当前位置: 材料牛 » HTH官网地址 » 导读 » 德克萨斯大学奥斯汀分校余桂华团队ACS Nano:铑-铱合金纳米颗粒作为酸性氧析出高活性催化剂的合理设计

德克萨斯大学奥斯汀分校余桂华团队ACS Nano:铑-铱合金纳米颗粒作为酸性氧析出高活性催化剂的合理设计

【引言】

可充电金属-空气电池和电解水等储能和转换装置需要开发高活性和耐用电催化剂。因为在这些体系中,阳极半反应即为氧析出反应(OER),该反应机制涉及多个电子转移过程,动力学缓慢,与阴极反应(析氢反应,HER)相比,需要较大的外加过电位。尽管在中性和碱性电解质中运行的OER催化剂的设计方面已取得了重大进展,但能够耐受酸性电解质的高效、稳定的OER电催化剂仍然是一个亟待解决的挑战。迄今为止,Ir基材料被认为是酸性介质中最先进的OER催化剂,但是Ir的低储量是其广泛应用的主要限制。因此,需要仔细选择合成方法以鉴定具有增强OER性能的Ir基催化剂。

【成果简介】

近日,在美国德克萨斯大学奥斯汀分校余桂华教授、Graeme HenkelmanSimon M. Humphrey教授团队(共同通讯作者)带领下,展示了使用可扩展的微波辅助方法制备10 nm以下、成分可控的Rh-Ir合金纳米颗粒(NPs)。OER活性表现出对Ir组成呈火山状相关,富Ir的合金NPs(Ir≥51%)比纯Ir NPs具有更好的OER性能,表现为过电位更低,质量活性更高的催化活性。最重要的是,Rh22Ir78 NPs在0.5 M H2SO4中的300 mV过电位下的最大质量活性为1.17 A mg-1Ir,相对于纯Ir NPs而言提高了3倍,使其成为酸性条件下报道的最活跃的OER催化剂之一。密度泛函理论计算表明,由于少量Rh与Ir合金化而产生的协同作用和电子效应,减小了O和OOH中间产物的结合能差,导致动力学加快,OER活性增强。此外,Rh-Ir合金NPs在强酸性电解液中表现出优异的耐久性。本工作不仅为催化剂组分-电化学性能关系的研究提供了基本见解,而且为酸性介质中高效OER电催化剂的合理设计提供了依据。相关成果以题为Rational Design of Rhodium–Iridium Alloy Nanoparticles as Highly Active Catalysts for Acidic Oxygen Evolution发表在了ACS Nano上。

【图文导读】

图1 RhxIr(100-x) NPs的物理性能表征

(A)Vulcan XC-72R碳上负载RhxIr(100-x) NPs作为酸性介质OER催化剂的示意图。

(B)不同组成的Ir NPs,Rh NPs和RhxIr(100-x) NPs的PXRD图。

(C)RhxIr(100-x) NPs的Ir 4f区域的XPS光谱。

(D)RhxIr(100-x) NPs的Rh 3d区域的XPS光谱。

(E)Rh49Ir51 NPs的TEM图像。比例尺:20 nm。 插图:尺寸分布直方图和HRTEM图像,显示(111)平面的晶格条纹;插入图比例尺:5 nm。

(F)不同组成RhxIr(100-x) NPs平均粒径与Rh组成的关系。

图2 Rh49Ir51 NPs的HAADF-STEM图以及合成过程研究

(A)两个Rh49Ir51 NPs的HAADF-STEM图像和相应的EDS元素分布,显示了Rh、Ir和叠加信号;比例尺:5 nm。

(B)两个Rh49Ir51 NPs的EDS线扫描图。

(C)还原的金属前驱体百分比和Rh–Ir NP中间体的组成随合成时间的变化。

(D)Rh–Ir NP中间体的粒径与合成时间的关系。插图:NP形成过程的示意图; 蓝球和灰球分别代表Ir和Rh原子。

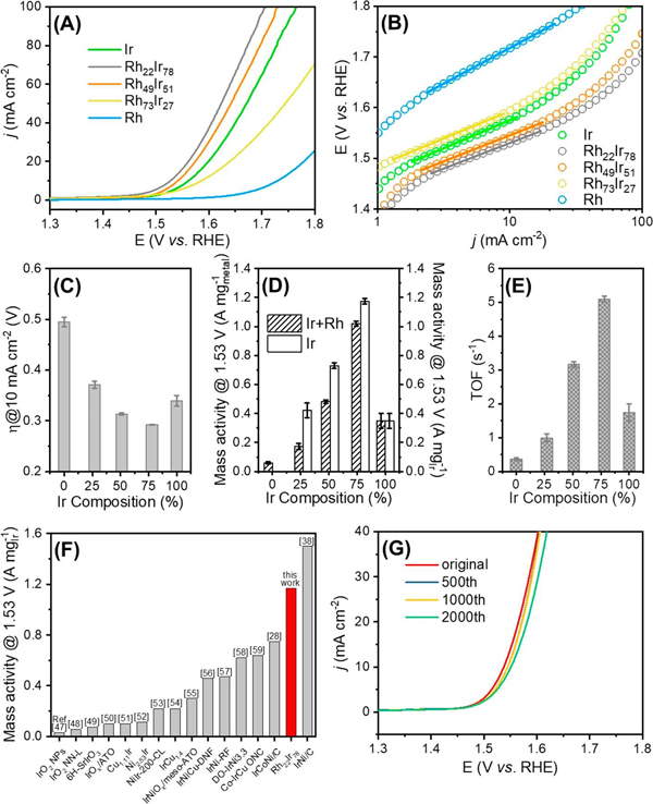
图3 RhxIr(100-x)/VXC在酸性介质中的电化学性能测试

(A)在0.5 M H2SO4水溶液中不同组成的Ir/VXC,Rh/VXC和RhxIr(100-x)/VXC的经IR校正后的OER极化曲线。

(B)电催化剂的Tafel图。

(C)条形图显示了Ir/VXC,Rh/VXC和RhxIr(100-x)/VXC达到10 mA cm-2的电流密度所需的过电位。

(D)不同组成的催化剂在1.53 V vs RHE下的质量活性。

质量活性分别由Ir和总金属含量标准化。

(E)不同催化剂在1.53 V vs RHE的ECSA归一化的TOF。

(F)在酸性介质中,具有代表性的Ir基OER催化剂在1.53 V vs. RHE的质量活性比较。 

(G)500、1000和2000个OER循环后,Rh22Ir78/VXC的IR校正的OER极化曲线。

4 OER催化剂的DFT计算

(A)计算Rh(111)、Ir(111)和RhxIr(1-x)(111)上的氧析出反应的自由能途径(x = 0.25和0.50)。

(B)研究表面的O与OH结合能。

(C)表面上反应吸附物的构型;绿色= Rh,蓝色= Ir,红色= O,白色=H。

小结

简言之,团队报告了在酸性条件下制备10 nm以下Rh-Ir纳米颗粒作为高效OER催化剂的合成策略。得益于微波辅助合成的优点,RhxIr(100-x) NPs可以在较宽的合成范围内快速简便地制备,得到具有均匀合金结构和可调组成的Rh-Ir纳米粒子。NPs在Vulcan碳上沉积后显示出极好的稳定性,为电化学OER研究提供了理想的模型材料。结合实验和理论研究表明,通过将22%Rh掺入Ir中可以获得O和OOH中间体的较小结合能隙,导致OER性能显著增强,这反映在10 mA cm–2的电流密度时过电位相较纯Ir NPs降低48 mV, 以及质量活性是纯Ir NPs催化剂的3倍。在2000次循环后,没有观察到OER活性的明显降低,这表明碳负载的Rh-Ir合金NPs在酸性电解质中是高度稳定的。本工作为未开发的Rh-Ir合金NPs体系的深入研究提供了基础,也为催化剂组分-电催化性能关系的研究提供了基本理解。

鸣谢

德克萨斯大学奥斯汀分校的余桂华教授、Graeme Henkelman和Simon M. Humphrey为本文的共同通讯作者。博士生郭宏宇和方志伟为文章的共同第一作者。博士生李昊对OER催化过程的DFT理论计算给予了帮助。该工作获得了NSF,Welch,DOE等基金的支持。余桂华教授研究团队的研究重点是新型功能化纳米材料的合理设计和合成,对其化学和物理性质的表征和探索,以及推广其在能源,环境和生命科学领域展现重要的技术应用。相关成果已在Science, Nature, Nat. Nanotechnol., Nat. Commun., Sci. Adv., PNAS, Acc. Chem. Res., Chem. Soc. Rev.等知名期刊发表。Simon M. Humphrey团队致力于利用微波辅助方法合成铑、钯、铱及其多元合金纳米颗粒,以及金属纳米颗粒在异相催化中的活性。相关成果发表在ACS Catal., ACS Nano, Chem. Mater.等知名期刊上。Graeme Henkelman团队致力于理论化学计算方法及相关软件开发、化学反应过渡态寻找算法、和高性能催化剂材料及锂电池的理论设计。近年来通过密度泛函理论研究金属纳米颗粒表面的催化反应以及合金效应对合金纳米颗粒催化性质的影响取得重要进展。相关成果发表在 ACS Catal., J. Mater. Chem. A, J. Chem. Phys., Nat. Rev. Mater.等知名期刊上。

文献链接:Rational Design of Rhodium–Iridium Alloy Nanoparticles as Highly Active Catalysts for Acidic Oxygen Evolution(ACS Nano, 2019, DOI:10.1021/acsnano.9b06244)

【近期相关文献推荐】

Fang & Yu, et al. “Dual Tuning of Ni-Co-A Nanosheets by Anion Substitution and Holey Engineering for Efficient Hydrogen Evolution“, J. Am. Chem. Soc. 140, 5241 (2018).

Zhu & Yu, et al. “Structural Engineering of 2D Materials for Energy Storage and Catalysis“, Adv. Mater. 30, 1706347 (2018). 

Fang & Yu, et al. “Metallic Transition Metal Selenide Holey Nanosheets for Efficient Oxygen Evolution“, ACS Nano 11, 9550 (2017).

Li & Yu, et al. “Probing Enhanced Site Activity of Co-Fe Bimetallic Sub-Nanoclusters Derived from Dual Cross-Linked Hydrogels for Oxygen Electrocatalysis“, ACS Energy Lett. 4, 1793 (2019).

Guo & Humphrey, et al. “Microwave-Assisted Synthesis of Classically Immiscible Ag–Ir Alloy Nanoparticle Catalysts“, ACS Catal. 8, 11386 (2018). 

Guo & Humphrey, et al. “Microwave Synthesis of Classically Immiscible Rhodium-Silver and Rhodium-Gold Alloy Nanoparticles: Highly Active Hydrogenation Catalysts“, ACS Nano 8, 11512 (2014). 

Li & Henkelman, et al. “Design of a Pd−Au Nitrite Reduction Catalyst by Identifying and Optimizing Active Ensembles“, ACS Catal. 9, 7957 (2019).

Li & Henkelman, et al. “Selectivity for Ethanol Partial Oxidation: the Unique Chemistry of Single-Atom Alloy Catalysts on Au, Ag, and Cu(111)“, J. Mater. Chem. A 7, 23868 (2019).

Li & Henkelman, et al. “Effects of Ensembles, Ligand, and Strain on Adsorbate BInding to Alloy Surfaces“, J. Chem. Phys., 9, 4516 (2019).

本文由木文韬翻译,材料牛整理编辑。

欢迎大家到材料人宣传HTH官网地址 成果并对文献进行深入解读,投稿邮箱tougao@cailiaoren.com。

未经允许不得转载:材料牛 » 德克萨斯大学奥斯汀分校余桂华团队ACS Nano:铑-铱合金纳米颗粒作为酸性氧析出高活性催化剂的合理设计

相关文章

Baidu
map