【引言】
热电效应是指在给定温度梯度下产生电势差的一种物理现象。通常用品质因子ZT = S2σT/,(其中S是Seebeck系数,σ代表电导率,T是温度,则表示热导率)来表征材料的热电性能。具有高品质因子的热电材料能够有效地将废热转换为电能,具有广泛的应用前景,因此寻找具有高品质因子的热电材料是能源转换领域的一个研究热点。为了提高热电材料的品质因子,有两种途径:增强S2σ(又称功率因子)或者降低材料的热导率。
早在1993年,麻省理工学院的Mildred Dresselhaus教授和她的博士生L. D. Hicks曾预言二维量子限域效应引起的态密度增强现象会极大地提高材料的热电功率因子 (Phys. Rev. B 47, 12727 (1993) ),这为获得高性能的热电材料提供了一个非常重要的理论指导。但是截至目前,一直没有实验确切地证实这个理论预测。即使在一些实验中半导体材料量子阱的宽度已经缩小至电荷的波尔直径尺度,仍然没有观察到热电性能的显著增强。最近,南京大学物理学院的梁世军副研究员和缪峰教授开展实验,同时与吉林大学张立军教授理论课题组合作,利用二维材料均匀厚度和载流子浓度可控的特性,首次证实了著名的Hicks-Dresselhaus理论预言。
【成果简介】
南京大学物理学院的梁世军副研究员、缪峰教授与吉林大学张立军教授合作,近日(2018年11月27日)在Nano Letters上发表题为“Experimental Identification of Critical Condition for Drastically Enhancing Thermoelectric Power Factor of Two-Dimensional Layered Materials”的重要研究进展。该文章从载流子浓度、温度以及不同厚度等多个自由度出发,实验研究了二维层状材料γ-InSe的热电运输性质,并结合理论计算,揭示了在薄层样品中,量子限域效应会导致在导带边出现更尖锐的态密度,进而增强其热电功率因子。最重要的是,该研究首次在二维层状材料中通过实验确定了当量子限域长度在小于热德布罗意波长时,热电功率因子显著增强的临界条件,最终证实了Hicks-Dresselhaus理论的预言。该研究结果为优化功率因子和改善二维层状半导体的热电性能提供了重要且通用的实验指导。
【图文导读】
图1 InSe的晶体结构,热电测试的器件结构

(a)InSe的晶体结构图
(b)7– 29 nm厚度下的InSe拉曼谱
(c)热电测试结构的示意图
(d)热电器件的光学显微镜图。
图2 InSe的电学和热电输运特性

(a)不同温度下的场效应转移曲线
(b)不同温度下的四端法电阻随背电压变化曲线,插图为随温度变化的场效应迁移率
(c)不同温度下10nm厚的Seebeck系数随载流子浓度变化曲线
(d)常温下,7– 29 nm InSe的Seebeck系数随载流子浓度变化曲线。
图3 薄层样品中增强的量子限域效应

(a)9层和36层的InSe能带图
(b)9层和36层的InSe态密度分布
(c)垂直面内方向的导带最低点状态的平面平均波函数幅度。
(d)9层和36层的电荷密度图对比。
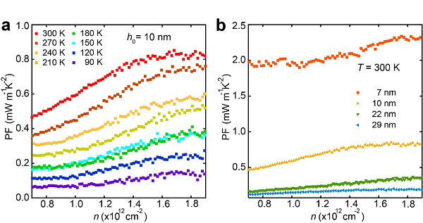
图4 InSe的功率因子随着载流子浓度的变化关系

(a)不同温度下10nm的InSe功率因子随载流子浓度变化
(b)常温下,7– 29 nm的InSe功率因子随载流子浓度变化
图5 InSe的功率因子增强的量子临界条件

功率因子随样品的量子限域长度h0与热德布罗意波长ξ的比值h0/ξ的变化,随着h0/ξ减小而增强,尤其是在h0/ξ < 1的区间有显著的增强,与插图中的理论预测一致。
【小结】
这项研究工作报道了InSe的Seebeck系数和热电功率因子随着样品厚度减薄而增强的现象,结合理论计算我们发现该增强主要得益于薄层样品中增强的量子限域效应增强导致材料的能带边态密度变得尖锐等因素;同时我们发现只有当量子限域长度小于热德布罗意波长时功率因子才能显著增强。这一临界条件的确定为未来探索基于高性能二维热电材料提供了重要的指导方向。
文献链接:https://pubs.acs.org/doi/10.1021/acs.nanolett.8b03026, DOI: 10.1021/acs.nanolett.8b03026
本文由南京大学物理学院缪峰教授课题组供稿,编辑部编辑整理。
投稿以及内容合作可加编辑微信:cailiaorenVIP
欢迎大家到材料人宣传HTH官网地址 成果并对文献进行深入解读,投稿邮箱tougao@cailiaoren.com。





