【引言】
非均相催化对化学工业非常重要,包括费托合成,甲烷重整,三元催化和水煤气变换反应等。科研人员把目标定位在通过降低反应温度,减少催化剂用量,提高可回收性和长期稳定性等更温和的条件下完成这些反应。近几十年来,随着无机合成和制备技术的迅速发展,纳米材料在催化领域的研究领域开始崭露头角,主流研究集中在促进纳米催化剂性能的热力学和动力学传质两个方面的重要问题。考虑热力学是为了产生高度活性的中心,降低目标反应的活性能量,从而使反应过程更容易或提高反应的选择性。另一种基于动力学传质,以操纵底物分子的途径以使反应更有效。从催化剂设计的角度来看,科学家倾向于纳米表面,因为它们具有更多的表面活性位点和内部中孔结构,更大的比表面积,特别是与其大块形式相比更高的原子利用率。然而事实上,纳米催化剂在一些苛刻的反应条件下严重降解,因此尽管它们具有良好的初始活性,但仍未能长期循环。因此,设计具有明确界定的混合结构的高性能催化剂,至少有四个重要的因素,即(1)使初始微观结构为纳米尺度,将活性中心裁剪为纳米尺寸;(2)获得具有合理孔径分布的多孔结构,(3)构建更稳定的核@壳结构,(4)使得不同组分之间的协同作用最优化。然而,毫无疑问,不仅在理论研究方面,而且在实际应用需求方面,制备催化剂仍然是一大挑战。
【成果简介】
近日,北京航空航天大学张瑜课题组在著名材料期刊 Advanced Functional Materials上发表 “A Controllable Surface Etching Strategy for Well‐Defined Spiny Yolk@Shell CuO@CeO2 Cubes and Their Catalytic Performance Boost”的论文。 研究人员提出了一种有效的自上向下蚀刻路线,Cu2O微立方体模板的表面上原位制备CuO/ CeO2纳米杂化物。该方法充分考虑了热力学和动力学两方面的因素,包括表面结构纳米化,中孔构造,稳定核壳结构的形成以及强化协同效应等,以实现结构设计,从而大大提高催化剂的催化性能。在氨的条件下进行蚀刻同时引入Ce3+离子起到抑制作用,最终产物为明确的多孔蛋黄壳结构,其中未被蚀刻的Cu2O立方体部分作为核心,壳表面的刺由CeO2纳米粒子包裹的CuO纳米簇组成。表征结果包括SEM,TEM,XRD,XPS,H2程序升温还原,N2吸附的系统表征都牢牢地揭示了催化性质与样品结构之间的关系。通过简单地调整氨和Ce3+离子的用量,样品在催化CO氧化的模型反应中呈现典型的火山曲线。样品CuO@CeO2-0.05表现出最佳的催化活性和稳定性。该策略有如下优势:(1)与传统的将少量活性中心分散在载体上的浸渍工艺不同,该方法从无机合成的角度提出了一种新型的自上而下的方式从块材出发构筑一种自支撑的CuO纳米催化剂; (2)原位刻蚀工艺具有良好的普适性,可以很容易地拓展制备不同尺寸和形貌的商业CuO催化剂; (3)形成均匀分布的活性位点对研究催化反应路径非常有帮助。
【图文导读】
第一部分:合成与表征
图1.1 Cu2O立方体蚀刻过程的示意图
图1.2 Cu2O和CuO/NH3的SEM及XRD表征
A)Cu2O的SEM图像和XRD图谱;
B)CuO/NH3的SEM图像和XRD图谱。
图1.3 Cu2O / CuO•CeO2 -0.05的TEM及EDS
A-D)Cu2O / CuO•CeO2 -0.05的TEM图像;
E-H)Cu2O / CuO @ CeO2 -0.05的映射分析。
图1.4 样品煅烧前后的N2吸附 – 解吸等温线和孔径分布曲线
A)煅烧前Cu2O立方体(黑线),Cu2O / CuOeCeO2-0.05(红线),CuO / NH3(蓝线)和 CuO @ CeO2 / HTM(绿线);
B)煅烧后Cu2O立方体(黑线),Cu2O / CuOeCeO2-0.05(红线),CuO / NH3(蓝线)和 CuO @ CeO2 / HTM(绿线)。
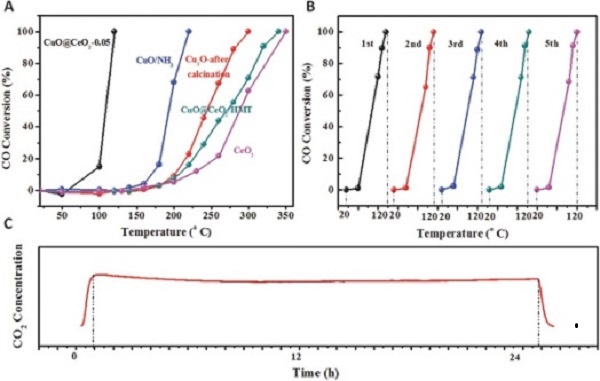
图1.5 催化CO氧化测试
A)煅烧后的Cu2O,CuO@CeO2-0.05,CuO/NH3,CuO@ CeO2 / HMT和纯CeO2的CO转化曲线;
B)CuO@CeO2 -0.05的催化循环曲线;
C)120℃恒定温度下的CuO@CeO2 -0.05的老化测试。
第二部分 机理解释
图2.1 不同样品的H2-TPR和CO-TPR曲线
A)CuO @ CeO2-0.05,CuO,CuO / NH3,CuO @ CeO2 / HMT和CeO2的H2-TPR曲线;
B)CuO @ CeO2-0.05,CuO,CuO / NH3,CuO @ CeO2 / HMT和CeO2的CO-TPR曲线。
图2.2 程序升温条件下,CO气氛中的CuO@CeO2-0.05的原位FTIR光谱
图2.3 CuO @ CeO2-x催化剂上CO氧化的示意模型
第三部分 实验拓展
图3.1 商业CuO, Cu2O用不同方法包覆CeO2前后催化效果对比
A)不同尺寸商业-CuO @ CeO2 / HMT;
B)商业‐Cu2O@CeO2‐0.05。
【小结】
研究人员成功地设计了一种有效的自上而下的合成方法,以在Cu2O微立方体模板的表面上原位制备CuO / CeO2纳米杂化物。在氨和Ce3+离子的共同作用下进行蚀刻,产物处于明确的刺状核壳结构,其中Cu2O立方体的未刻蚀部分充当核心并且壳层由刻蚀生长的刺状CuO和其表面包覆的CeO2纳米颗粒组成。该方法充分考虑了热力学和动力学两方面的因素,包括表面结构纳米化,中孔构造,稳定核壳结构的形成以及强化协同效应等,以实现结构设计,从而大大提高催化剂的催化性能。通过简单地调整氨和Ce3+离子的使用量,样品在催化CO氧化的模型反应中显示典型的火山曲线。样品的起燃温度遵循如下顺序:CuO@CeO2 -0.05 <CuO / NH3 <CuO <CuO@CeO2 / HMT <CeO2。
多刺核壳结构不仅大大增加了催化剂的比表面积,提供了适合催化反应的中孔结构,增加了反应的活性位点,表面结构的纳米化还使得纳米化的CuO和CeO2纳米颗粒之间形成很好的协同作用,从而使催化活性得到了很大的提升。与此同时也提供了一种新方法,通过原位表面纳米化,使这些原本活性很低的块状微米级材料更易于加工,从而提高催化性能。该蚀刻策略也被验证是成功的,可以扩展蚀刻无形貌的商业Cu2O。在接下来的研究中,将详细研究不同暴露晶面是否对Cu2O有选择性刻蚀以及除Ce3+以外的其他金属离子的相互作用是否对催化反应同样有效。该自上而下的刻蚀策略会为实际应用需求,设计高性能催化剂提供重要研究价值。
【文献链接】:A Controllable Surface Etching Strategy for Well‐Defined Spiny Yolk@Shell CuO@CeO2 Cubes and Their Catalytic Performance Boost (Advanced Functional Materials,2018,DOI:10.1002/adfm.201802559)
本文由材料人编辑部新人组Flyfish编译,刘宇龙审核,点我加入材料人编辑部。
欢迎大家到材料人宣传HTH官网地址 成果并对文献进行深入解读,投稿邮箱tougao@cailiaoren.com.
投稿以及内容合作可加编辑微信:cailiaokefu.





