【引言】
非晶硅的结构被广泛地认为是四面体连接的连续随机网络,但其细节更为精细:缺陷环境,如三重悬挂键,以及中程有序度,都还未有定论。结合实验观测,原子级计算机模拟已经可以给出关于非晶硅结构的有用信息,而今,大尺度模拟模型中已包含成千上万的原子。随着基于线性机器学习的势函数,可达到接近量子力学级别的精确度,材料模拟有望更加接近真实结果——特别是对于描述非晶固体来说。
【成果简介】
随着计算机模拟能力的不断发展提升,研究人员可以对非晶态材料逐步展开描述,但想要深入理解非晶态材料的精细原子结构,还需要发展新的方法。
近日,英国剑桥大学的Volker L. Deringer博士在Angewandte Chemie上发表了题为“Quantifying Chemical Structure and Machine-Learned Atomic Energies in Amorphous and Liquid Silicon”的文章。文章描述了一个普适的、基于机器学习的局域结构和局域能量定量化方法,非晶硅模型中的所有单个原子都适用。作者首先引入结构坐标将短程序和中程序环境统一化,之后把结构信息和二维分布图中的能量稳定性坐标相结合。此前的研究中,机器学习预测的原子能量被用作理解分子和晶体结构的稳定性和化学本质、加速结构优化,有关非晶态和液态物质的原子级稳定性及性质的相关信息更加缺乏,因此作者将这一分析方法迁移过来。
【图文导读】
图1:使用熔融快淬模拟并基于机器学习得到量子力学精度的势函数得到的逐步有序化的非晶硅网络。
(a)冷却速率的尺度和相应所需的模拟时间;
(b)随体系中的短程序逐渐增加,使用既定序参量定量化,处于理想四面体环境时序参量值为1;
(c)随中程序的增加,计算体系中的六元环数可对结构进行评价;
(d)使用SOAP分析对两种长度尺度进行统一化描述。
图2:机器学习获得的非晶硅原子能量。
(a)样品的局部结构示意图,红色代表具有悬挂键缺陷的高能原子,白色代表发生形变的四面体环境的原子,能量居中,蓝色代表处于更规整、低形变度的四面体环境的原子,能量最低;
(b)经1014K/s快淬所得结构的原子能量直方图;
(c)经1011K/s快淬所得更有序结构的原子能量直方图;
(d)二维图像表示结构序和单个原子的高斯近似势局域能的关联;
(e,f) 经1011K/s快淬锁的结构的局域电子态密度,可以看出三键和五键的配位缺陷有着不同的电子“指纹”。
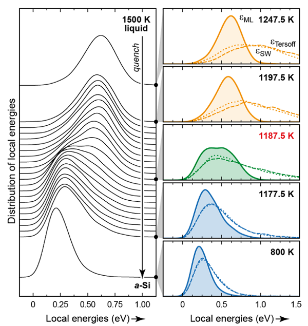
图3:液态硅及其快冷过程中演变为非晶态构型的“机器学习化”原子能量。

【小结】
文章呈现了基于机器学习技术如何从定量化学的视角给出非晶硅原子尺度的结构信息。作者通过局域稳定性的定量描述,将最近邻结构和次近邻结构信息相结构。作者用这一方法对不同有序度的非晶硅系综进行分析,通过不同的能量稳定性区域将非晶硅的配位缺陷联系起来,这一方法也可以应用于局域能在发生玻璃化时出现明显转变的液态硅。该方法直接明了且应用成本较低,因此对于发展对液态和非晶态物质的定量化理解有着更为普遍的意义。
文献链接:Quantifying Chemical Structure and Machine‐Learned Atomic Energies in Amorphous and Liquid Silicon(Angew. Chem.,2019,DOI:/10.1002/ange.201902625)
本文由材料人计算材料组Isobel供稿,材料牛整理编辑。
欢迎大家到材料人宣传HTH官网地址 成果并对文献进行深入解读,投稿邮箱tougao@cailiaoren.com。
投稿以及内容合作可加编辑微信:cailiaokefu





