【引言】
超分子化学的诞生和发展始终伴随并依赖于人工合成超分子受体分子的创新和发展,而开环超分子受体以其良好的空腔延展性,构象的多样性以及广泛的客体选择性等优势得到了超分子化学工作者们的广泛关注与报道。同时,人工合成受体的快速发展是推动超分子化学与材料领域蓬勃发展并使其走向应用的关键环节。因此,新型人工开环受体的设计与合成一直是有机超分子化学及超分子功能材料领域极具挑战的研究热点之一。
【成果简介】
近日,吉林大学化学学院、纳微构筑化学国际合作联合实验室杨英威教授课题组通过高效率一步法成功设计并合成了一种新颖的夹型开口超分子受体即分子夹,通过晶体结构分析证实了该分子夹具有良好的空腔自适应性、优异的客体选择性与键合能力,以及多样化并高度可控的分子构象。同时,该研究团队证实了该分子夹可通过重结晶等方式构筑得到一种可用于高效率碘溶液和碘蒸气吸附的非孔分子晶体材料。同时,不同的分子夹构象表现出了对碘单质不同强度的识别与结合能力,使其在溶液相中表现出了变速率客体吸附结合的新颖现象。进而,该团队基于该种变速吸附现象总结并提出了一种基于分子晶体构象多样性而引起的固液相或固气相分子间键合能力高度差异化性质体现的分子晶体变速器新概念,使其有望在能源材料、核废料处理、晶体工程和药物递送等诸多领域带来新的研究突破口。相关成果以“Semi-Rigid Molecular-Clip-Based Molecular Crystal Gearshift”为题发表在美国化学会的《ACS Applied Materials & Interfaces》杂志上,论文第一作者为该课题组在读博士研究生吴佳睿。
【图文导读】
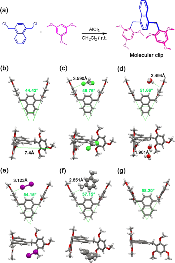
图一: 新型分子夹超分子受体的合成路线及其系列主体/主客体单晶衍射结构

(a)新型分子夹的合成路线;(b)分子夹的α构象单晶衍射结构;(c)分子夹与二氯甲烷分子的主客体单晶衍射结构;(d)分子夹与水分子的主客体单晶衍射结构;(e)分子夹与碘分子的主客体单晶衍射结构;(f)分子夹与间二甲苯分子的主客体单晶衍射结构;(g)分子夹的β构象单晶衍射结构。
图二:不同构象的晶态分子夹在碘的正己烷溶液中和碘蒸气环境下对碘单质的吸附效果对比

(a)α构象晶态分子夹,β构象晶态分子夹以及与二氯甲烷分子主客体络合的晶态分子夹在碘的正己烷溶液中对碘单质的吸附去除效果图;(b)通过紫外吸收光谱来定量绘制不同构象晶态分子夹在碘正己烷溶液中的吸附速率曲线;(c)不同构象晶态分子夹在碘蒸气环境中对碘单质的吸附效果图。
图三: 不同构象的晶态分子夹所构筑的变速碘吸附循环示意图,即文中所述的分子晶体变速器理念的直观表现

图四: 不同构象的晶态分子夹(不同速率挡位)的构筑方法,以及不同速率挡位之间的互变方法

【小结】
1.作者通过一步法高产率设计合成了一种新型的开口夹形超分子受体-分子夹,且相对于传统的夹型超分子受体,其合成方法更为简便快捷,并具有较高的合成产率。
2.该分子夹表现出了优异的空腔自适应性、广泛的客体选择性和高度可控的多重构型构象。
3.作者证明了这种分子夹在结晶状态下是一种高效率碘单质吸附材料。
4.作者通过利用不同构象的晶态分子夹材料构筑了一种变速率碘单质溶液的吸附循环过程,进而提出了一种被称之为“分子晶体变速器“的研究理念和新方向。
杨英威教授个人简介:
杨英威,吉林大学化学学院、纳微构筑化学国际合作联合实验室教授,博士生导师。2000年毕业于南开大学化学系取得学士学位,同年保送本校直攻博,师从刘育教授,并于2005年取得南开大学理学博士学位;2005年至2010年,他先后在美国Arizona State University、University of California, Los Angeles和University of California, Irvine从事博士后研究工作,合作导师分别为John C Chaput教授(现任职于University of California, Irvine)、Sir Fraser Stoddart院士(2016年诺贝尔化学奖获得者,现任职于Northwestern University)和Zhibin Guan教授。2011年起就职于吉林大学化学学院。杨英威教授主要研究领域为有机超分子化学、有机-无机杂化材料和智能高分子复合材料。应邀担任Matter (Cell Press), Scientific Reports (NPG),《重庆理工大学学报(自然科学)》和《中国化学快报》等杂志顾问编委、编委或青年编委,欧盟委员会2017年ERC Advanced Grant基金会评专家 (合成化学与材料评审小组),以色列科学基金会、比利时弗兰德研究基金会、智利国家科学技术委员会、英国肺基金会、国家自然科学基金、中国博士后基金等基金评审人,Sci. Adv.、Nature Comm.、Acc. Chem. Res.、Chem. Soc. Rev.、Adv. Mater.、J. Am. Chem. Soc.和Angew. Chem. Int. Ed.等百余种SCI期刊的特邀审稿人。迄今为止在Acc. Chem. Res., Chem. Soc. Rev., Chem, J. Am. Chem. Soc., Angew. Chem. Int. Ed., Adv. Mater., Small, Chem. Sci., Chem. Mater., ACS Appl. Mater. Interfaces, Chem. Commun.等重要期刊共发表SCI论文150余篇,应邀撰写专著章节五章。科研成果被Nature, Nature Chemistry, Nature Materials, ACS Noteworthy Chemistry, Chemistry World, ChemistryViews, Materials Views, ScienceDaily等期刊媒体报道百余次。科研成果入选“2013年中国百篇最具影响国际学术论文”、“领跑者5000中国精品HTH官网地址 期刊顶尖学术论文”和十余种杂志优秀论文、高影响力论文和高引论文,并获得吉林省自然科学学术成果奖二等奖(2015)。个人入选科睿唯安2017年“全球高被引科学家” (2017 Highly Cited Researcher, Clarivate Analytics)、爱思唯尔2017年“中国高被引学者” (2017 Chinese Most Cited Researcher, Elsevier)、2017年英国皇家化学会“Top 1% 高被引中国作者”、Science China Chemistry Top 30高被引作者、英国皇家化学会Polymer Chemistry Pioneering Investigator、英国皇家化学会ChemComm Emerging Investigator、吉林省第六批拔尖创新人才、吉林大学培英工程计划、吉林大学国家杰出青年基金后备人选培育计划和吉林大学化学学院青年教师创新能力提升计划等。
本文由吉林大学化学学院、纳微构筑化学国际合作联合实验室杨英威教授课题组供稿,材料人编辑部编辑。
欢迎大家到材料人宣传HTH官网地址 成果并对文献进行深入解读,投稿邮箱: tougao@cailiaoren.com.
投稿以及内容合作可加编辑微信:cailiaorenVIP.





