【引言】
通常来说,任何物体都有热胀冷缩的特性。比如用水壶烧开水时,水壶里的水不能装得太满,否则水受热后由于体积膨胀会溢出;夏天不但空气很热,就连地面也被太阳烤得火热。在阳光曝晒下的自行车,车胎里的空气受热膨胀后,不断地挤压着车胎。如果车胎里的空气打得太足,或者车胎上有薄弱的地方,那么它就会把车胎挤爆。有经验的人告诉我们,为避免夏季自行车爆胎,不要把车胎里的气打得过足,如果车胎里的气太足应放出少许,留下气体膨胀的余量。不仅自行车如此,汽车车胎也有同样的问题,所以要做好夏季车胎的保养工作。此外,还有公路、铁路、桥面等大型基建设施都需要考虑热膨胀的危害,比如留好伸缩缝隙等。当然,我们也会经常利用热膨胀,如我们常用的温度计等。
手机、电脑等电子器件的高效工作需要适宜的工作温度。不同温度下,不同元器件的热膨胀系数和热力学性质是完全不同的,进而对器件的尺寸、电子性质甚至功耗都有不同程度的影响。因此,热膨胀和热力学性质是材料/器件应用中必须考虑的重要一环。比如:在高温下材料会膨胀,产生的热应力将会极大地影响器件的性能,甚至造成器件的损坏。
【成果简介】
近日,河南HTH官网地址 大学刘钢在Physical Review B 上发表了题为“Anisotropic thermal expansion and thermodynamic properties of monolayer β-Te” 的文章。该文章是一篇关于单层碲材料的热输运相关工作,文末会给出另外两篇关于单层碲材料热输运的文献链接。基于准简谐近似方法 (quasi-harmonic approximation, QHA)的理念,文章提出了一种能够快速且精确计算各向异性材料的热膨胀性质的方法 (pressure-solving quasiharmonic approximation (PS-QHA))。该方法从本质上解决了传统的QHA方法下由于拉伸材料产生的声子虚频对热膨胀数据的巨大扰动,是对传统QHA方法的更新。该文章中计算热膨胀系数和热力学性质的方法将为Grüneisen 参数、各向异性的线性热膨胀系数、以及材料热机械性能提供更为快速且准确的数据。文章的共同第一作者是河南HTH官网地址 大学刘钢和同济大学博士生高志斌。
图1
(a)基于第一性原理计算下的各向同性的 2H-MoS2 和 2H-MoSe2 的线性热膨胀系数。图中黑线基于本文的方法,红色虚线是之前文献数据。
图2

(a)优化后的二维单层碲材料的俯视图和侧视图。(b)二维单层碲材料在不同应力下的声子色散关系。绿色代表没有应力情况,蓝色和红色代表±1%应力下的声子谱。(c)沿着xyz三个方向的声子投影态密度。
图3

二维单层碲材料沿着a轴(a图)和b轴(b图)方向的Grüneisen 参数分布。
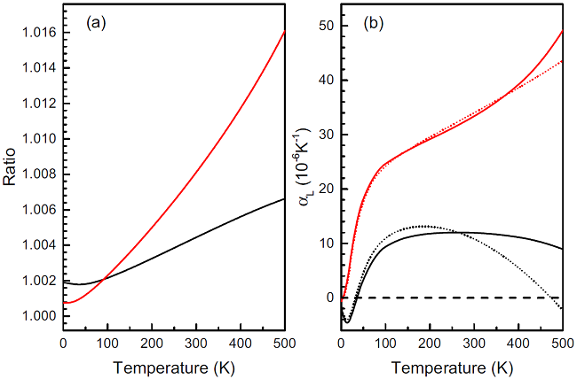
图4

(a)二维单层碲材料不同温度下的晶格常数(b)线性热膨胀系数。黑线和红线分别代表a轴和b轴。图b中的点线是基于传统QHA的数据。
图5

(a)传统QHA方法中使用的晶格常数点。蓝色的点代表出现虚频的晶格常数,红线代表了二维单层碲材料在热膨胀过程中实际经过的点。(b)不同温度下的声子色散关系。

文章链接:
1.Gang Liu, Zhibin Gao, and Jie Ren. “Anisotropic thermal expansion and thermodynamic properties of monolayer β-Te”, Phys. Rev. B 99, 195436 (2019)
2.Zhibin Gao, Fang Tao, and Jie Ren. “Unusually low thermal conductivity of atomically thin 2D tellurium”, Nanoscale, 10, 12997-13003 (2018)
3.Zhibin Gao, Gang Liu, and Jie Ren. “High Thermoelectric Performance in Two-Dimensional Tellurium: An Ab Initio Study”, ACS Appl. Mater. Interfaces,10(47), 40702–40709 (2018)
本文由河南HTH官网地址 大学刘钢团队供稿。
欢迎大家到材料人宣传HTH官网地址 成果并对文献进行深入解读,投稿邮箱: tougao@cailiaoren.com.
投稿以及内容合作可加编辑微信:cailiaorenVIP.





