【引言】
可溶液法加工纳米晶太阳电池由于具有制备工艺简单、原材料使用少、可发展为“卷对卷”印刷制备工艺、不需要特殊的提纯或者蒸镀工艺,减少环境污染,大大降低电池的制备成本;保留了传统无机材料的特性,器件稳定性好,长期工作几乎无老化失效问题;材料稳定性好,可采用聚光技术产生更多激子,从而提高单结器件的能量转化效率。因此,溶液全无机纳米晶电池是目前非常有前途的能源利用技术。现阶段报导的通过界面修饰、制备工艺优化、受体层调控等提升了碲化镉纳米晶太阳电池的性能,但与有机太阳电池相比,效率仍然不高(大约8%)。研究表明,选择适合的电子受体层使之与碲化镉纳米晶层匹配以及改善碲化镉的背接触是实现高效率的关键。
【成果简介】
近期,华南理工大学的覃东欢副研究员与暨南大学侯林涛研究员等人组成的研究团队,在纳米晶电池双界面技术调控方面取得突破性进展,该研究论文发表在国际材料物理领域权威期刊《Advanced Functional Materials》( https://onlinelibrary.wiley.com/doi/full/10.1002/adfm.201904018 )(影响因子15.621)上,题为: “Interface engineering for both cathode and anode enables low-cost highly efficient solution-processed CdTe nanocrystal solar cells”。硕士生容志滔为该论文的第一作者。
论文首次采用溶液法双界面修饰方法,将CdS/CdSe双电子传输层(ETL)和poly(diphenylsilane-co-4-vinyl-triphenylamine)(P-TPA)热交联聚合物空穴传输层(HTL),同时用于调节优化CdTe纳米晶太阳能电池电学/光学特性。与单ETL层CdS或单ETL层CdSe器件相比,双ETLs层CdS/CdSe器件有更优异的光伏性能,这主要归因于阴极界面处载流子复合和电子注入势垒的减小以及光收集效率的改善;与没有HTL层器件相比,P-TPA HTL器件有更优异的开路电压(Voc)和短路电流(Jsc),这主要归因于P-TPA的偶极子效应使得与CdTe能级更加匹配,有效减少了阳极界面复合,提高了载流子收集效率。通过阴极和阳极双界面优化,全溶液法纳米晶CdTe电池(ITO/ZnO/CdS /CdSe/CdTe/P-TPA/Au)效率(PCE)达到了9.2%,这是目前溶液法制备倒置结构CdTe 纳米晶太阳能电池的最高纪录。这项研究工作表明,采用无机或有机新型界面材料,同时用于阴极和阳极界面工程,是未来进一步提高CdTe纳米晶太阳能电池性能非常有效的一种策略和方法。
【图文导读】
图1. CdTe太阳能电池器件制备

图2. P-TPA性能表征

(a) P-TPA在乙腈溶液中的循环伏安曲线。
(b) P-TPA在氯仿溶液中的紫外 – 可见吸收光谱。
(c) P-TPA的热交联化学稳定性曲线。
图3. CdTe器件截面TEM表征

(a) CdTe NC太阳能电池截面BF-TEM(器件结构:ITO/ZnO/CdS/CdSe/CdTe/P-TPA/Au);
(b) CdS层的HRTEM图像;
(c) 在CdS/CdSe界面处形成的CdSxSe1-x合金HRTEM图像;
(d) CdSexTe1-x合金HRTEM图像。
图4. CdTe器件截面元素分析

(a) CdTe器件截面HAADF-STEM图像;
(b) EDS表征(器件中Zn,S,Se,Te,Cd,P和Au元素的分布)。
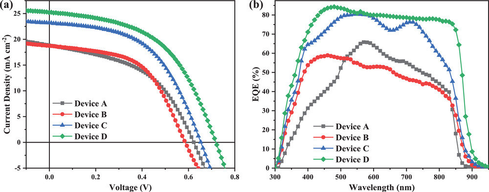
图5. CdTe 太阳能电池J–V和EQE特性

(a) 四种结构的CdTe纳米晶太阳能电池J-V曲线;
(b) 相应的EQE光谱。
图6. 器件机理分析

(a) 不同结构器件Mott-Schottky C-V曲线;
(b) 瞬态光电压(TPV)曲线;
(c) SCLC曲线(器件结构:ITO/CdTe(200nm)/P-TPA(w/o)/Au);
(d) P-TPA偶极层在CdTe/Au界面处能级影响示意图。
【小结】
总之,研究人员设计一种用于阴极和阳极界面工程的新策略,可以显著提高溶液加工CdTe太阳能电池性能。通过引入梯度电子传输层(CdS/CdSe),器件的Jsc和Voc同时得到增强,这主要归因于阴极界面处载流子复合和电子注入势垒同时减小。通过在CdTe/Au界面处引入交联P-TPA超薄层,Vbi、空穴迁移率以及载流子寿命都获得了提高,有利于空穴载流子提取。最后,具有阴极和阳极界面优化的CdTe器件获得了9.2%能量转换效率,这是目前倒置结构CdTe纳米晶太阳能电池报道的最高值。该项工作表明同时修饰阴极和阳极界面在构筑下一代高效纳米晶CdTe光伏器件方面非常有前景。
本文由华南理工大学覃东欢副研究员课题组供稿。
欢迎大家到材料人宣传HTH官网地址 成果并对文献进行深入解读,投稿邮箱: tougao@cailiaoren.com.
投稿以及内容合作可加编辑微信:cailiaorenVIP.





