【前言】
当构件的某个点在承受足够大扰动应力,经过足够多的循环后会形成裂纹,这一现像被称为疲劳。疲劳断裂是工程结构和部件失效的主要原因。在目前的应用和研究中,较主流的疲劳测试方法主要有4类: 1. 名义应力应变法;2. 局部应力应变法;3. 能量法;4. 断裂力学法。本文简要介绍了此4类方法及其应用。
1 .名义应力法
名义应力法是对标准构件施加额定应力测试的方法,根据最大循环应力与屈服应力的关系,分为应力疲劳和应变疲劳。
首先介绍应力疲劳,其定义是若最大循环应力Smax小于屈服应力Sy,为应力疲劳。由于应力疲劳测试,材料寿命大于104次,所以应力疲劳也被称为高周疲劳。应力疲劳依据的理论,金属材料的应力S与破坏时的循环次数N呈非线性分布。可用幂函数:
取对数:
,或用指数式:
取对数
来表示,这一方法称为S–N法。实际测试中用S–N曲线,或p(存活率)-S–N曲线分析结果。
应力疲劳一般用于材料疲劳S-N曲线,如图1和图2,采用升降法测试AZ31B镁合金疲劳极限(应力比为0.1,疲劳寿命为107对应的疲劳载荷)。图中AZ31B镁合金试样的疲劳极限为97.29MPa。
图1. AZ31B镁合金疲劳测试
图2.AZ31B镁合金疲劳测试 S-N 曲线

应变疲劳应用于高载荷低设计寿命构件的测试。其定义是:若最大循环应力Smax大于屈服应力Sy,为应变疲劳。应力疲劳测试用于研究部件在高载荷低频率的场合,如压力容器使用寿命期限内,总循环次数数量级为104,因此,用应变作为疲劳性能参量描述。应力疲劳也被称为低周疲劳。
基于应变疲劳研究学者提出以下理论,材料的应力-应变(Remberg-Osgood弹塑性应力应变)关系:
![]()
式中εe弹性应变幅,εp为塑性应变幅。
在恒幅对称应变测试过程中,由于材料发生塑性变形,应变减小时应力不能以原始路径减小,应力-应变曲线呈环状,这一曲线称为滞后环。随着循环次数增加,达到相同的应变幅应力会增加或减小,这一应力对应变的响应被称为循环硬化或循环软化,循环足够多周次,有的材料会形成稳定滞后环。
应变疲劳中,用应力-应变曲线,描述材料的循环硬化或循环软化趋势。对于具有对称滞后环曲线材料,称为Massing材料。
下图为ZK60镁合金,载荷分别沿轧制方向和横向加载的σ-ε曲线。沿横向,循环硬化现象明显。
图3. ZK60A镁合金载荷沿轧向σ-ε曲线

图4. ZK60A镁合金载荷沿横向σ-ε曲线

2、 局部应力应变法
对于带缺口试样以及存在应力集中部件,采用局部应力应变法分析,当前研究表明决定构件疲劳寿命的是局部最大应变和应力,并提出应力集中系数的概念。适合计算材料裂纹形成的寿命,以及部件剩余疲劳寿命预测。
对于局部应力法提出的理论有Neuber 公式(应力集中公式)
![]()
Minner理论(疲劳累计损伤理论):构件在恒定应力S下的疲劳寿命为N,则经n次循环的损伤为:
![]()
若在k个恒定应力Si下,各经受ni次循环,其总损伤可定义为:
![]()
破坏准则为:
![]()
局部应力法的应用如图5,图6所示。
图5 .带缺口试样疲劳寿命预测

图6. 起重机疲劳寿命预测(起重机应力应变测试点分布图)

应力集中点疲劳寿命根据以下公式计算:
![]()
式中:Sf -等效应力光滑试样疲劳寿命
图6起重机的疲劳寿命计算方法为,将不同测试点载荷时间历程图,输入各点的疲劳寿命方程,可计算出各点剩余疲劳寿命。默认寿命最少点为设备的剩余疲劳寿命。对于起重机,学者提出普通钢材累计损伤值D达到0.68即失效。
3、 能量法
红外热像法是基于材料疲劳过程能量平恒定律提出的一种预测疲劳性能的方法。疲劳热像法的依据是疲劳过程中材料的热力学能U、动能K及电、磁等其他形式的能量耗散Eoth与物体吸收或散逸的热变化Q的总和应与作用于物体上的功W相同。
疲劳热像法具有无损、实时、非接触的优点,同时,由于能量耗散与疲劳载荷的非线性关系,以及热耗散用温度表征的误差,仍不适合工业量测。
当前研究已提出以下预测模型理论,Luong法, ∆Tmax与疲劳寿命Nf关系如下:
![]()
式中: C1,C2为常数。
因此,可用双线法预测疲劳极限。基于热的耗散还有学者提出以下模型:
R-温升斜率
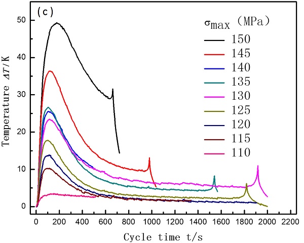
以下是太原理工大学张红霞老师团队对疲劳热像法的研究。采用热像法快速预测AZ31B Mg合金疲劳寿命。只需要测试试样第一阶段温升就可根据双线法预测材料的疲劳极限。分别如图7,图8,图9所示。
图7.疲劳测试中不同循环次数AZ31B镁合金试样表面温度

图8.AZ31B疲劳过程试样表面温变曲线

图9 .温度随疲劳载荷的变化规律

4、 断裂力学法
线弹性断裂力学是研究疲劳裂纹扩展的理论依据。疲劳裂纹扩展也可用应力强度因子K定量描述。
在疲劳载荷作用下,裂纹长度a随循环次数N的变化率da/dN,即疲劳裂纹扩展速率,反映裂纹扩展的快慢。对于给定裂纹长度a,da/dN随着循环应力幅∆σ(∆σ越大,∆K越大)的增加而增加,基于这一现象,学者研究了da/dN-∆K(裂纹扩展速率-应力强度增幅)曲线,曲线可分为三个区:低速率,中速率,高速率区。Paris公式指出中速率的稳定扩展存在以下线性关系:
![]()
裂纹尖端塑形区域经验公式:
![]()
疲劳裂纹形成和扩展可以在损伤力学框架下统一起来。
以下是AZ31B镁合金裂纹扩展速率研究,评估AZ31B稳定扩展速率。
图10.疲劳裂纹尖端竞争机制的示意图

图11.裂纹尖端应力应变场的三个不同区域的示意图

图12. 疲劳裂纹尖端竞争机制的a-N曲线示意图

图13. 疲劳裂纹尖端竞争机制的da/dN-ΔK曲线示意图

AB段(中速率区):da/dN=4.57×10-7(ΔK)3.25 (7.2<ΔK≤13.5 MPa•m1/2)
BC段(高速率区):da/dN=3.16×10-10(ΔK)6.21(13.5<ΔK≤22.1 MPa•m1/2)
总结:
四类方法应用场合不同,名义应力法和局部应力法适合工业领域材料&部件性能测试,能量法可以预测材料疲劳寿命,断裂力学法成功把疲劳裂纹形成和扩展统一起来。
本文由材料人HTH官网地址 顾问许泽清供稿,编辑部编辑。
欢迎大家到材料人宣传HTH官网地址 成果并对文献进行深入解读,投稿邮箱: tougao@cailiaoren.com.
投稿以及内容合作可加编辑微信:cailiaorenVIP.





