当前位置: 材料牛 » HTH官网地址 » 导读 » 华中HTH官网地址 大学Nat. Commun.:臧剑锋团队在软材料中观测到弹性拓扑态

华中HTH官网地址 大学Nat. Commun.:臧剑锋团队在软材料中观测到弹性拓扑态

【引言】

近年来,拓扑绝缘体逐渐成为凝聚态物理领域的一个新热点,被认为是继石墨烯之后的Next Big Thing。数学中的拓扑概念描述了连续变形的空间,这个概念被用来描述晶体倒空间的能带,从而研究人员发现了一系列拓扑绝缘体,包括电子,光子,声子等。拓扑绝缘体的鲁棒性在量子计算和通信领域有着潜在应用。弹性拓扑绝缘体发展较为落后,目前的研究主要集中于理论模型(弹簧-振子体系)和仿真计算(FEM等),实验观测鲜有报道,这就极大的限制了弹性拓扑绝缘体在弹性波导,振动隔离,弹性储能方面的应用。此外,现在取得成果的弹性器件,如用于振动隔离弹性超材料大多是用刚性材料制成的,这就造成了器件的功能不可调控且单一。在以前的报道中,软材料曾被作为调控声子带隙的材料,但是其拓扑性质仍然无人知晓。因此,将软材料和弹性拓扑态结合,用力学方法调控拓扑性质,是一个有科学意义的课题。

【成果介绍】

近日,华中HTH官网地址 大学软纳米材料与器件实验室的臧剑锋教授团队在软材料弹性拓扑态领域取得突破性进展,在Nature子刊Nature Communications上发表了题为“Observation of Elastic Topological States in Soft Materials”的文章,报道了在软材料制成的弹性超材料中,用实验测量和数值计算的方法,观测到弹性拓扑态,并通过软材料的可逆力学形变调控弹性拓扑态。研究者用软材料Ecoflex制作成六角晶格的弹性超材料,首先计算了这种弹性超材料的声子能带随着填充率的变化情况,研究者发现通过调节填充率或者调节应变,在布里渊区高对称点M点有狄拉克点产生,当填充率或应变偏离此值时,狄拉克点被打开,且两条能带的Zak相发生了反转,从本征场图中也可以看到反转现象,这就意味着弹性超材料的弹性拓扑相发生了变化。进一步将拥有两种不同弹性拓扑相的超材料拼接在一起,就会在界面处形成弹性拓扑态,研究者通过实验测量和数值计算的方法观测到了弹性拓扑态,并且吻合良好。由于软材料模量小易形变的特性,研究者又提出用力学形变来调控弹性拓扑态的方法,即将一边的超材料固定,另一边的超材料形变,结果表明随着应变的增大,拓扑态会从无到有,并且相应频率逐渐降低。软材料和拓扑绝缘体的结合开创了柔性拓扑绝缘体的先河,为今后在振动隔离,波导传输和宏观(软体机器人)、微观(热传导)声子系统中的应用打下良好的基础。该项工作的第一作者为科研助理李帅锋,臧剑锋教授为通讯作者,其他作者包括华科的赵德刚,牛浩和祝雪丰。

【图文导读】

图一. 拓扑弹性超材料的设计和两种能带反转的过程

a. 由Ecoflex制成的柔性弹性超材料,插图为拉伸后的形变图;

b. 柔性弹性超材料结构示意图;

c. 由左至右,随着填充率d/R逐渐增大,声子能带的变化图。0和π为能带的Zak相,ς为带隙符号;

d. 固定d/R=0.68,由左至右,随着应变逐渐增大,声子能带的变化图。0和π为能带的Zak相,ς为带隙符号。

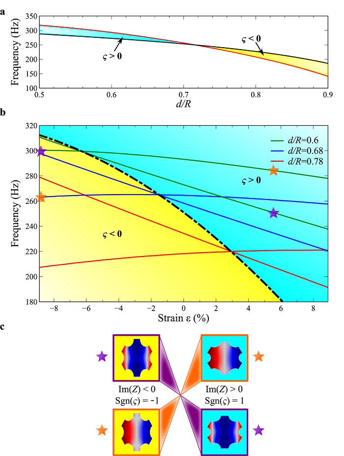
图二. 拓扑相图 

a. 布里渊区高对称点M点频率随填充率的变化;

b. 拓扑相图;

c. 图b中星号处的本征场。

图三. 数值计算弹性拓扑界面态

a. 数值计算透射的仿真图;

b. 沿kx方向的投影能带图;

c. 横波和纵波的透射随频率和入射角度的变化图。

图四. 实验观测弹性拓扑界面态及弹性波分束效果 

a. 实验装置实物图及分束效果示意图;

b. 由低频到高频,仿真场图;

c. 实验和仿真的弹性拓扑界面态的场图;

d. 实验观测弹性波分束效果。

图五. 拓扑体系的可调控性 

a. 实现可调节功能示意图;

b. 弹性拓扑界面态频率随应变的变化情况;

c. 横波透射峰随应变的变化情况;

d. 拓扑界面态存在于相应的应变-频率组合情况下,颜色对应于图b;

e. 弹性拓扑界面态只在一个频率下存在;

f. 动态形变下测量弹性拓扑界面态的实验图。

【小结】

本项研究通过合理设计柔性弹性超材料,运用数值仿真和实验观测的方法,展示了可逆的弹性拓扑相和可动态调节的弹性拓扑态,开创了柔性拓扑绝缘体的先例,形变导致的拓扑相变使得实现和动态调节拓扑态成为可能。这种思想还可以延伸至多种尺度,晶格设计也可以更加多样,以满足不同的声子频率,例如在小尺度的声子导热体系和大尺度的柔性机器人领域。本工作由国家自然科学基金,中组部千人计划以及华中HTH官网地址 大学支持。华中HTH官网地址 大学软纳米材料与器件实验室网站:www.softnano.org

文章链接:Shuaifeng Li, Degang Zhao, Hao Niu, Xuefeng Zhu & Jianfeng Zang, Observation of Elastic Topological States in Soft Materials, Nature Communications,9,1370(2018). https://rdcu.be/K6Da

本文由华中HTH官网地址 大学臧剑锋团队提供,特此感谢!

材料牛网专注于跟踪材料领域HTH官网地址 及行业进展,这里汇集了各大高校硕博生、一线科研人员以及行业从业者,如果您对于跟踪材料领域HTH官网地址 进展,解读高水平文章或是评述行业有兴趣,点我加入编辑部大家庭

欢迎大家到材料人宣传HTH官网地址 成果并对文献进行深入解读,投稿邮箱tougao@cailiaoren.com。

材料测试、数据分析,上测试谷

未经允许不得转载:材料牛 » 华中HTH官网地址 大学Nat. Commun.:臧剑锋团队在软材料中观测到弹性拓扑态

相关文章

Baidu
map