大量证据表明高温超导和电子向列相存在紧密联系,而高温超导和向列波动之间的因果关系还不是很清楚。最近的理论预测:向列量子临界特性(量子临界波动是由于接近向列量子临界点造成的)可以增强存在的超导配对相互作用。特别的是,纯向列相不会破坏初始晶体晶格的平移对称性,因此,向列波动有一个波矢q=0,表明配对通过向列波动交换增强了在所有对称沟道的超导临界温度Tc。因此,探究向列波动是否属于最优掺杂高温超导体的特征属性及向列波动本质的量子行为是很有意义的。
近日,美国斯坦福大学Hsueh-Hui Kuo等人使用差分弹性电阻测试五个最优掺杂的铁基超导体,结果表明在很宽的温度范围,它们的向列磁化率都遵循简单的居里-外斯定律。这意味着发散的向列磁化率在最优掺杂的区域可能是一个基本特征,向列波动可能也是一个基本的超导配对相互作用。

图1 BaFe2As2的弹性电阻随温度变化曲线:从中可以看出数据符合居里-外斯行为,表明在接近热驱使向列相转变点时,材料的向列磁化率和平均场温度存在依赖关系;上半图表明在正方晶系阶段,弹性电阻和磁化率有比例关系;黑色曲线为居里-外斯拟合线,可以看出,拟合质量很高;右下图,线性拟合效果很好,表明居里常量与温度无关(红色线);从居里-外斯拟合线,可以得到外斯温度T*,即平均场向列临界温度为109±1.4 K;耦合晶格标准化临界温度,可以知道耦合向列相转变温度为Ts=134K(垂直灰色线);插图为差分弹性电阻测量装置图。

图2 几种最优掺杂铁基超导体的弹性电阻发散:(A-D)分别为最优掺杂的BaFe2(As0.68P0.32)2,Ba(Fe0.955Ni0.045)2As2(电子掺杂),Ba0.58K0.42Fe2As2(空穴掺杂),FeTe0.58Se0.42;插图为每种材料的晶格单胞(黄色:Fe,Ni;紫色:As,P;粉色:Ba,K,Te,Se);在每个情况下,可比量级的诱导电阻各向异性被观察;在每个分图中,上半图为磁化率,下图为反向磁化率(左轴,蓝色方块)和居里常量(右轴,黑色曲线),黑色(上半图)和红色(下半图)曲线为磁化率和反向磁化率的居里-外斯拟合;灰色水平线(下半图)为拟合温度范围内的居里常量均值;B图和C图中居里-外斯行为的发散区域用灰色阴影标注;A图和B图中,磁化率为负;C图和D图中,磁化率为正。从图中,可以看出,这四种铁基超导材料均符合居里-外斯定律。

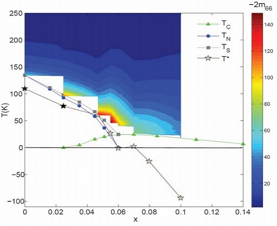
图3 Ba(Fe1–xCox)2As2的相图,展现了在x-T平面磁化率的变化: 方格:;正方晶相-斜方晶相转变温度Ts;圆圈:内尔温度TN;三角形:超导临界温度Tc;五角星表示在无序作用抑制向列磁化率的温度之上,从磁化率的居里-外斯拟合提取出的平均场向列临界温度T*(灰色五角星为低温下居里-外斯行为发散的区域)。
【备注】
该研究成果近期发表在Science (IF:33.661) 上,文献链接:Ubiquitous signatures of nematic quantum criticality in optimally doped Fe-based superconductors(DOI: 10.1126/science.aab0103)。
本文由材料人编辑部学术组灵寸供稿,材料牛编辑整理。
欢迎加入材料人编辑部学术组,一起进行材料顶刊学术动态的跟踪和报道以及SCI相关知识科普等。加入方式:(1)点此处报名;(2)加入材 料人文献检索群(410109144),私信管理员“成都-小小(QQ:763044722)”报名。





