【引言】
研究晶体的形核和长大对冶金学、制药学、气候变化以及生物健康具有重大意义。但是,通常晶体形核长大伴随的热力学和动力学之间的竞争导致结晶过程出现难以置信的复杂情形。到目前为止,无论在实验还是数值模拟方面,几乎都没有已知的NiTi深过冷液体的自扩散系数D和粘度η数据。因此,深过冷Ni50Ti50液体的快速结晶过程的微观起源仍然难以捉摸。最近,分子动力学模拟已被证明可以有效地研究深过冷液体的结晶过程,这对本次研究NiTi形状记忆合金(SMA)在深过冷液态下的结晶过程有了巨大帮助。
【成果简介】
近日,北京计算科学研究中心管鹏飞研究员和清华大学柳百新院士(共同通讯作者)等团队在Acta Materialia上发表题为“The linear relationship between diffusivity and crystallization kinetics in a deeply supercooled liquid Ni50Ti50 alloy”的文章。研究团队通过分子动力学模拟研究了深过冷条件下Ni50Ti50液体的结晶过程。研究表明,Ni50Ti50深过冷液体表现出极快的晶化行为,这与利用液体粘度预测得到的理论晶化速率相违背;进一步的分析表明深过冷条件下结晶动力学系数与液体的扩散系数呈线性关系,表明在Ni50Ti50深过冷液体所表现出的快速晶化行为是由原子扩散而不是粘度所决定的。基于计算模拟发现,产生这一结果的根本原因在于在高脆性深过冷液体中,原子扩散与液体粘度之间的退耦合,即斯托克斯- 爱因斯坦(D ~ η-1)关系的失效。这一液体结晶动力学系数与扩散系数的线性关系普遍存在于高脆性深过冷液体中,应该是深过冷液体的本征属性。
【图文导读】
图1.结晶度α(t)曲线

a. 不同温度下Ni50Ti50过冷液体结晶过程中结晶度随时间的关系曲线。空心圆显示KJMA模型的拟合结果。
b. 在最高温度825K下的快照,此温度下体系中只形成一个晶核。
c. 在最低温度700K下的快照,此温度下体系中同时存在多个晶核。
图2.晶核生长速率与温度(T)的关系曲线

上图是晶核生长速率与温度的关系曲线,插图中展示了三个代表性温度下,晶核等效半径随时间的变化,插图中实线表示斜率u = dR/dt。
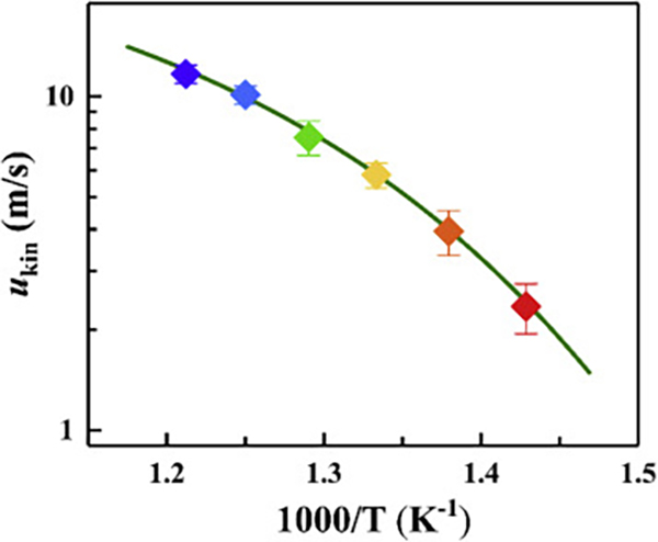
图3.晶核生长动力学系数随温度变化的曲线

图中实线由方程拟合得出,由此看出没有随温度线性变化,表现出很强的non-Arrhenius行为。
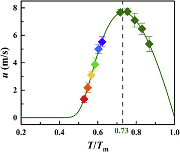
图4. 晶核生长速率u与温度的关系曲线

图中实线是展示了理论估算的生长速率,图中的菱形展示了不同过冷度下的模拟得到生长速率。理论值和模拟值基本重合,表明理论预测的可靠性。
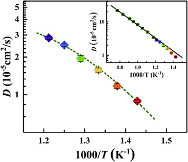
图5. 自扩散系数D与温度的依赖性

上图展示了深过冷液体在700 K到825 K的自扩散系数D随温度的变化关系,图中虚线展示了其non-Arrhenius行为。插图中展示了更宽温度范围下(700 K到1300 K),自扩散系数D随温度的变化关系,实线表示Arrhenius拟合。彩色菱形显示700-825K温度范围内的自扩散系数D偏离了Arrhenius行为。
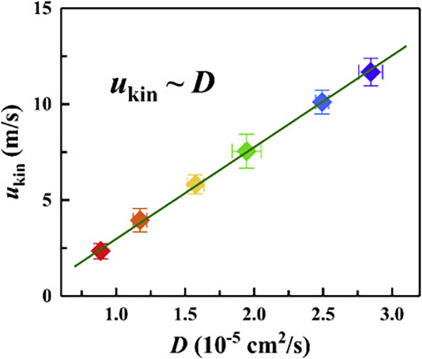
图6. 自扩散系数D与晶核生长动力系数的关系

图中显示了深过冷液体在700 K到825 K的温度范围内,自扩散系数D与晶体生长动力学系数呈线性关系。
【小结】
文章不仅揭示了深过冷液体快速结晶的动力学起源,而且为研究深过冷液体的结构弛豫指明了新方向。
文献链接:The linear relationship between diffusivity and crystallization kinetics in a deeply supercooled liquid Ni50Ti50 alloy(Acta Mater.,2018,10.1016/j.actamat.2018.04.008)
本文由材料人编辑部金属组熊富豪编辑,点我加入材料人编辑部。
材料测试,数据分析,上测试谷!





