【引语】
推出顶刊专栏:定期梳理顶刊发布过的好文章,为大家推荐或解读一些经典研究成果。
材料人现在设立各种文章专栏,所涉及领域正在慢慢完善,由此也需要更多的专栏作者,期待你们的加入,有意向的小伙伴直接微信联系cailiaorenVIP。不要再犹豫,下一个专栏创始人就是你。请记住:纵然你离我千里万里,我都在材料人等你!
国际顶尖学术期刊Nature和Science呈现给读者最具影响力的科研成果,引领着当今最前沿的科研方向。本文盘点了2018年在Nature/Science上发表的引用次数最多的10篇材料类文章,以供广大科研工作者参阅。
我们首先来关注纳米生物技术方面的两篇高引文章。纳米材料的尺寸一般比生物体内的细胞小得多,这就为纳米载药和纳米传感等方面提供了新的途径。日本RIKEN脑科学研究所Thomas J. McHugh团队和新加坡国立大学的Xiaogang Liu团队合作,将上转换纳米颗粒的光学特性应用到了光遗传学技术上[1] 。光遗传学是探索神经元回路的一项革命性技术,但在临床应用等方面仍有局限性。由于可见光无法穿透到大脑深层结构,往往需要在脑部植入很长的光纤,造成组织损伤。上转换纳米颗粒可以将组织通透性较强的近红外光(NIR)转换为可见光,控制特殊标记的细胞(图1)。他们在腹侧被盖区通过上转化纳米颗粒释放蓝光来诱发多巴胺释放、癫痫终止、记忆召回等生理现象。这项上转换颗粒在光遗传学中的应用有助于实现微创光学神经操控,并可应用于远程治疗。
图1. 上转化颗粒将NIR转换为蓝光后刺激神经元;腹侧被盖区共聚焦影像。

第二篇文章报道了柔性电子器件的新进展。类皮肤电子器件可紧密附着于人体皮肤,并在健康监测、医疗诊断等人机交互技术中有很大应用前景。器件的可拉伸功能,不仅可以增强穿戴舒适度,更可以增大接触面积来提升信号的保真度。然而制造可拉伸的类皮肤器件并非易事,不仅需要复杂的制造技术,而且器件的密度会大幅减少。美国斯坦福大学的Zhenan Bao团队开发了一种新型工艺[2] ,制备了晶体管密度高达347/ cm2的可拉伸聚合物晶体管阵列。该阵列的平均载流子迁移率与非晶硅相似,在经过1000次应变测试后也只有轻微改变,并无电流-电压迟滞(图2)。这种工艺为制造下一代可拉伸类皮肤电子器件提供了有力的支持。
图2. 可拉伸聚合物晶体管阵列;基于可拉伸聚合物晶体管阵列的脉搏放大传感器。

下面我们来关注催化材料的一大研究成果。由于多孔材料在催化和气体分离等应用中起着关键作用,合成有序的微孔金属有机框架有重大的意义。华南理工大学的Yingwei Li和美国德州大学圣安东尼奥分校的Banglin Chen团队在金属有机框架(MOF)单晶内构建了高度定向和有序的微孔(图3)。[3] 该方法依赖于聚苯乙烯纳米球模板的强大成型效果,以及双溶剂诱导的异相成核方法。与传统的多晶无序大孔 ZIF-8 相比,这种分层框架结构的传质特性和单晶性质使其展现出更胜一筹的催化活性。
图3. 有序微孔结构的STEM图像

钙钛矿无疑是近年来的热点材料之一。和等其他种类的太阳能电池相比,钙钛矿太阳能电池成本低、具有柔韧性且易于调制。钙钛矿在信息存储、光电器件方面也有很大应用潜力。下面的两篇文章展示了研究者们对钙钛矿发光机理的最新认识。瑞士苏黎世联邦理工学院Maksym V. Kovalenko、David J. Norris和Gabriele Rainò以及美国海军科学研究实验所Alexander L. Efros团队发现铯铅卤化物钙钛矿中的最低激子具有很高的发光率[4] 。无机半导体中能量最低的激子释放光子缓慢,被称为“暗激子”。人们一直在探索存在明亮的最低激子的无机半导体材料。在这项研究中,他们首先利用有效质量模型和群理论来证明钙钛矿存在这种能态的可能性,然后,将模型应用于 CsPbX3 纳米晶体(图4) ,并在单纳米晶体水平上测量了荧光强度和尺寸与组分的关系。这些材料的光子发射速率在室温和低温下分别比其它半导体晶体快20 到 1000 倍。这一成果为发掘更多具有明亮激子的半导体提供了指导,也对光电子器件的发展有着重大意义。
图4. CsPbBr3晶体结构;光致发光衰减曲线

在另一篇报道中,英国剑桥大学的Samuel D. Stranks团队通过在钙钛矿表面和晶界上修饰卤化钾钝化层,来大幅减弱非辐射损耗和离子迁移[5] 。外部量子效率达66%,内部量子效率达到95%(图5)。在达到高发光率的同时,迁移率仍可以保持在40cm2/V/s 。这项成果无疑是金属卤化物钙钛矿在光电子应用中的一大进展。
图5. 光致发光衰减曲线;外部荧光量子效率和钾含量(x)关系

除了钙钛矿太阳能电池外,有机太阳能电池也有巨大进展。有机太阳能电池性能较低的根本原因之一是有机材料的低电荷迁移率,因为它限制了活性层厚度和光吸收效率。南开大学的Yongsheng Chen团队和国家纳米中心的Liming Ding团队通过半经验模型分析,采用串联电池这一策略(图6),成功克服了这些问题[6] 。他们利用有机材料能带结构易于调控的特点,制备了双端单片的串联有机太阳能电池,其能量转化效率创纪录的达到了17.3%。
图6. 串联电池结构;电流密度-电压曲线

最后,我们来关注物理学家们在不同材料中的新发现。首先介绍的是马约拉纳(Majorana)费米子的研究成果。马约拉纳对称性预测零偏压峰的高度为量子化普通电导值(2e2/h)。荷兰代尔夫特理工大学Leo P. Kouwenhoven课题组和合作者通过锑化铟纳米线实验对马约拉纳态电导模型进行了量子化[7] 。他们观测到马约拉纳零偏压峰值高度非常接近2e2/h(图7)。这项研究不仅捕捉到了令人信服的马约拉纳费米子存在的证据, 而且为今后的实验和拓扑量子计算的发展铺平了道路。
图7. 器件示意图,中部灰色部分为锑化铟纳米线;马约拉纳零偏压曲线

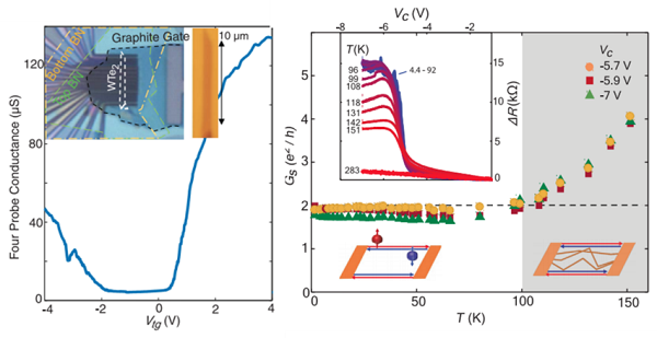
在另一项研究中,美国麻省理工的Pablo Jarillo-Herrero团队在100开尔文的温度下,在单层二碲化钨(WTe2)晶体中观察到了量子自旋霍尔效应[8] 。单层结构表现出每边e2/h的标志性传输电导(图8)。科学家们曾预测一些二维拓扑绝缘体在高温下存在量子自旋霍尔效应, 而这一结果成功验证了这一猜想,并有助于进一步探索单原子层晶体的拓扑相。
图8. 四探针电导测量;边缘电导和温度关系

2018年度最具影响力的科研成果当属美国麻省理工学院的Yuan Cao和他所在Pablo Jarillo-Herrero团队的成员在魔角扭曲的双层石墨烯中发现的新的电子态[9,10] 。范德华异质结构由二维单元垂直堆叠而成,通过控制不同层间的扭曲角度,可以调控范德华异质结的电子结构。当两个石墨烯片扭曲接近理论预测的“魔角”时,由于层间的强耦合,接近零费米能量的能带结构变得平坦(图9)。这些扁平带在半填充时表现出绝缘状态,类似于Mott绝缘体。这种魔角扭曲双层石墨烯的独特性质为研究更多类似的关联材料铺平了道路 。
图9. 魔角扭曲的双层石墨烯示意图;电导-温度曲线

Yuan Cao和Pablo Jarillo-Herrero团队在魔角石墨烯超晶格绝缘性的结果基础上,进一步调节载流子浓度来对该绝缘态进行掺杂, 使体系表现出反常的超导特性,最高超导转变温度约为1.7 K(图10)。魔角石墨烯超晶格体系相对于其他超导体系来说,更易于表征和调控。对这一体系进行深入研究有望帮助科学家们探索高温超导机制这一物理难题。
图10. 魔角扭曲的双层石墨烯示意图;电阻-温度曲线

参考文献:
[1] Near-infrared deep brain stimulation via upconversion nanoparticle-mediated optogenetics. Science 359, 679-684
[2] Skin electronics from scalable fabrication of an intrinsically stretchable transistor array. Nature 555, 83–88
[3] Ordered macro-microporous metal-organic framework single crystals. Science 359, 206-210
[4] Bright triplet excitons in caesium lead halide perovskites. Nature 553, 189–193
[5] Maximizing and stabilizing luminescence from halide perovskites with potassium passivation. Nature 555, 497–501
[6] Organic and solution-processed tandem solar cells with 17.3% efficiency. Science 361, 1094-1098
[7] Quantized Majorana conductance. Nature 556, 74–79
[8] Observation of the quantum spin Hall effect up to 100 kelvin in a monolayer crystal. Science 359, 76-79
[9] Correlated insulator behaviour at half-filling in magic-angle graphene superlattices. Nature 556, 80–84
[10] Unconventional superconductivity in magic-angle graphene superlattices. Nature 556, 43–50
本文由材料人HTH官网地址 顾问Dr.Y供稿,编辑部编辑。
欢迎大家到材料人宣传HTH官网地址 成果并对文献进行深入解读,投稿邮箱: tougao@cailiaoren.com.
投稿以及内容合作可加编辑微信:cailiaorenVIP.





