【引言】
进一步提高可充电锂电池的能量密度需要全新的电池化学成分、与合适的电解质兼容的先进电极材料并且同时保证不影响整体性能和安全性(尤其是在考虑高压应用时)。通过将氟引入盐、溶剂/共溶剂或功能添加剂结构中,可以成功地实现基于传统有机碳酸酯基电解质的电池化学的显着进步。来自不同成分的益处的组合使得能够针对特定的,有针对性的应用优化电解质和电池化学。本综述旨在突出应用于质子惰性的非水溶剂型电解质的氟基材料的关键研究和技术发展,以及相关的持续科学挑战和局限性。本综述不考虑含氟离子液体电解质。
【成果简介】
近日,德国余利希研究所(Forschungszentrum Julich GmbH)的N. von Aspern(第一作者)在M. Winter和I. Cekic-Laskovic教授(共同通讯作者)的指导下,在国际顶级期刊Angew. Chem. Int. Ed.上发表了综述文章:Fluorine and Lithium: Ideal Partners for High-Performance Rechargeable Battery Electrolytes。本综述旨在系统地涵盖关键的研究和技术发展,以便在锂离子电池(LIB)中的电解质组分(导电盐、溶剂和功能添加剂)组成的液体电解质中广泛应用氟基材料,例如(SOTA)可充电储能系统、可能的未来锂金属电池(LMB)、双离子电池(DIB)以及相关的持续科学挑战。通过结合不同的上述内容的优点,可以针对特定的目标应用优化和定制电解质。本文重点将放在与电池的高质量操作相关的物理化学、电化学和安全方面。考虑到这一点,将严格审查和讨论性能特征、当前限制和最近的突破。此外,本次审查的目的是为有竞争力的制造业中锂基电池的长寿命、高能量密度、高功率和足够安全性的氟基材料的进一步和未来发展提供观点和可能的策略。
【图文导读】
图一、本文作者

图二、导电Li盐的结构式

图三、 浓缩有机碳酸酯基电解液中的活性氟含量对Li金属阳极和富Ni阴极的影响的示意图
图四、取决于溶液浓度的物理化学性质
a)各种盐 – 溶剂摩尔比的LiFSI / DMC溶液的图像。 b)在30℃下,DMC,EC和EC中的LiFSI溶液的粘度和c)离子电导率:DMC(等摩尔)。 XLiFSI摩尔分数是LiFSI盐的摩尔量除以盐和溶剂的总摩尔量。 溶液的LiFSI与溶剂的摩尔比显示在上轴上。 d)在1.0mol dm-3 LiPF6 / EC:DMC(1:1v / v)的商业稀释电解质上的火焰试验和e)1:1.1LiFSI:DMC的自制超浓缩电解质。
图五、从基于LiPF6(电池级纯度:99.99%),LiBF4(99.9%纯度)和LiBF4(99.99%电池级纯度)的电解质配方获得的SEI膜的示意图

图六、 几种电解液中Al电极行为的示意图
a)常规LiPF6基电解质中,b)具有大量游离溶剂分子的稀释LiFSI / AN电解质,和c)没有游离溶剂分子的高浓度LiFSI / AN电解质。
图七、 具有不同电解质的硅纳米颗粒的SEI的示意图
图八、 环状碳酸酯(FEC)的氟化对靠近Si阳极表面的EC分子的取向角的影响
图九、 氟取代对SEI形成和不同气态产物开发的影响
图十、 氟化环状碳酸酯对LIMBs的影响

图十一、 乙酸酯溶剂的结构式

图十二、 LCO / Li纽扣电池的放电容量相对于258C的循环次数的变化。 电解质溶液:1m LiPF6溶液,在EC:EA,EC:2FEA,EC:EFA和EC:EMC的等摩尔混合物中。 将纽扣电池以恒定电流(1C)模式充电并进一步充电以保持恒定电压(4.2V)。 总充电时间设定为1小时。 然后将纽扣电池以恒定电流(1C)放电至3.0V

图十三、氨基甲酸酯溶剂C1,FC1,C2,FC2,C3,FC3和FC4

图十四、 在不同温度下包含LiTFSI(1m)作为导电锂盐的不同电解质的离子电导率的演变
图十五、 图示了在开路电位(OCP)下吸附在a-Si上的醚的结构。

左:1,2-二乙氧基乙烷(1,2-DEE)的α-亚甲基(-O CH2-)靠近并平行于a-Si阳极表面,而其-CH3基团可自由旋转和弯曲。 右:双(2,2,2-三氟乙氧基)乙烷(BTFEOE),一种氟化醚,具有更直立的α-亚甲基(-O CH2-)和b-亚甲基(-OCH2CF3)基团 在a-Si阳极表面上具有更多的倾斜角度,因此观察到更有序的界面。
图十六、 ADN和ADN-CF3的示意图和氟化对铝溶解机理的影响
图十七、 所考虑的砜溶剂EMS,FMES,MPS,FMPS,MIS和FMIS的结构式。
图十八、EMS和MES的脱磺酰化反应和氟的影响
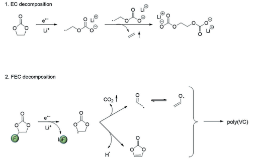
图十九、 氟对阳极表面EC和FEC分解机理的影响
图二十、 所考虑的助溶剂TEP,TFP,TFHP,TPrP,3F-TPrP,4F-TPrP和5F-TPrP的结构式
图二十一、形成TEP(未检测到),TFHP和TFP的反应途径
图二十二、循环性能

NMC /石墨细胞中30%磷酸盐混合物(三丙基磷酸酯(TPrP),三(3,3,3-三氟丙基)磷酸酯(3F-TPrP),三(2,2,3,3-四氟丙基)磷酸酯的循环行为 (4FTPrP)和三(2,2,3,3,3-五氟丙基)磷酸酯(5F-TPrP))与参比电解质在208℃下以Li作为RE进行比较。 在5个形成循环中,充电和放电过程的充电速率设定为0.1℃
图二十三、EC和FEC的分解机理及其对锂金属阳极上SEI形成和阳极表面附近锂扩散的影响

图二十四、EMC和FEMC的氧化分解和金属氟化物的形成

图二十五、氟自由基的产生和氢自由基的清除

图二十六、循环伏安图

a)0.01m BPDB和b)BPmFDB在1.2m LiPF6 EC中的循环伏安图:在Pt / Li / Li三电极系统中在各种扫描速率(mVs 1)下的EMC(3:7wt / wt)
【总结与展望】
本综述证明了氟化化合物作为可充电LIB,LMB和DIB中不可缺少的电解质组分在电化学和热稳定性、离子电导率、改进的低温和高温特性、形成有效SEI和CEI的能力方面的重要性。通过将不同的部分氟化和/或完全氟化的电解质组分的优点与非氟化的对应物相结合,可以针对特定目的优化和定制电池化学。使用代表性文献实例讨论了不同盐,溶剂/助溶剂以及功能性添加剂对非水电解质的相关物理化学和电化学特征的影响。正如在电池中用作电解质盐的锂盐所熟知的那样,阴离子的选择性氟化降低了阴离子的Li+阳离子相互作用,从而提高了盐在电解质溶液中的解离能力。此外,阴离子氟化倾向于增加阴离子在高阴极电位下的氧化稳定性。与其非氟化类似物相比,氟化溶剂显示出非常不同的物理性质,并且似乎是高压应用的合适候选物。部分氟化的有机溶剂具有比其全氟化对应物更高的极性,并且可与其他极性电解质组分混溶。因此,氟的重要性不仅在于其存在,而且在于被认为是功能性电解质组分的分子结构因子。考虑到“好电池”的所有这些要求,新型含氟导电盐、溶剂/助溶剂以及多功能功能添加剂、即过充电(关闭和可能的氧化还原梭)保护剂和SEI形成添加剂,全面地通过选择的电化学分析和光谱技术进行讨论。获得的结果清楚地有助于理解确定和控制可充电锂电池的功能、操作、性能限制和故障的基本过程的基本原理。然而,深刻理解氟原子对锂基电池化学整体性能的影响仍然需要在以下几点回答许多悬而未决的问题:氟化物的分子和电子结构之间的明确相关性;电解质组分,它们的相关物理化学性质和反应性;氟化和非氟化电解质组分之间的协同效应;锂基电池的主要操作和失效过程;不同合理反应途径的研究;限制和确定步骤的分析。对上述过程所获得的知识的深入研究和整合是锂基电池化学进步的关键。
文章链接:Fluorine and Lithium: Ideal Partners for High-Performance Rechargeable Battery Electrolytes。 (Angew. Chem. Int. Ed., DOI: 10.1002/anie.201901381)
本文由踏浪供稿。





