引 言
有毒有害气体不仅污染环境,同时对人身体产生极大的危害,非侵入式、实时连续的低浓度、高灵敏度的气体监测,近年来成为可穿戴健康领域的研究重点。另一方面,二维气体传感材料的制备通常比较复杂,批量生产困难,同时需要配置额外的加热器,加速气体的吸附和脱附,增加了耗能和成本,制约了实时长期气体监测的应用与发展。因此,研究如何实现低成本、大面积、环境友好、低功耗、结构简单的高性能气体传感平台的制备至关重要。
成果简介
近日,河北工业大学杨丽副研究员与宾州州立大学程寰宇(Huanyu Cheng)助理教授,利用激光直写技术,成功研制出具有自加热功能的激光诱导石墨烯柔性气体传感平台。该技术使用激光图案化的类似石墨烯的高度多孔纳米材料作为电极,以较具代表性的纳米材料(还原氧化石墨烯、二硫化钼或者两者的组合;氧化锌和氧化铜组成的金属氧化物复合材料)作为气体敏感材料,监测气体、生物分子和化学物质。该平台由多个传感器阵列组成,每个传感单元由LIG细线传感区域和Ag/LIG的蛇形连接区域组成。在连接区域创建银涂层的蛇形线条,通过向银涂层施加电流,气体感应区域由于电阻的逐渐增大而局部加热,从而实现自加热功能,替代了大多数可穿戴传感器的插指电极和额外的加热器,显著降低了加工的复杂度和设备能耗。此外,蛇形线条的设计可以使传感器像弹簧一样拉伸,以适应身体的不同弯曲变化,实现了可穿戴性。该平台在自加热升温条件下,可以实现对NO2气体的高选择性、超低浓度的快速响应和恢复,检测限可以达到1.2ppb。该成果以题为“Novel gas sensing platform based on a stretchable laser-induced graphene pattern with self-heating capabilities” 最近发表在《Journal of Materials Chemistry A》期刊上,并作为back cover 进行highlight 发表。
图文导读
Figure 1. 可穿戴气体传感平台加工过程及可穿戴性示意图

(a) 基于激光诱导石墨烯的气体传感平台加工示意图
(b) 气体传感平台的可穿戴性示意图
Figure 2. LIG及气体传感材料形貌和微观结构

(a)LIG SEM图
(b)LIG 拉曼图
(c)rGO/MoS2“大花瓣”结构SEM图
(d)rGO/MoS2“小花瓣”结构SEM图
(e) -(f) “大花瓣”结构和“小花瓣”结构与LIG的纳米复合结构SEM图
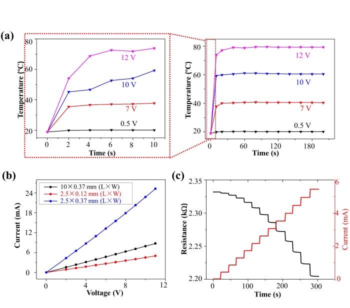
Figure 3. LIG电极自加热性能

(a)不同输入电压下传感器自加热温度曲线
(b)不同尺寸的LIG电极I-V曲线
(c)电阻和电流随时间的变化曲线
Figure 4. 不同温度和宽度下的气体传感性能曲线

(a)自加热到60°C时,“大花瓣”与“小花瓣”结构典型的气体响应曲线
(b)“小花瓣”结构下,传感器不同线宽的气体响应曲线
(c)“大花瓣”结构的不同温度下气体响应曲线
(d)“小花瓣”结构的不同温度下气体响应曲线
Figure 5. 气体传感器的(a)动态特性;(b)重复性;(c)-(d)检测限;(e)选择性;(f)拉伸性能

总 结
该智能传感平台对现有的可穿戴传感器进行了改良,添加了增强灵敏度的自加热机制,可实现气体的快速恢复和重复使用,其它同类型设计则需要单独的加热器。同时,相较与其它可穿戴传感器需要在无尘环境中光刻加工,成本高昂且耗时长,该传感平台仅需在机械车间中常见的二氧化碳激光器即可以实现批量制造。该平台在显示超低浓度、高灵敏度、可拉伸的同时,兼具低成本、大规模制备等优势,可用于监测人体气体生物标志物以及可能对肺部造成损伤的环境污染物,或将很快投入商用,开拓了基于激光诱导石墨烯的可穿戴电子器件在气体传感领域的广阔应用。
文献链接:https://pubsrsc.xilesou.top/en/content/articlelanding/2020/ta/c9ta07855j/unauth,Journal of Materials Chemistry A, 2020, DOI: 10.1039/C9TA07855J.
投稿邮箱tougao@cailiaoren.com
投稿以及内容合作可加微信cailiaorenvip





