当前位置: 材料牛 » HTH官网地址 » 导读 » Adv. Mater.报道:可大面积制备的II-型Dirac半金属PtTe2具有高自旋霍尔电导率

Adv. Mater.报道:可大面积制备的II-型Dirac半金属PtTe2具有高自旋霍尔电导率

【背景介绍】

自旋轨道转矩(Spin-Orbit Torque,SOT)是指基于自旋轨道耦合(Spin-Orbit Coupling,SOC),利用电荷流诱导的自旋流来产生自旋转移力矩,进而达到调控磁性存储单元的目的。典型的SOT设备由重金属/铁磁体(HM/FM)双层组成,其中HM(Pt、W等)主要由于自旋霍尔效应(SHE)将电荷电流转换为自旋电流,然后在相邻的FM上施加扭矩,从而实现磁化操纵。在众多新材料中,过渡金属二硫化碳(TMD)由于具有可调控的电导率和自旋轨道耦合等优势而备受关注。然而,有以下两个关键问题需要解决:(1)大多数TMD材料的电导率比HMs低几个数量级,导致大部分电流在FM层中流动,因此有效的磁化开关更少。(2)基于TMD的SOT器件通常通过物理剥落法制造,因此无法扩展到实际应用中。目前,PtTe2在金属TMD中具有最高的室温电导率(约3.3×106 S m-1),同时PtTe2被归类为II-型Dirac半金属,可以产生具有自旋动量锁定的拓扑表面状态(TSSs)。

【成果简介】

基于此,中国科学院物理研究所的于国强特聘研究员(通讯作者)团队报道了一种简单的方法来合成可用于SOT设备的高质量且可大面积制备的PtTe2薄膜。研究发现基于PtTe2器件的SOT效率(5 nm厚PtTe2层的SOT效率为0.09-0.15)比4 nm厚Pt对照样品的SOT效率高1.5-2倍。在目前研究的TMD中,PtTe2的自旋霍尔电导率(0.2-2×105 ℏ/2e(Ωm)-1)最大,可与Pt和拓扑绝缘体相比。利用PtTe2的大SOT,进一步实现了PtTe2/Au/CoTb器件中垂直磁化的有效切换。该研究成果以题为“High Spin Hall Conductivity in Large-Area Type-II Dirac Semimetal PtTe2发布在国际著名期刊Adv. Mater.上。

【图文解读】

图一、PtTe2薄膜的结构
(a)将大型Pt薄膜转化为PtTe2薄膜的CVD工艺示意图;

(b)厚度约为5 nm(顶部)和10 nm(底部)的大面积PtTe2薄膜;

(c)厚度约为5 nm的典型PtTe2薄膜的HRTEM图像;

(d-e)各种PtTe2薄膜的X射线衍射和拉曼光谱。

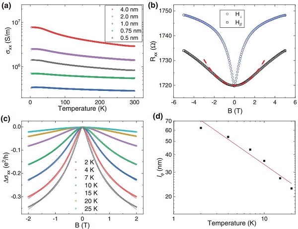
图二、PtTe2薄膜的传输特性
(a)PtTe2薄膜中电导率的温度依赖性;

(b)在2 K时,PtTe2薄膜的MR沿两个不同方向的磁场变化;

(c)PtTe2薄膜在H⊥和低温下的磁导,其中Δσxx=(L/Wt)/Rxx,L、W和t为PtTe2通道的长度、宽度和厚度;
(d)相位脱散长度lφ的温度相关性及其用lφ∝T的拟合。

图三、研究SOT的PtTe2/Py双层示意图
(a)具有GSG连接的ST-FMR设备的布局;

(b)PtTe2中的Irf流动会生成包括面内和面外分量的SOT,并驱动Py的磁化沿长轴方向有效进入;

(c-d)PtTe2/Py堆的截面HAADF-STEM图像,以及矩形区域被放大重叠的原子模型显示Pt和Te原子形成高质量的PtTe2晶格。

图四、PtTe2/Py堆叠的ST-FMR结果
(a)Vmix对PtTe2(5)/Py(10)的频率依赖性;

(b-c)PtTe2(5)/Py(2.5)和PtTe2(5)/Py(10)的典型Vmix和相应的洛伦兹拟合;

(d-f)从洛伦兹拟合中提取VS、VA和Hr进行绘图。

图五、比较PtTe2/Py和Pt/Py的ξSOT
(a)PtTe2/Py和Pt/Py的1/ξSOT versus 1/tPy,以及相应的线性拟合;

(b)ξSOT的厚度依赖性和自旋霍尔电导率σs

图六、PtTe2的SOT电流诱导的CoTb层切换
(a)PtTe2/Au/CoTb堆叠和由PtTe2中大多数电流产生的SOT示意图;

(b)PtTe2/Au/CoTb叠层的AHE,分别沿x轴和z轴扫描外部磁场;

(c)在不同的平面场强Hx下,通过SOT从PtTe2转换CoTb;

(d)PtTe2/Au/CoTb异质结构的开关相图,其中Ic是临界开关电流。

【总结】

综上所述,作者证明了能以可制造的方式合成具有高电导率和强自旋轨道耦合的均质且高质量PtTe2薄膜。根据ST-FMR测量,在PtTe2/Py双层中建立了由类似阻尼转矩控制的大量SOT,其中PtTe2的TSS可能起重要作用。表明PtTe2是低功率SOT器件和与电荷自旋互转换有关的其他应用的引人注目的材料。为了与现代自旋电子技术兼容,需要将生长的PtTe2样品从CVD炉中转移到溅射系统中,而无需暴露在空气中,以进一步提高设备性能。总之,该工作提出了一种可行的策略来研究自旋电子学的潜在TMD材料。

文献链接:High Spin Hall Conductivity in Large-Area Type-II Dirac Semimetal PtTe2Adv. Mater., 2020, DOI: 10.1002/adma.202000513)

本文由CQR编译。

欢迎大家到材料人宣传HTH官网地址 成果并对文献进行深入解读,投稿邮箱tougao@cailiaoren.com.

投稿以及内容合作可加编辑微信:cailiaorenvip.

未经允许不得转载:材料牛 » Adv. Mater.报道:可大面积制备的II-型Dirac半金属PtTe2具有高自旋霍尔电导率

相关文章

Baidu
map