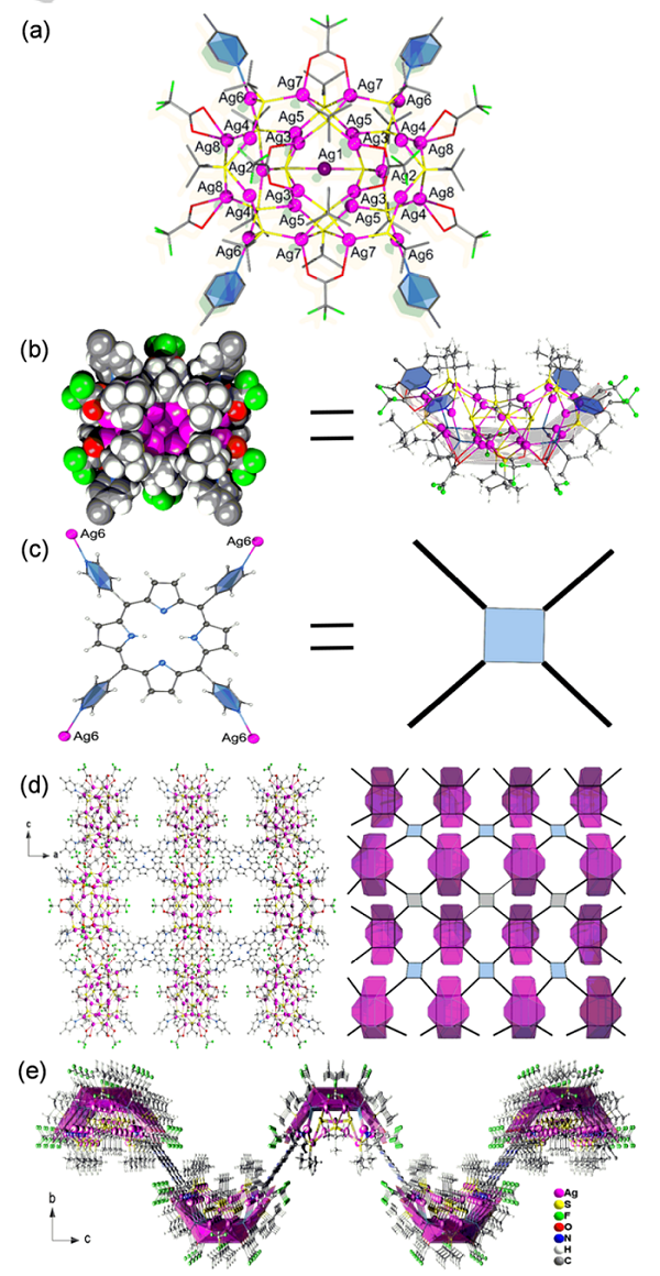
Angew.:稳健的Ag27簇基二维MOF高效催化CO2
铸造金属(Cu、Ag、Au)基催化剂在有机合成化学中得到了广泛的应用,而稳健的多相银基催化剂由于其高光敏性和化学不稳定性而难以获得。在此,山东大学Di Sun,Ping Cui教授等报道了一个5,10,15,20-四(4-吡啶基)卟啉(TPyP-H2)配体连接有基于双S2-模板的Ag27团簇形成的2D金属有机框架(Ag27-MOF)材料,并将其用作多相催化剂。这种银团簇组装材料是一种高效的异相催化剂,用于在大气压力下末端和内部炔丙基胺环化与催化CO2。密度泛函理论(DFT)计算表明,Ag27-MOF具有较高的催化活性和较宽的底物范围,这是由于其具有鞍状金属节点,其特点是具有高密度银原子的易接近平台,具有高密度银原子作为π-路易斯酸位点用于激活C≡C三键。本研究不仅为基于银簇的二维MOF材料的组装提供了一种新的方案,而且为高效银簇多相催化剂的合理设计开辟了一条新途径。相关研究以“Ambient Chemical Fixation of CO2 Using a Robust Ag27 ClusterBased Two-Dimensional Metal-Organic Framework”为题目,发表在Angew.上。
文献链接:DOI: 10.1002/ange.202007122
图5 Ag27-MOF的拓扑结构及配位形式

AEnM:超级电容器用微孔MOF及其衍生物碳材料
有序宏观微孔单晶金属有机骨架结构(MOFs)在限制扩散过程中具有良好的应用前景。然而,合成这种MOFs的报道仍然很少。华中HTH官网地址 大学徐智谋、周军教授等人提出了一种有序大微孔单晶MOFs的通用合成方法,报道了一种在双溶剂体系中采用单配体诱导的三维有序硬模板原位结晶法制备单晶有序大微孔MOFs的新方法。为了阐明模板的成形效果,提出了一种空间混合生长模型,分析了单配体的作用。此外,由宏观微孔MOF衍生的碳材料继承了有序的互联大孔结构。扩散率的提高、电阻的降低以及结构的鲁棒性,使得该衍生碳材料在制备超级电容器电极时具有优异的速率性能和良好的循环稳定性。预计该方法将为此类宏观微孔材料的合成提供新的途径,并可应用于能源相关材料等领域。相关研究以“Fabrication of Ordered Macro-Microporous Single-Crystalline MOF and Its Derivative Carbon Material for Supercapacitor”为题目,发表在AEnM上。
文献链接:DOI: 10.1002/aenm.201903750
图6 SIM-HKUST-1的合成与表征

AM:界面层极化诱导制备超薄低结晶度MOF膜
实用的超薄金属有机骨架(MOF)膜具有优异的分离性能,但目前的制造方法在同时提高选择性和渗透性方面仍面临挑战。在这里, 天津工业大学仲崇立教授,天津大学王志教授,Michael D. Guiver教授报道了通过在多孔柔性聚合物支撑层上进行界面层极化诱导的一种简便的通用方法,成功合成了一种超薄低结晶度MOF膜(LC-MOF)。这是通过使用具有密集和均匀分布的金属离子的界面层来实现的,从而产生大量的开放金属位点。制备了三种类型的LC-MOF膜,其中以二乙醇胺原位改性的ZIF-8膜(DZIF-8)对丙烯/丙烷的分离性能最好,具有前所未有的丙烯渗透性(2000-3000个气体渗透性单元),具有很高的丙烯/丙烷选择性(90-120)。相关研究以“Ultrathin Low-Crystallinity MOF Membranes Fabricated by Interface Layer Polarization Induction”为题目,发表在AM上。
文献链接:DOI: 10.1002/adma.202002165
图7 LC-MOF膜的形态与表征

AFM:单晶染料配位MOF用于多光子泵浦的高极化微型激光器
室温、低阈值、光稳定性、成本效益、高效率、小型化和全固态激光器在许多技术和医疗应用领域都非常受欢迎。新加坡国立大学Wei Ji教授等人介绍了一种具有上述特性的典型染料激光器,它基于染料协调 的MOF的单晶微板,有望成为下一代激光器。激子-极化激子激光机制结合大的多光子吸收截面,在不同的光泵浦方案下,三个微板的激光阈值在0.34 ~ 0.12 μJ cm−2之间。观察到激光阈值随着泵浦光非线性级数的增加而减小。激光在极端红色区域被证明,具有高光稳定性(在1.8×106循环后,激光输出下降25%),具有很大的偏振度(高达92%)和良好的转换效率(高达12%),从而实现了激光技术领域的一个重要里程碑。相关研究以“Multiphoton-Pumped Highly Polarized Polariton Microlasers from Single Crystals of a Dye-Coordinated Metal–Organic Framework”为题目,发表在AFM上。
文献链接:DOI: 10.1002/adfm.202003294
图8 MOF微板的层状结构及激光器特征

ACS Nano:联吡啶功能化MOF捕获纳米约束的分子硼氢化镁
金属氢化物纳米约束的下限是通过分子氢化物与MOF内结合位点的配位来证明的。近日,美国圣地亚国家实验室Vitalie Stavila,Mark D. Allendorf教授等人通过溶剂浸渍法将具有高氢容量的硼氢化镁掺入UiO-67bpy (Zr6O4(OH)4(bpydc)6,bpydc2- = 2,2′-联吡啶-5,5′-二羧酸盐)的孔中。MOF保持了其长程顺序,透射电子显微镜和元素映射证实了晶体形态的保留,并揭示了氢化物在MOF宿主体内的均匀分布。值得注意的是,B、N和Mg-edge XAS数据证实了Mg(II)对螯合的联吡啶基团的N原子的配位。原位11B核磁共振研究有助于阐明反应机理,并揭示了Mg(BH4)2发生完全氢释放的温度低至200°C。Sieverts和热重测量表明,氢释放速率增加,氢解吸的起始温度低至120℃,大约比体材料低150℃。此外,改善的脱氢性能得到了密度泛函理论计算的支持,并发现结合在MOF上,B-H键解离的活化能大大降低。相关研究以“Nanoconfinement of Molecular Magnesium Borohydride Captured in a Bipyridine-Functionalized Metal-Organic Framework”为题目,发表在ACS Nano上。
文献链接:DOI: 10.1021/acsnano.0c03764
图9 MOF结构示意图及联吡啶位点插入Mg(BH4)2示意图
ACS Nano:MOF纳米晶体与石墨烯的界面工程研究
钾离子电池(PIB)是一种被公认的低成本高能电池,但其容量相对较低,电流电极材料循环性能较差。在此,同济大学Ying Wang教授联合西湖大学Yuxi Xu教授等人报告了一种有效的界面工程策略,通过强化学相互作用,将还原氧化石墨烯(rGO)紧密包裹在金属有机骨架(MOF)纳米晶中,作为PIB的独立阳极。在实验分析和理论计算的基础上,系统地研究了MOF纳米晶与导电还原氧化石墨烯之间化学键合界面的影响,结果表明,与微观形貌几乎相同的MOF和还原氧化石墨烯的物理混合物相比,强的化学界面能显著提高钾离子在MOF纳米晶中的吸附能和离子运输动力学。结果显示,这样的MOF-rGO具有很强的界面化学偶联,在0.1 A g-1的条件下,可提供422 mAh g-1的超高可逆容量优异的速率性能(在5A g-1时为202 mAh g-1)和优异的长期循环性能(2 A g-1下2000周期后每循环极低的衰减率为0.013%),这不仅是显著优于物理混合的MOF/rGO,也是迄今为止最好的PIB阳极材料。相关研究以“”为题目,发表在ACS Nano上。
文献链接:DOI: 10.1021/acsnano.0c03488
图10 Co-MOF-rGO杂化制备示意图

文中所述如有不妥之处,欢迎评论区留言~
本文由Junas供稿。
本内容为作者独立观点,不代表材料人网立场。
未经允许不得转载,授权事宜请联系kefu@cailiaoren.com。
欢迎大家到材料人宣传HTH官网地址 成果并对文献进行深入解读,投稿邮箱: tougao@cailiaoren.com.
投稿以及内容合作可加编辑微信:cailiaorenVIP。





