【引言】
液体的晶化行为是被人们广泛关注的重要但具有挑战性的科学问题之一。对于晶化路径及多晶型选择的研究不仅对理解结晶的物理本质有着重要的意义,也将帮助我们更全面地理解玻璃和玻璃转变的本质。随着温度降低,特定液体通常可以将自身排列成多种晶体结构,即多晶相(polymorphs),而各晶相的性能可以有显著差异,进而影响材料的潜在应用。因此,理解多晶型选择的一般规律对控制结晶路径中的多晶相形成至关重要。
【成果简介】
尽管金属结晶过程中的多晶型选择的重要性不言而喻,其物理图像却仍然不清晰。近日,北京计算科学研究中心管鹏飞研究员与清华大学柳百新院士课题组刘剑波老师合作在Acta Materialia上发表了题为“Common mechanism for controlling polymorph selection during crystallization in supercooled metallic liquids”的文章。本工作通过分子动力学模拟,研究了面心立方(fcc)金属铝和铜的结晶路径及其多型性选择的一般规律。常压下,两种金属表现出不同的结晶路径:包含亚稳态体心立方(bcc)晶型(Cu) 和不包含体心立方(bcc)相(Al),如图1所示。而通过适当的压力调节,可以有效地控制Al的晶化路径,实现含有亚稳bcc相的晶态(图3)。该模拟结果并不能用前人研究中提出的由于金属元素间强结合相互作用所引起的液固相密度差的理论来解释。进一步基于晶格振动谱及声子模式分析,发现无论是常压下的Cu还是高压下的Al,其bcc相的出现与该相的热力学稳定性有直接的关联,表明金属的进化路径和多晶型选择由自由能表面的形貌决定,因而我们可以通过重新‘编译’自由能表面来实现结晶路径及多晶型的调控。该研究结果不仅为多晶型选择的普遍热力学机制提供了重要启示,为工业和冶金应用中控制结晶路径和产物提供了理论依据。
【图文导读】
图1:常压下,Q4-Q6参量空间的形核路径。

(a-e)Cu;
(f-j)Al。
红色方框里的团簇表示bcc晶相。Cu的形核包含bcc晶相,而Al的形核不包含。右上角的百分比表示系统的结晶度。
图2:晶核中晶相成分占比的定量表示。

(a)Cu中不同相的相对分数;
(b)Al中不同相的相对分数。
图3:不同压力下Al在Q4-Q6参量空间的结晶路径。

(a)5Gpa;
(b)10GPa;
(c)15GPa.
体系中4%的原子处于晶相。随压力增加, bcc晶相在15GPa时出现。
图4:不同压力下Al的晶相团簇的组成:体系中晶相原子占10%。

(a)5Gpa;
(b)10GPa;
(c)15GPa.
黄色、蓝色、红色小球分别表示bcc, hcp和fcc原子。
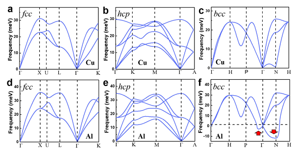
图5:常压下不同晶相结构的Cu和Al的晶格振动谱。

(a)fcc Cu的声子谱;
(b)hcp Cu的声子谱;
(c)bcc Cu的声子谱;
(d)fcc Al的声子谱;
(e)hcp Al的声子谱;
(f)bcc Al的声子谱。
图6:不同压强下bcc Al的晶格振动谱。

图7:自由能曲面的示意图。

若没有bcc能谷(实线),过冷液体直接转变为hcp和fcc相。通过对自由能曲面进行重新编译,可以在晶化路径中实现bcc晶相的析出(点划线)。
【小结】
本工作通过分子动力学模拟,研究了不同压力下面心立方(fcc)金属铝和铜的结晶路径。基于晶格振动与声子散射分析,揭示了晶化过程中各晶相是否形成取决于其热力学稳定性,因而,我们可以通过对合金体系的自由能表面形貌进行编译,调节各晶相在自由能曲面上对应能谷的局域形貌(能谷深度等),来实现对晶化路径及多晶型选择的调控。对应于真实材料制备,我们可以通过合金元素添加、制备压力调节等方法,实现对第二相稳定性的调控,从而实现结晶过程中的选择性制备。此外,对晶化过程的研究,也将有助于更全面地理解合金体系的非晶化和玻璃转变的本质。
文献链接:Common mechanism for controlling polymorph selection during crystallization in
supercooled metallic liquids(Acta Materialia,2018,DOI:10.1016/j.actamat.2018.09.055)
【研究团队简介】
管鹏飞
北京计算科学研究中心 (2014-)
简介:
主持和参与国家自然科学基金面上项目,HTH官网地址 部重点研发计划,中国工程物理研究院挑战计划(方向首席科学家)。已发表SCI期刊论文70余篇,包括Nature Materials 2 篇、PNAS 1 篇、Phys. Rev. Lett. 7篇、Advanced Materials 2 篇、Nature Communications 4 篇、JACS 1篇、Angewandte Chemie 1篇、Acta Materialia 3 篇。
主要研究方向:
1. 理论模拟与材料设计;2. 非晶态材料与物理;3. 先进材料物性机理;4. 高通量计算与人工智能
过去的主要工作及获得的成果:
1.非晶态材料中非均匀性的表征、调控及其应用
基于理论模拟,系统地研究了非晶态材料中静态/动态非均匀性特征及其物性关联,并以非均匀性为视角,探索了非晶合金的物性调控及相关应用,为进一步开展结合人工智能进行合金材料设计研究提供了方法基础与理论依据。
1)非晶结构非均匀性的表征及物性关联
证实了非晶合金原子结构中局域几何短程序(局域密排团簇)的真实存在,验证了当前基于局域团簇的非晶结构模型的合理性,并提出了探索无序体系中局域有序的研究方法[Nature Materials,10:28,2011];基于短程有序团簇结构,构建了描述非金属-金属多组元非晶合金原子结构的杂化堆垛模型,并建立了其结构与优异玻璃形成能力之间的关联[Phys. Rev. Lett.,108:175501,2012];获得了相变存储材料局域原子结构特征,阐明了其超快非晶-晶态-非晶相转变的微观结构起源[Phys. Rev. Lett.,117:135501,2016; Phys. Rev. Lett., 120:205502,2018];揭示了非晶合金体系优异电化学特性的结构非均匀性起源,并提出了设计高性能催化材料的新思路[Advanced Materials,28:10293,2016]。
2)非晶态系统动态非均匀性特征及物性关联
建立了非晶合金变形过程中力-温耦合的定量关系,阐明了剪切形变与玻璃转变之间的等效性[Phys. Rev. Lett.,104:205701,2010];揭示了剪切形变过程中孔穴行为的物理本质,及其与局域原子重排行为的竞争机制,为理解非晶合金的不同变形特性提供了重要线索[Phys. Rev. Lett.,110:185502,2013];揭示了玻璃形成液体中结构弛豫与动力学非均匀性之间的普适关系,为从非均匀性角度出发,理解玻璃及玻璃转变的本质提供了重要依据[Phys. Rev. Lett., 120:125502,2018]。
3)玻璃转变结构起源的全新表述
不同于以往对非晶体系中动力学行为结构起源的理解,发现了受限非晶体系中动力学行为与局域几何结构序(短程序)之间的退耦合关系,并提出了新的结构参量来统一地描述所有非晶形成液体中的慢动力学行为,建立了关于玻璃转变结构起源的全新表述[PNAS,115:6375,2018]。
2.先进材料物性机理及理论设计
结合实验研究,探索了先进材料优异物性的微观机理,其中包括结构材料的力学性质及形变机理[Nature Communications,4:2413,2013; 8:2142,2017];功能材料超导 [JACS,132:15223,2010]、电磁性[Phys. Rev. Lett., 115:147601,2015]、光电[Angewandte Chemie,2018]、催化[Nature Materials,11:775,2012; Nature Communications,4:1912,2013; 7:12251,2015; Advanced Materials,28:1753,2016]特性的微观机理,为相关材料的性能设计提供了方法基础和理论依据。
近期代表性文章:
S An, R Su, Y Hu, J Liu, Y Yang, B Liu, P Guan*, (2018). Common mechanism for controlling polymorph selection during crystallization in supercooled metallic liquids, Acta Materialia 161:367-373.
C Liu, P Guan, Y Fan, (2018). Correlating defects density in metallic glasses with the distribution of inherent structures in potential energy landscape, Acta Materialia 161:295-301.
YC Hu, YW Li, Y Yang, PF Guan*, HY Bai, WH Wang, (2018). Configuration correlation governs slow dynamics of supercooled metallic liquids, PNAS 115:6375.
S An, Y Li, J Li, S Zhao, B Liu, P Guan*, (2018). The linear relationship between diffusivity and crystallization kinetics in a deeply supercooled liquid Ni50Ti50 alloy, Acta Materialia 152:1-6
A Hirata, T Ichitsubo, PF Guan, T Fujita, MW Chen, (2018) Distortion of Local Atomic Structures in Amorphous Ge-Sb-Te Phase Change Materials, Physical Review Letters 120:205502
L Wang, N Xu, WH Wang, P Guan*, (2018) Revealing the Link between Structural Relaxation and Dynamic Heterogeneity in Glass-Forming Liquids, Physical Review Letters 120:125502
Yuan Chao Hu, Yi Zhi Wang, Rui Su, Cheng Rong Cao, Fan Li, Chun Wen Sun*, Yong Yang, Peng Fei Guan*, Da Wei Ding, Zhong Lin Wang, Wei Hua Wang*, (2016). A Highly Efficient and Self-Stabilizing Metallic-Glass Catalyst for Electrochemical Hydrogen Generation. Mater. 28: 10293.
E Matsubara, S Okada, T Ichitsubo, T Kawaguchi, A Hirata, PF Guan, K Tokuda, K Tanimura, T Matsunaga, MW Chen, N Yamada, (2016). Initial atomic motion immediately following femtosecond-laser excitation in phase-change materials. Physical Review Letters 117 :135501
Guan, S. Lu, M. J. B. Spector, P. K. Valavala and M. L. Falk*, (2013). Cavitation in amorphous solids, Physical Review Letters 110:185502.
F. Guan, T. Fujita, A. Hirata, Y. H. Liu and M. W. Chen*, (2012). Structural Origins of the Excellent Glass Forming Ability of Pd40Ni40P20, Physical Review Letters s 108:175501.
Hirata, P. Guan, T. Fujita, Y. Hirotsu, A. Inoue, A. R. Yavari, T. Sakurai and M. Chen*, (2011). Direct observation of local atomic order in a metallic glass, Nature Materials 10: 28-33.
Guan, M. Chen and T. Egami, (2010). Stress-Temperature Scaling for Steady-State Flow in Metallic Glasses, Physical Review Letters 104:205701.
本文由材料人计算材料组Isobel供稿,材料牛整理编辑。
欢迎大家到材料人宣传HTH官网地址 成果并对文献进行深入解读,投稿邮箱tougao@cailiaoren.com。
投稿以及内容合作可加编辑微信:cailiaokefu





