当前位置: 材料牛 » HTH官网地址 » 导读 » 深圳大学Nano Energy:基于溅射后硒化法制备高效率Sb2Se3薄膜太阳电池

深圳大学Nano Energy:基于溅射后硒化法制备高效率Sb2Se3薄膜太阳电池

前言:

近年来,新型环境友好型Sb2Se3材料由于物相单一,光学带隙可调以及较高的光吸收系数,介电常数和载流子迁移率等优点,在硫系锑基薄膜太阳电池领域得到广泛关注和研究。目前,硒化锑(Sb2Se3)薄膜太阳电池最高光电转换效率已提升至9.2%,其中最关键的光吸收层Sb2Se3薄膜制备主要采用热蒸发(包括CSS、VTD和RTE)结合原位衬底温度控制析晶的工艺来实现。而关于溅射法制备Sb2Se3薄膜的报道较少,本文提出采用与CIGS基太阳电池生产工艺兼容性较高的磁控溅射技术并结合后硒化法制备Sb2Se3薄膜材料同样非常有优势,此方法利用高能离子溅射获得高质量Sb2Se3非晶薄膜并结合可控性更高的后硒化有效析晶技术,制备出高结晶度且定向生长的Sb2Se3薄膜,首次获得基于溅射后硒化法制备出最高光电转换效率为6.06%的Sb2Se3薄膜太阳电池,相关研究成果发表在国际能源领域顶级期刊Nano Energy(影响因子15.548)上。深圳大学范平教授课题组梁广兴博士(副研究员)为该文通讯作者,唐戎博士后、郑壮豪副研究员和苏正华副研究员为该文共同第一作者。

成果简介:

研究人员首先采用等离子体烧结制备成分可控的Sb2Se3溅射靶材,通过调整射频磁控溅射宏观参数,制备出成分分布均匀且附着力较高的Sb2Se3(贫Se)非晶薄膜,然后在双温区炉子里进行后硒化热处理(Se粉作为固态Se源),Sb2Se3薄膜在Se气氛下进行有效热处理析晶,吸收层Sb2Se3薄膜呈现高结晶度且成分接近化学计量比,不会出现原位热处理成分易偏析问题,有效减少硒空位(深能级缺陷)的产生,降低器件中的复合损耗,有利于提高太阳电池的光电转换效率;最后制备出底衬结构Mo/Sb2Se3/CdS/ITO/Ag平面异质结太阳电池,首次获得基于溅射后硒化法制备的Sb2Se3薄膜太阳电池最高光电转换效率为6.06%,同时开路电压增加到494 mV(目前纯Sb2Se3薄膜太阳电池最高开路电压值);此外,将无封装的全无机Sb2Se3薄膜太阳电池存放于空气中,1000小时内仍能保证90%的初始光电转换效率,显示了良好的稳定性。

图文导读:

图1 Sb2Se3薄膜太阳电池制备流程

图2 Sb2Se3薄膜的微结构

a 硒化温度为340 °C, b 380 °C, d 420 °C, e 460 °C 表面形貌; c XRD, f 器件剖面形貌

图3 Sb2Se3薄膜太阳电池性能  

a 器件材料能级位置图,b I-V曲线,c EQE,d 器件稳定性 

图4 太阳电池TEM剖面情况

a 电池剖面TEM形貌,b,c,d 不同径向深度Sb2Se3晶格常数和生长取向情况,e 电池径向成分,f 电池剖面成分面分布

图5 Sb2Se3/CdS 界面生长情况

图6 Sb2Se3/CdS界面缺陷表征

a 变温Voc,b CV和DLCP,c C-2-V

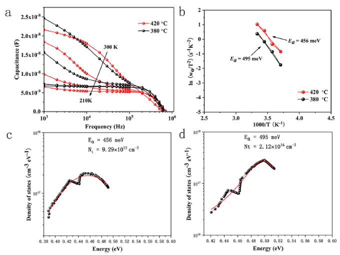
图7 变温导纳谱分析

a C-F-T,b 缺陷激活能,c 计算缺陷密度 (420 °C),d计算缺陷密度(380 °C)

通讯作者简介:

梁广兴,男,法国雷恩第一大学博士,现任深圳大学物理与光电工程学院特聘副研究员,硕士生导师,博士生导师(留学生),深圳市海外高层次人才(孔雀),深圳市南山区领航人才,深圳大学荔园优青;荣获2018年广东省自然科学二等奖;一直从事新型太阳电池材料与器件方面研究,已在国内外主要专业学术期刊上发表SCI收录论文120余篇;获得美国和日本等国家授权发明专利7项,国内发明专利授权12项;担任国际知名SCI期刊Advances in Materials Science and Engineering学术编辑。

基金支持:

该工作得到了广东省教育厅重大科研项目(No. 2018KZDXM059), 国家自然科学基金(No. 61404086, U1813207 和11574217)、深圳市先进薄膜与应用重点实验室项目(ZDSYS 20170228105421966)和深圳市HTH官网地址 计划基础研究项目(JCYJ20180305124340951)等项目的大力支持。

论文信息:

Rong Tang#,Zhuang-Hao Zheng#,Zheng-Hua Su#,Xue-Jin Li,Ya-Dong Wei, Xiang-Hua Zhang,Yong-Qing Fu,Jing-Ting Luo,Ping Fan,Guang-Xing Liang*, Highly efficient and stable planar heterojunction solar cell based on sputtered and post-selenized Sb2Se3 thin film, Nano Energy. 64 (2019) 103929.

文献链接:

https://doi.org/10.1016/j.nanoen.2019.103929

本文由深圳市先进薄膜与应用重点实验室供稿。

欢迎大家到材料人宣传HTH官网地址 成果并对文献进行深入解读,投稿邮箱: tougao@cailiaoren.com.

投稿以及内容合作可加编辑微信:cailiaorenVIP.

未经允许不得转载:材料牛 » 深圳大学Nano Energy:基于溅射后硒化法制备高效率Sb2Se3薄膜太阳电池

相关文章

Baidu
map