当前位置: 材料牛 » HTH官网地址 » 顶刊 » 顶刊动态|Nature子刊/Macromolecules等高分子材料学术进展汇总【160526期】

顶刊动态|Nature子刊/Macromolecules等高分子材料学术进展汇总【160526期】

1、Scientific Reports:一种凝胶聚合物电解质

混有锂盐的有机溶剂电解质已被广泛的应用于锂离子电池中。但有机溶剂具有可燃性,如果电池系统意外遭受短路或局部过热可能会导致电池热失控或爆炸。

图片8

图1(a)(c)无孔MA-SiO2纳米颗粒
图1(b)(d)介孔MA-SiO2纳米颗粒

近日,韩国汉阳大学的科学家发明了一种新型电解质。在这项研究中,科学家制备一种交联的复合凝胶聚合物电解质,这种电解质既安全有可靠,可以很好的用于锂离子电池中。该凝胶是通过二氧化硅纳米颗粒交联来制备的,这种方法使电解质离子的电导率高、界面特性良好。二氧化硅纳米颗粒含有反应性的甲基丙烯酸酯基团,可以在交联位点合成并分散到纤维聚丙烯腈膜上。

文献链接Cross-linked Composite Gel Polymer Electrolyte using Mesoporous Methacrylate-Functionalized SiO2 Nanoparticles for Lithium-Ion Polymer Batteries(Scientific Reports,2016,DOI:10.1038/srep26332)

2、Nature Chemistry: 基于炔烃的环状聚合物

图片4

图2 线性和环状聚合物分子量的比较

与等效的线性聚合物相比,环状聚合物具有显著不同的物理特性。然而,环状聚合物的探索是有限的,因为与它们相关联的的合成是非常困难的。

目前,来自美国佛罗里达大学化学系的Adam S. Veige和他的研究团队已经攻克了这个难题。该研究团队发现了一种具有四个阴离子的钳形配位体所组成的钨催化剂,这种催化剂能够迅速聚合炔烃并且形成高产量的共轭大环化合物。在此基础上,现在制取各种环状聚合物所需要做的仅仅是选择合适的炔烃单体而已。

文献链接:Cyclic polymers from alkynes(Nature Chemistry,2016,DOI:10.1038/nchem.2516)

3、Biomacromolecules:嵌入缩聚反应生产酯酸酐交替聚合物

图片1

图3 RA-SA聚合物的氢核磁共振光谱((CDCl3, 300 MHz)

可生物降解的聚合物在我们的生活中已经得到了广泛应用,而其中聚酸酐的降解范围广,易于控制,因而比较有开发潜力。但是聚酸酐的保存时间较短,易变质分解,这对其广泛应用造成了限制。

基于这一缺点,耶路撒冷希伯来大学的Moran Haim Zada等科学家研究了一种新的合成方法。他们以聚酸酐为初始原料,通过酯化作用嵌入酯单体生成酯酸酐交替聚合物。通过优化添加的蓖麻酸(RA)和癸二酸(SA)的摩尔比,使其全部转化为羧酸。再在热真空下生成酯酸酐交替聚合物,RA链的存在可以提高其水解稳定性,从而使之可以在室温下长期保存。

文献链接:Alternating Poly(Ester-Anhydride) by Insertion Polycondensation(Biomacromolecules,2016,  DOI:10.1021/acs.biomac.6b00523)

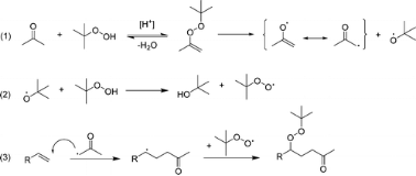
4、Macromolecules:室温下酸诱导合成RAFT聚合物及其合成机理研究

图片2

图4 利用酸催化酮和过氧化氢产生自由基生产γ-过氧化酮

目前人们已经发现了很多可以用于合成精细聚合材料的物质,其中RAFT由于其几乎可以使所有的乙烯基单体聚合而备受关注。而RAFT通常要在60到80摄氏度下合成,这不利于生产一些不适合在高温下合成的物质(如丙烯酸酯的聚合)。

针对这一现象,比利时哈赛尔特大学的Joke Vandenbergh等科学家研究了一种利用酸诱导环己酮/叔丁基过氧化物引发体系在室温下生产RAFT。他们通过优化合成聚合物的链的长度来优化反应体系。采用软电离质谱对聚合物的端基进行分析。发现聚合反应是由酮自由基引发的,室温下合成的聚合物也具有明显的嵌段共聚物的结构。并且能够实现反应快速进行和最低0℃下完成聚合。利用这一方法,可以在室温下合成温度敏感材料。

文献链接:Acid-Induced Room Temperature RAFT Polymerization: Synthesis and Mechanistic Insights(Macromolecules ,2016,  DOI: 10.1021/acs.macromol.6b00192)

5、Macromolecules:异靛聚合物中结构和性质的关系决定电子传送和分离

图片3

图5 T3-iI在不同前线轨道中的等密度面(a:LUMO轨道,b:HOMO轨道)

自2010年开始,异靛杂环化合物作为一种新型的有机电子材料被广泛研究,在需要高电荷迁移率和高能量转化效率的的有机电子组件中应用广泛,成为一个相当具有应用潜力和前景的高分子材料。

在这种情况下,乔治亚理工学院的Caroline Grand和美国一些其他大学的科学家通过比较有机晶体管和光电器件的光电性能、薄膜形态、有机场效应晶体管(OFET)迁移率和有机光伏电池(OPV)的性能,探究了异靛杂环化合物结构和性能之间的关系,讨论了聚合物的结构对其溶解度和相分离的影响。他们发现低溶解度的异靛聚合物更容易产生纤维状结构。

文献链接:Structure-Property Relationships Directing Transport and Charge Separation in Isoindigo Polymers(Macromolecules,2016,  DOI: 10.1021/acs.macromol.6b00540)

6、Macromolecules:相分离的杂化聚合物网络

图片5

图6 用单体和催化剂合成的硫醇-环氧-丙烯酸酯混合网络

巯基–环氧–丙烯酸酯杂化聚合物网络(HPN)是在1,8-二氮杂双环[5.4.0]十一碳-7-烯(DBU)作为催化剂的条件下,由催化亲核巯基的丙烯酸酯的迈克尔加成与硫醇环氧偶联的组合反应为基础的一步反应合成的。

在此基础上,来自美国西北大学材料科学与工程学专业的John M. Torkelson和他的研究团队通过相分离以及差示扫描量热法和动态力学分析发现通过改变HPNS的交联密度,可以得到广泛的热力学和机械性能,比如杨氏模量的范围可以从1.5变到75.7兆帕。研究人员进一步研究发现,使用具有不同功能的固化剂,是控制聚合物网络交联密度的有效途径。

文献链接: Phase-Separated Thiol–Epoxy–Acrylate Hybrid Polymer Networks with Controlled Cross-Link Density Synthesized by Simultaneous Thiol–Acrylate and Thiol–Epoxy Click Reactions(Macromolecules,2016,DOI: 10.1021/acs.macromol.6b00141)

7、Biomacromolecules: 壳聚糖/硫酸软骨素膜产生的聚电解质络合工程软骨

图片6

图7 CHT / CS聚电解质复合物膜的合成过程

利用壳聚糖膜(CHT)和硫酸软骨素为主要原料配以聚电解质络合沉淀/蒸发法并利用盐晶体诱导膜的粗糙度和非均匀性,可以对软骨细胞产生显著的影响。

在此基础上,来自政府相关实验室的João F. Mano和他的研究团队通过诸如增加水的吸收和减少刚度以及使膜所处环境中盐的浓度增加的方式,进而来探索这种聚合物膜对不同盐浓度条件下而发生的诱导行为。他们发现,这种膜能够维持ATDC5预软骨细胞的黏附,并且诱导软骨细胞聚集体发生重排。进一步研究表明,这种膜适用于生物医学领域,即软骨再生。

文献链接:Chitosan/Chondroitin Sulfate Membranes Produced by Polyelectrolyte Complexation for Cartilage Engineering(Biomacromolecules,2016,DOI: 10.1021/acs.biomac.6b00399)

8、Polymer Journal:一种苯乙烯聚合的控制系统

在高分子合成领域,聚苯乙烯及其衍生物是重要的工业应用和基础研究的材料。合成聚合物的方法有配位、自由基、阴离子和阳离子聚合等。

图片7

图8 pMeSt的阳离子聚合

近日,大阪大学的科学家设计出了一种控制系统,该系统可以控制苯乙烯的聚合。在实验中,科学家主要是利用不同金属氯化物对甲基苯乙烯阳离子聚合的控制进行研究,这和Lewis酸催化剂在二氯甲烷中的作用的研究非常相似。实验中所用的催化剂可用于生产叔丁基吡啶。使用不同的金属氯化物,聚合物表现出不同的特性。使用四氯化锡和二氯化锌对聚合反应过程进行控制,可以得到性能很好的聚合物。而使用氯化铝、氯化铁和氯化镓进行控制,得到的聚合物性能较差。此外,用四氯化锡和二叔丁基过氧化物的混合物可以很好的控制苯乙烯和氯苯乙烯的聚合。

文献链接:Cationic polymerization of p-methylstyrene using various metal chlorides: design rationale of initiating systems for controlled polymerization of styrenes(Polymer Journal , 2016,DOI:10.1038/pj.2016.43)

本期文献汇总由材料人高分子材料学习小组成员Andy,Mingliu,LRKT编写整理。

如果你对高分子材料感兴趣并且愿意与高分子行业人交流,请加入材料人高分子交流群(298064863);如果你想及时掌握高分子学术动态并深入剖析高分子科研及行业现状,请加入材料人高分子学习小组(点此处报名)。

未经允许不得转载:材料牛 » 顶刊动态|Nature子刊/Macromolecules等高分子材料学术进展汇总【160526期】

相关文章

Baidu
map