【背景介绍】
稀磁半导体(Diluted Magnetic Semiconductors, DMSs)是指半导体中的部分原子被过渡金属元素取代后形成的磁性半导体,因其兼具半导体和磁体的性质,有望在同一种材料中同时应用电子电荷和电子自旋两种自由度实现信息存储和量子计算等功能,引起了物理、材料和电子信息等领域研究者们的广泛关注。2005年,国际顶级期刊Science提出了125个全世界最前沿的科学问题,是否可以制备出室温下的磁性半导体即为其中之一。事实上,理想的磁性半导体应同时具有高居里温度铁磁性和高载流子迁移率等特性,这对于实际半导体自旋电子器件中自旋电流的产生和传输至关重要。虽然对于不同材料体系的DMSs已有大量研究,但由于合成过程中引入的缺陷等因素,目前的DMSs或居里温度不高、或载流子迁移率较低。同时,由于反常霍尔效应带来的测试困难,有关DMSs中载流子迁移率的研究也不多见。迄今为止,能够同时兼具高居里温度的铁磁性和高载流子迁移率的DMSs仍未见报道。另一方面,第IV族半导体材料,包括硅(Si)、锗(Ge)和硅锗合金(SiGe)等,是传统半导体产业的主流材料之一。其中,SiGe合金因其两种元素Si和Ge可无限互溶,有利于调控元素比例以调控应力、能带结构和载流子迁移率,已应用于各类商业化高速电子器件。理论研究预言,拉伸应变可使得SiGe的重/轻空穴在价带顶部分离,增加其空穴迁移率;与此同时,拉伸应变增大晶格常数也有助于掺杂锰(Mn)的第IV半导体中的铁磁序。基于以上事实,若能设计制备基于第IV族半导体SiGe的铁磁性半导体薄膜材料,使其兼具高居里温度和高载流子迁移率,因其母体材料与现代硅半导体材料工艺技术可无缝衔接,有望构造出一个高性能半导体自旋电子材料的基础研究和应用开发的重要平台。
【成果简介】
近日,四川大学的向钢教授(通讯作者)团队、汪渊教授团队以及兰州大学彭勇教授团队合作,报道了基于第IV族半导体硅锗合金的磁性半导体的研究工作。论文第一作者是川大研究生王焕明,通讯作者是川大向钢教授。研究者们采用射频磁控溅射法在Ge基底上制备非晶态的Mn掺杂SiGe薄膜,并通过非平衡态快速热退火(RTA)使其结晶。在RTA之后,样品成为铁磁性半导体,其居里温度随着Mn掺杂浓度的增加而升高,并在5% Mn浓度下达到280 K。实验数据和理论分析表明,铁磁性来自空穴介导过程,并通过SiGe晶体中的拉伸应变而得到增强。另一方面,为消除或减弱反常霍尔效应影响而进行的33 T强磁场下的霍尔效应测试表明,由于拉伸应变诱导的能带结构调制,退火样品的空穴迁移率得到了极大提高,其最大值达到1000 cm2 V-1 s-1。简言之,Mn掺杂的SiGe薄膜显示出高居里温度铁磁性和高空穴迁移率,有望为半导体自旋电子学提供一个富有前景的研究平台。研究工作受到国家重点研发计划——战略性电子材料(No. 2017YFB0405702)和国家自然科学基金(No. 51671137)的经费支持,并得到中科院半导体所赵建华教授、王海龙副教授和中科院合肥强磁场中心田明亮教授等的支持和帮助。研究成果以题为“High Curie Temperature Ferromagnetism and High Hole Mobility in Tensile Strained Mn-Doped SiGe Thin Films”发布在国际著名期刊Adv. Funct. Mater.上。
【图文解读】
图一、HRTEM和XRD表征
(a)样品M2的横截面透射电子显微照片;
(b)样品M2的HRTEM图像;
(c)退火样品AM1、AM2、AM3和未退火样品M2的GIXRD模式;
(d-f)AM1、AM2和AM3的HRTEM图像;
(g)Mn浓度对晶格常数的影响。
图二、ACTEM和XPS表征
(a)AM2的横截面ACTEM图像;
(b)AM3和M3的XPS光谱结果。
图三、铁磁性能
(a)AM1、AM2、AM3和M3磁化的温度依赖性;
(b)在不同温度下AM2的M-H曲线;
(c)AM1、AM2和AM3的居里温度(TC)和饱和磁矩(MS);
(d)在Si0.25Ge0.75晶格的不同位置掺杂Mn原子的形成能。
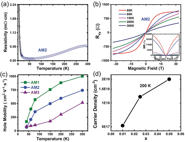
图四、强磁场下的输运性能
(a)对于AM2,在零磁场下电阻率的温度依赖性;
(b)在不同温度下,AM2的霍尔电阻和MR的磁场强度依赖性;
(c)AM1、AM2和AM3空穴迁移率的温度依赖性;
(d)空穴密度与200 K下Mn掺杂浓度的关系。
【小结】
综上所述,研究者们采用射频磁控溅射法和非平衡态RTA工艺制备了Si0.25Ge0.75:Mnx样品。退火后的样品铁磁性居里温度高达280 K,其铁磁性源自Si0.25Ge0.75晶格中的Mn掺杂替代,并因拉伸应变而得到增强。33 T强磁场下的霍尔效应测试表明,拉伸应变诱导的能带结构调制使得退火样品的空穴迁移率得到极大提高,其最大值达到1000 cm2 V-1 s-1,比其他DMSs高出了2个数量级。总之,Si0.25Ge0.75:Mnx样品显示出高居里温度铁磁性和高空穴迁移率,有望为半导体自旋电子学研究提供一个重要的材料平台。
文献链接:High Curie Temperature Ferromagnetism and High Hole Mobility in Tensile Strained Mn-Doped SiGe Thin Films(Adv. Funct. Mater., 2020, DOI: 10.1002/adfm.202002513)
通讯作者简介
向钢,四川大学教授、博士生导师。1998本科毕业于兰州大学物理系,2001年硕士毕业于兰州大学材料系(导师王天民教授),2006年博士毕业于美国宾夕法尼亚州立大学物理系(导师Prof. Nitin Samarth),曾于哈佛大学、宾夕法尼亚州立大学、俄亥俄州立大学从事科学研究和学术交流活动。长期从事半导体材料与器件物理和磁学研究,特别是半导体电子与自旋电子学的相关研究。已在Nature、PRL、Adv. Funct. Mater.、Adv. Electron. Mater.、PRB、APL等期刊发表论文70余篇,获得国家发明专利授权5项。曾入选教育部新世纪优秀人才支持计划,获得四川省青年HTH官网地址 奖、唐立新教学名师奖等荣誉。
本文由CQR编译。
欢迎大家到材料人宣传HTH官网地址 成果并对文献进行深入解读,投稿邮箱:tougao@cailiaoren.com.
投稿以及内容合作可加编辑微信:cailiaokefu.





