【引言】
全固态电池具有能源密度高,安全性能好等优点,有望应用于下一代高能量密度储能装置。需要指出的是全固态电池仍然存在一些问题, 如电极材料体积变化大、电极-电解质界面电阻高、活性材料负载量低、循环稳定性差、安全性能低等。由于全固态电池中固态电解质与电极之间的接触是直接的物理接触,因此界面浸润性较差。不理想的界面浸润性严重影响了全固态电池的容量,这种不利影响在高倍率情况下尤为突出。同时电极-电解质界面处发生的副反应对全固态电池的性能有一定的影响。随着电压或温度的升高,副反应会进一步降低全固态电池的容量。
【成果简介】
近日,中科院化学所的Shi Ji-Lei, Wang Chu-Ru和郭玉国(共同通讯作者)团队报道了电极-固态电解质界面改性的最新研究进展。研究人员通过在NCM正极材料表面引入聚丙烯腈-丁二烯(PAB)包覆层,不仅有效抑制了电池在循环过程中的副反应,而且有效改善了电极-固态电解质之间的界面接触情况。研究发现PAB界面改性的全固态电池具备优异的电化学性能:在3.0 C的电流密度下比容量可达99 mAh g-1, 循环400圈后仍保持75%的容量。相关成果以“Ameliorating the Interfacial Problems of Cathode and Solid-State Electrolytes by Interface Modification of Functional Polymers”为题发表在Advanced Energy Materials上。
【图文导读】
图-1. 全固态电池存在的界面问题示意图

图-2. NCM@PAB的形貌和元素分布情况表征

(a)-(b) NCM@PAB的透射电子显微镜(TEM)图像;
(c) NCM@PAB的高分辨透射电子显微镜(HRTEM)图像;
(d)-(j) NCM@PAB的元素分布图像。
图-3. 样品的结构表征

(a) NCM, NCM@PAB的XRD衍射图;
(b) PAB, NCM, NCM@PAB的傅里叶变换红外(FT-IR)光谱;
(c)-(d) NCM, NCM@PAB的EDS元素含量分析结果。
图-4. 固态电池的电化学测试曲线

(a) NCM在不同扫速下的CV曲线;
(b) 以NCM为正极的全固态电池的峰值电流密度与扫速平方根之间的函数关系及其拟合曲线;
(c) NCM@PAB在不同扫速下的CV曲线;
(d) 以NCM@PAB为正极的全固态电池的峰值电流密度与扫速平方根之间的函数关系及其拟合曲线。
图-5. 固态电池的电化学性能测试曲线

(a) 以NCM为正极的全固态电池的恒流充放电曲线;
(b) 以NCM@PAB为正极的全固态电池的恒流充放电曲线;
(c) 以NCM为正极的全固态电池从第1圈至第20圈充电过程中的dQ/dV关系曲线;
(d) 以NCM@PAB为正极的全固态电池从第1圈至第20圈充电过程中的dQ/dV关系曲线;
(e) 以NCM为正极的全固态电池从第1圈至第20圈放电过程中的dQ/dV关系曲线;
(f) 以NCM@PAB为正极的全固态电池从第1圈至第20圈放电过程中的dQ/dV关系曲线;
(g) 以NCM为正极的全固态电池前20圈的氧化-还原峰;
(h) 以NCM@PAB为正极的全固态电池前20圈的氧化-还原峰。
图-6. 电池的性能测试

(a) 以NCM为正极、聚合物为固态电解质的全固态电池在0.2-5.0 C电流密度区间的倍率性能;
(b) 以NCM@PAB为正极、聚合物为固态电解质的全固态电池在0.2-5.0 C电流密度区间的倍率性能;
(c) 以NCM为正极的全固态电池在循环前和不同循环次数后的Nyquist曲线;
(d) 以NCM@PAB为正极的全固态电池在循环前和不同循环次数后的Nyquist曲线;
(e) 电流密度为1.0 C时,以NCM, NCM@PAB为正极的全固态电池的循环性能曲线。
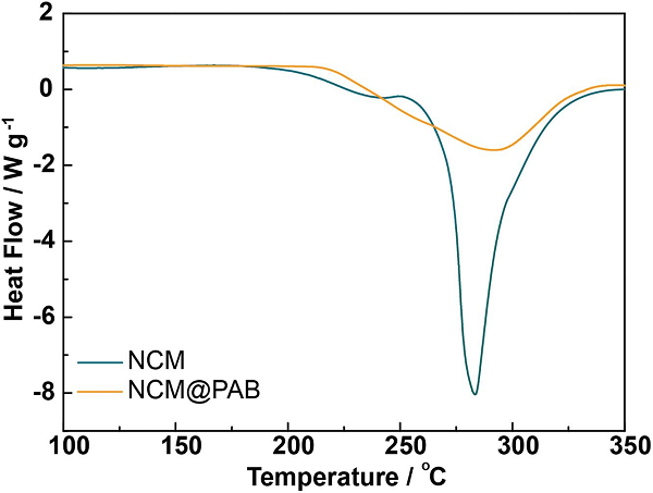
图-7. 充电至4.3 V后NCM(绿色)和NCM@PAB(橙色)的DSC曲线

【小结】
本文通过在NCM正极材料表面引入聚丙烯腈-丁二烯(PAB)包覆层,有效改善了电极-固态电解质之间的界面问题。研究发现:PAB薄膜的引入不仅可以保证正极与固态电解质的良好接触,而且可以有效抑制界面处的副反应;正极材料表现出低极化电压,全固态电池表显出优异的倍率性能和循环稳定性。该项工作为解决电极与固态电解质界面问题提供了一种简便的解决方案,并且可以广泛应用于其它固态电池体系中。
【文献信息】Ameliorating the Interfacial Problems of Cathode and Solid-State Electrolytes by Interface Modification of Functional Polymers (Adv. Energy. Mater., 2018, DOI: doi.org/10.1002/aenm.201801528)
本文由材料人编辑部新人组韩百川编辑,张杰审核,点我加入材料人编辑部。
材料测试、数据分析,上测试谷!





