【引言】
通过快速降温来抑制结晶过程,液体将会转变成过冷液体(supercooled liquid),并在一定的温度时发生玻璃转变(glass transition)形成非晶态的玻璃。在特定的条件下,几乎所有的物质都能够转变成玻璃态,可见玻璃转变是自然界中普遍存在的现象。然而,玻璃和玻璃转变的本质仍然是一个未解之谜,并被《科学》杂志列为125个科学前沿问题之一,是最具挑战性的基础物理问题和当今凝聚态物理的重大前沿之一。近十几年来,玻璃化转变研究中的一个重要进展是发现了过冷液体具有动力学非均匀性(dynamic heterogeneity)。所谓动力学非均匀性,是指在一定的观测时间范围内,过冷液体中某些区域粒子的动力学行为快,而另一些区域粒子的运动学行为慢,从而造成了其动力学特征在空间分布上的非均匀性。大量的理论和实验研究表明,随着温度的降低,过冷液体的动力学非均匀性会伴随着结构弛豫时间的增大而增强。因此,人们普遍认为可以从动力学非均匀性的角度来理解趋向于玻璃转变的过程中所观测到的结构弛豫变慢现象。此外,不同过冷液体的弛豫变慢随温度改变的趋势也不尽相同,人们引入了脆度(kinetic fragility)这一参量来定量地描述这种趋势,并提出了强液体(strong liquid)和 脆液体(fragile liquid)的概念,但造成各液体间这一差异的物理本质还并不清楚,而对于这一本质的阐明将帮助我们更好地理解玻璃转变和玻璃的本质。
【成果简介】
近日,北京计算科学研究中心的管鹏飞研究员和中国科学技术大学的徐宁教授、中科院物理所的汪卫华院士合作,在Physical Review Letters上发表最新研究成果“Revealing the Link between Structural Relaxation and Dynamic Heterogeneity in Glass-Forming Liquids”。该文章第一作者为北京计算科学研究中心王利近博士。
文章首次发现了过冷液体的动力学非均匀性和脆度之间的定量关系,并从恒定动力学非均匀性的角度出发,给出了弛豫时间随温度变化的普适描述,揭示了过冷液体中动力学非均匀性与结构弛豫之间的内在关联性。
【图文导读】
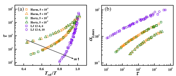
图1:经标度归一的过冷液体动力学表征。

(a) 对不同势函数和压力的系统,结构弛豫时间τ与标度归一温度Tref/T组成的Angell图;
(b) τ和α2,max的关联。
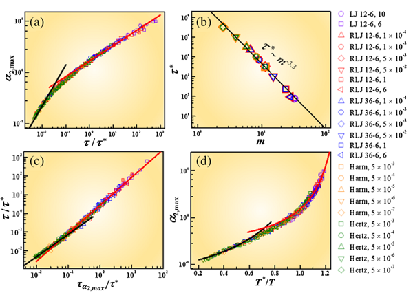
图2:动力学不均匀性、弛豫时间和脆度之间的定量关系。

(a) 非高斯参量的最大值α2,max与衰减结构弛豫时间τ/τ*的比值;
(b) τ*和动力学脆度m之间的关系;
(c) τ和τα2,max之间的普适标度。
(d) α2,max与标度归一温度T*/T的比值。
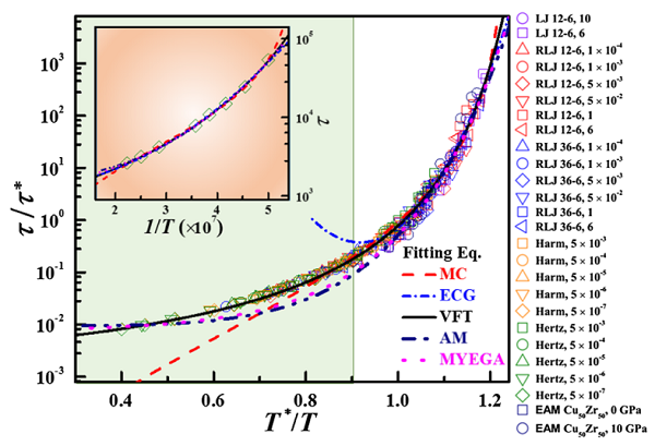
图3:归一化的结构弛豫时间τ/τ*与标度归一温度T*/T的比值。

图中曲线为VFT、MC、ECG、AM以及MYEGA形式的拟合曲线。内插图为Hertz系统在P=5×10-7压强下的弛豫时间τ(T),对应主图中阴影区域的归一化数据。
【小结】
通过对不同类型过冷液体(包括金属玻璃体系)动力学特性的计算模拟研究发现,过冷液体的脆度决定了其弛豫时间和动力学非均匀性之间的定量关系:即在恒定弛豫时间下(或观测时间内),具有相同脆度的各类型过冷液体具有相同的动力学非均匀性;过冷液体的脆度越大,其动力学非均匀性越强。进而给出了过冷液体中动力学非均匀性、弛豫时间和脆度之间的定量关联性,阐明了各过冷液体脆度的不同是起源于其动力学非均匀性差异的观点。并从恒定动力学非均匀性的角度出发,得到对各过冷液体结构弛豫的普适描述:对于不同类型的过冷液体,相同的动力学非均匀性状态下,可以得到各体系的特征时间尺度和特征温度,利用这两个特征参量可以很好地对所有过冷液体的弛豫时间和温度之间关系进行标度归一。这一研究结果表明,动力学非均匀性在认识过冷液体动力学特性,乃至对玻璃化转变本质的理解方面有着十分重要的地位。
对过冷液体动力学非均匀性的研究和理解,不仅仅可以帮助我们认识过冷液体本身,也对认识非晶材料,包括非晶合金有着重要的意义。非晶被认为是一种处于非平衡态的“冻结的液体”,非晶合金的结构和很多特性被认为遗传自发生玻璃转变前的过冷液体,其中非晶合金中非均匀性的本源就是由于玻璃形成液(过冷液体)的非均匀性。过冷液体中动力学非均匀性也伴随着密度、结构及元素分布的非均匀性,研究这些非均匀性之间的关联将帮助我们更好地理解非晶合金的结构及其相关物性,是非常有意义的课题。此外,目前在胶体和高分子体系中,人们已经可以通过实验手段来测量相应过冷液体的动力学非均匀性,该理论模拟研究成果预计将引起大家的关注并验证。
该研究工作得到了国家自然科学基金委、HTH官网地址 部、北京计算科学研究中心、中科院的资助。
文献链接:Revealing the Link between Structural Relaxation and Dynamic Heterogeneity in Glass-Forming Liquids(Phys. Rev. Lett.,2018,DOI:10.1103/PhysRevLett.120.125502)
【团队介绍】
管鹏飞
北京计算科学研究中心,研究员,博士生导师,
2014年入选中组部“青年千人计划”。
主要研究领域:
主要从事计算物理和计算材料科学研究,基于计算机模拟、理论分析并结合相关实验研究,探索非晶态形成及相关特性的物理本质,研究非晶态物质的结构、物性及其关联;表面/界面物理,研究低维功能材料宏观物性的微观机制;合金材料形变机制等。
学术兼职:
中国材料学会计算材料分会委员会委员
中国金属学会非晶合金与应用分会委员会委员
近5年科研项目、论文、奖励概况:
2014年入选中组部“青年千人计划”。主持和参与国家千人计划青年项目,国家自然科学基金面上项目及HTH官网地址 部重点研发计划等。目前已发表SCI期刊论文60多篇,包括Nature Materials 2 篇、Phys. Rev. Lett. 6篇、Advanced Materials 2 篇、Nature Communications 4 篇、JACS 1篇。
代表性论文:
- Lijin Wang, Ning Xu, Weihua Wang, Pengfei Guan*, Physical Review Letters 120, 125502, 2018
- Yuan Chao Hu, Yi Zhi Wang, Rui Su, Cheng Rong Cao, Fan Li, Chun Wen Sun*, Yong Yang, Peng Fei Guan*, Da Wei Ding, Zhong Lin Wang, Wei Hua Wang*. Mater. 28 (46), 10293 (2016)
- Guan, S. Lu, M. J. B. Spector, P. K. Valavala and M. L. Falk*, Physical Review Letters 110, 185502, 2013.
- F. Guan, T. Fujita, A. Hirata, Y. H. Liu and M. W. Chen*, Physical Review Letters 108 175501, 2012.
- Guan, M. Chen and T. Egami, Physical Review Letters 104, 205701, 2010.
本文由材料人计算材料组Isobel供稿,材料牛整理编辑。
材料牛网专注于跟踪材料领域HTH官网地址 及行业进展,这里汇集了各大高校硕博生、一线科研人员以及行业从业者,如果您对于跟踪材料领域HTH官网地址 进展,解读高水平文章或是评述行业有兴趣,点我加入编辑部大家庭。
欢迎大家到材料人宣传HTH官网地址 成果并对文献进行深入解读,投稿邮箱tougao@cailiaoren.com。
投稿以及内容合作可加编辑微信:cailiaokefu。
材料人重磅推出材料计算解决方案,组建了一支来自全国知名高校老师及企业工程师的HTH官网地址 顾问团队,专注于为大家解决各类计算模拟需求。如果您有需求,欢迎扫以下二维码提交您的需求。或点击链接提交,或直接联系微信客服(微信号:iceshigu)






