【引言】
二氧化硅(SiO2)是最丰富的矿物之一,同时也被广泛应用于工程、微电子和制药行业等诸多领域。二氧化硅的基本结构单元是SiO4四面体,而SiO4四面体之间有多种连接方式,导致二氧化硅具有多种晶型,β-方石英是二氧化硅的一种晶型,在平衡条件下,由液态二氧化硅在约2000 K时直接结晶而形成。β-方石英中的SiO4四面体排列成立方金刚石点阵,而在液态二氧化硅中,SiO4四面体会以无序状态排列,也被称为熔融石英。而在材料科学、地球物理等领域,理解β-方石英从液态二氧化硅中结晶过程至关重要。一般来说,采用实验的方法研究二氧化硅结晶具有其局限性,其困难主要在于液态二氧化硅所处的高温环境。而如果采用计算机模拟则可以更加有效地理解二氧化硅的微观结晶机理。
【成果简介】
近日,苏黎世联邦理工学院的Michele Parrinello教授(通讯作者)以XRD峰强作为集合变量,采用埋拓动力学(metadynamics)研究了液态二氧化硅结晶为β-方石英的关系。研究人员认为集合变量(与实验所进行的数量相关)优于其他选择,因此使用XRD图谱的数据作为集合变量,这样会引起自由能表面的收敛。通过计算不同自由能的差异,研究者们已经估计出β-方石英的熔融温度,这与文献所报道的一致,而且可以通过经典的成核理论来阐释液态二氧化硅结晶的成核机理。相关内容以“Molecular dynamics simulations of liquid silica crystallization”为题发表于PNAS。
【图文导读】
图一 理想晶胞结构模型示意图

(A)β-方石英的结构模型示意图,β-方石英由具有立方金刚石框架的SiO4四面体所构成,而四面体处于不断振动的状态中
(B)液态二氧化硅的结构模型示意图,其可通过熔融态的β-方石英得到,而且主要是由存在少量缺陷的SiO4四面体所组成
图二 模拟XRD图谱

模拟2400 K下液态二氧化硅与β-方石英的XRD图谱,在这个体系中有1536个原子,X射线的波长设置为1.5406 Å,通过模拟周围的熔融温度可得β-方石英的晶格参数是7.15 Å,与实验结果一致
图三 不同温度下S1与模拟时间的函数图像

图四 二氧化硅的自由能表面(FES)

S1与S2体系中二氧化硅(192个原子)自由能表面,S、L分别表示固态和液态,自由能不会有相同的零值,过渡态的势垒高度由自由能的差异所得的,在熔点以上时,从液态到固态的势垒随着温度的增加而增大
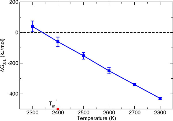
图五 β-方石英和液相之间的自由能差异与温度之间的函数图像

Tm* 是二氧化硅的熔点,图中的误差棒由各部分平均所得
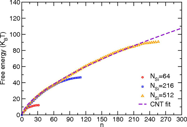
图六 重新加权自由能与簇尺寸(n)之间的函数关系图像

在这个情况中,在计算中只考虑到了硅原子,假设从化学计量角度来说,一个簇的尺寸(n)通常包含3n个原子(n个硅原子核2n个氧原子),图中还绘制了CNT拟合曲线用以比较
图七 液态二氧化硅向β-方石英转化过程中的组态排列图

(A)-(F)在40 ps的间隔中从偏压运行中提取的图片,图中只有结晶状的硅原子,而液态硅原子和氧原子是透明的,黑方框表示具有周期性边界的模拟框,比色刻度尺指类晶体Si原子的局部熵值,局部熵值越低,分子的有序性越高
【小结】
理解液态二氧化硅的结晶对理论与实际都具有非常大的重要性,偏压运行中的β-方石英和液态二氧化硅的转化率主要取决于温度,这基本与实验所得的结论一致。β-方石英与液态在熔点时熵的差值大概是14.6 J·K-1·mol-1,而且其成核过程可以由CNT来描述,液态二氧化硅的结晶表明其是一种连续成核与生长过程。
文献连接: Molecular dynamics simulations of liquid silica crystallization(PNAS, 2018, DOI: 10.1073/pnas.1803919115)
本文由材料人编辑部计算材料组杜成江编译。
材料牛网专注于跟踪材料领域HTH官网地址 及行业进展,这里汇集了各大高校硕博生、一线科研人员以及行业从业者,如果您对于跟踪材料领域HTH官网地址 进展,解读高水平文章或是评述行业有兴趣,点我加入材料人编辑部。
欢迎大家到材料人宣传HTH官网地址 成果并对文献进行深入解读,投稿邮箱tougao@cailiaoren.com.
投稿以及内容合作可加编辑微信:cailiaokefu.
如果您想利用理论计算来帮助实验,欢迎您使用材料人计算模拟解决方案。材料人组建了一支来自全国知名高校老师及企业工程师的HTH官网地址 顾问团队,专注于为大家解决各类计算模拟需求。如果您有需求,欢迎扫以下二维码提交您的需求,或直接联系微信客服(微信号:cailiaoren001)






