【研究背景】
通过引入高密度的异构域界面,异构金属和合金具有克服强度-延性倒置的潜力。这些区域界面不同于传统均匀材料的晶界和双晶界。根据微观力学中的应变梯度塑性理论,为适应塑性应变梯度,需要几何必要位错(GNDs)的叠加。这些GNDs除了因位错总密度增加而引起的各向同性强化外,还将产生背应力强化和硬化。最近人们认识到,背应力强化和硬化的术语不能准确地描述界面上发生的实际物理现象,因为GND堆积不仅在软域产生背应力,而且在硬域也产生正向应力。因此机械试验测得的背应力被重新命名为异质变形诱导应力(HDI),以准确描述异质结构材料的附加应变硬化。
在梯度塑性理论中假设GND密度和梯度与界面附近的应变梯度定量相关。测量应变梯度并在域界面附近发现界面影响区(IAZ)。这些早期的工作使人们相信HDI硬化随着应变梯度而增加,并且它们之间存在定量关系。然而,最近的原位透射电子显微镜(TEM)检查显示,Frank-Read源和位错堆积在拉伸试验期间动态形成并消失,这表明GND密度和梯度可能与应变梯度并无定量关系。为了澄清这个问题,必须比较界面周围的应变梯度和相关的HDI应力的发展。
【成果简介】
近日,四川大学黄崇湘教授联合美国北卡罗莱那州立大学朱运田教授将微尺度数字图像相关(μ-DIC)用于表征拉伸试验期间界面受影响区(IAZ)中应变梯度的演变,将结果与HDI硬化的演变进行了比较,HDI硬化是通过卸载-再加载方法测量的。比较显示,HDI硬化与IAZ中的应变梯度增加不具有线性关系。这是因为一些GND堆积可能被界面吸收,因此随着应变梯度的增加不会线性增加HDI硬化。跨界面的更高应变不相容性产生更高的应变梯度。异构界面的强化效应主要源于HDI应力的发展。该成果近日以题为“Hetero-deformation induced (HDI) hardening does not increase linearly with strain gradient”发表在知名期刊Scripta Materialia上。
【图文导读】
图一:制备材料的μ-DIC应变测量

(a)三种类型层压板的硬度分布。
(b)-εx应变在约10%的拉伸应变下图案:CG/NS10Zn,(c)CG/NS30Zn和(d)CG/CG。在坐标中,Y是拉伸方向,X是垂直于界面的样品厚度方向。(e)统计平均应变εx的分布与距右界面的距离的关系。
图二:应力随施加应力的变化

(a)CG/NS10Zn层压板中应变εx随施加应变εy的统计变化。
(b)平均值|dεx/dx|随着应变变化,IAZ几乎呈线性增加。
图三:由IAZ的单位体积分数推导出HDI应力

(a)具有不同层厚度的CG/NS10Zn层压板的LUR曲线,即具有不同体积分数IAZ(VIAZ)的CG/NS10Zn样品。
(b)层压板的总σHDI。
(c)作为VIAZ函数的总σHDI的线性拟合,显示在某一应变下σHDI,IAZ的推导。
(d)施加应变的σHDI,IAZ的演变。
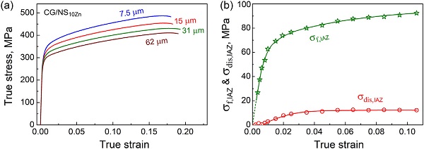
图四:CG/NS10Zn的实际应力–应变

(a)CG/NS10Zn层压板的单轴拉伸响应。
(b)从IAZ的每单位体积分数发展的总强化效应(σf,IAZ)和位错强化(σdis,IAZ)。
【全文小结】
综上所述,作者发现机械不相容性诱导IAZ的形成,其中负应变梯度在垂直于界面的方向上发展。IAZ中应变梯度的强度随施加的应变线性增加,而IAZ中GND堆积产生的HDI应力在早期应变阶段迅速增加,然后减慢到近似饱和。这是由于在应变过程中界面附近的位错堆积的动态形成和消失,并表明它们之间没有定量关系。重要的是,异构界面的应变梯度相关强化效应主要源于HDI应力的发展,而不是总位错密度的增加。这项工作揭示了通过构建异构界面来增强异形变诱导硬化的可能性。
文献链接:Hetero-deformation induced (HDI) hardening does not increase linearly with strain gradient (Scripta Materialia, 2020, 174, 19-23)
本文由大兵哥供稿。
欢迎大家到材料人宣传HTH官网地址 成果并对文献进行深入解读,投稿邮箱:tougao@cailiaoren.com。
投稿以及内容合作可加编辑微信:cailiaokefu





