诺奖得主“足够好”老爷爷新作Adv. Energy Mater.:石墨壳包覆的金属电催化剂用于碱性溶液中析氧、析氢和氧还原
【引言】
开发高效、经济、环保的电催化剂,用于氧释放反应(OER)、氧还原反应(ORR)和氢释放反应(HER)是可持续和清洁能源技术(包括金属-空气电池和燃料电池)的发展方向。目前纳米材料在该领域取得巨大的进展,然而纳米结构需要昂贵的前体材料,而这些前体材料可能难以达到工业标准。此外,在相同的实验条件下合成的包埋在石墨壳中的三维过渡金属氧化物(3d-TMs),其电催化活性和OER、ORR的研究还没有被系统报道。
【研究进展】
近日,锂离子电池之父John B. Goodenough先生在Adv. Energy Mater.上发表了关于石墨壳包覆的金属电催化剂的最新进展,论文题目为“Graphitic-Shell Encapsulation of Metal Electrocatalysts for Oxygen Evolution, Oxygen Reduction, and Hydrogen Evolution in Alkaline Solution”。该研究报道了一系列单金属铁、钴、镍纳米颗粒及其二元和三元合金在碱性介质中对OER、ORR和HER的电催化活性的筛选。这些化合物通过两步溶胶-凝胶和碳热还原过程合成。各种原位表征表明,在剧烈的电化学活化下,部分石墨壳发生电化学剥落,剩余石墨烯层的改性电子性质防止了它们的剥落,保护了大部分金属芯,并参与了电催化。所制备的样品中的近表面、较高氧化态金属的量随着电化学循环而增加,表明一些金属纳米颗粒没有充分地包裹在石墨壳内。这样的表面氧化物物种为电催化活性提供第二活性位点。Ni-Fe二元系对OER最有效,Co-Fe二元系则对ORR和HER的效果最好。
【图文简介】
图1 石墨封装3d-TMs及其合金材料的XRD,TEM表征

图2 性能测试

a-c)a)电化学OER活性和b,c)初始7个石墨封装的3d TM及其合金在10 mV s-1扫描的1 M KOH溶液中的相应Tafel曲线;
d)G-Ni0.5Fe0.5和IrO2/C在1 M KOH溶液中的电化学OER活性;
e-g)e)X射线衍射图和f,g)g-NixFe1-x(0.1≤x≤0.9)系列的电化学OER活性(在10 mV s-1下);
h)在电流密度为10 mA cm-2下对g-Ni0.5F0.5进行10 h的恒电流稳定性测量。
图3

a)初始7个石墨封装的3d-TMs及其合金在10 mV s-1下的氧饱和(实线)或氩饱和(虚线)0.1 M KOH溶液中的电化学ORR活性;
b)X射线衍射图和c)G-CoxFe1-X(0.1≤X≤0.9)系列的电化学ORR活性(在10 mvs-1下扫描)
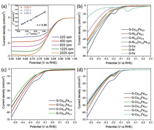
图4

a)G-Co0.6Fe0.4样品在氧气饱和的0.1M KOH溶液中的旋转圆盘电压图,在5mV s-1下扫描(插图:不同电位下对应的Kouteck-Levich图);
b)初始7个石墨封装的3d TM及其合金在0.1M KOH溶液中的电化学HER活性(在10mV s-1下扫描);
c,d)G-CoxFe1-x(0.1≤x≤0.9)系列的电化学HER活性(在10 mV s-1下扫描)。
图5

a)分别在进行CVA-OER和CVA-ORR之前和之后,对G-Ni0.5Fe0.5和G-Co0.6Fe0.4样品进行原位X射线衍射;
b-d)循环G-Ni0.5Fe0.5和e-g)循环G-Co0.6Fe0.4样品的透射电镜显微照片。
图6

a,c)原始和b,d)循环G-Ni0.5Fe0.5和G-Co0.6Fe0.4样品的拉曼光谱。原始和循环g-Ni0.5Fe0.5和g-Co0.6Fe0.4样品的e,h)Fe 2p,f)Ni2p和g)Co2p峰的XPS光谱。
【小结】
研究者在相同条件下合成了石墨碳壳包裹Ni、Co和Fe 3d TM及其合金,并对其析氧、氧还原和析氢反应的催化活性进行了表征。研究表明,Ni-Fe体系对OER的催化性能最好,G-Ni0.5Fe0.5组分的过电位最低,催化活性最高。Co-Fe体系对ORR和HER的催化性能最好,G-Co0.6Fe0.4的催化活性和起始电位最低。原位X射线衍射分析表明,经催化反应后,材料的本体结构没有变化。原位高分辨透射电镜显示,电化学剥落后,样品由厚石墨层转变为少量石墨烯层。碳形态的这种变化得到了原位拉曼光谱数据以及实验观察到的自由漂浮石墨烯片和反应过程中电解质溶液的轻微颜色变化的支持。X射线光电子能谱显示,在所制备的样品中,存在较高的氧化态的过渡金属,在循环样品表面略有增加,这可能是由于某些金属纳米粒子的电解质暴露在石墨碳基体中未充分封装造成的。
这一系列的数据和观察结果进一步证实了碳的电子性质可以随着碳中分散的金属纳米粒子的显著密度而改变。然而,在电化学反应之前和之后形成的表面金属氧化物/氢氧化物的协同电催化作用在这项工作中也被作为重点研究。
本研究所采用的简单溶胶-凝胶合成方法,证明了这些催化剂可用于工业用途,提供了一种易于扩展的方法。该体系的可调谐性为研究双功能析氧/氧还原催化剂提供了一条有吸引力的途径,因为本研究中测试的所有材料在两种反应中都是活性的。通过进一步调整G-Ni1/3Co1/3Fe1/3合金中的比例,可以获得一种对金属-空气电池具有良好电催化效率的双功能电催化剂。
文献链接: Graphitic-Shell Encapsulation of Metal Electrocatalysts for Oxygen Evolution, Oxygen Reduction, and Hydrogen Evolution in Alkaline Solution. 2019, Adv. Energy Mater. DOI: 10.1002/aenm.201903215.





