当前位置: 材料牛 » HTH官网地址 » 导读 » Energy. Environ. Sci.:对卤化铅钙钛矿材料的高温激子态及其捕获行为的研究

Energy. Environ. Sci.:对卤化铅钙钛矿材料的高温激子态及其捕获行为的研究

【引言】

在高效光伏、发光和探测等方面,钙钛矿杂化金属卤化物材料具有广泛的应用前景。这些成功主要得益于该类材料优异的光电特性,包括在可见区域的~105 cm-1的高光吸收系数(α),具有超过1μs的长寿命和极慢的热载流子冷却过程。这些特性背后是一种内在的光物理机制,它决定了光的吸收,载体的热化和冷却,以及重组或电荷转移动力学过程。

最近的研究强调了热声子瓶颈和极化子的存在对热载流子散射的屏蔽效应,以解释这些材料的激发态载流子动力学。在冷却之后,有报道显示,在高温下,自由的载体形成占主导地位,同时还观测到了激子振荡、局域和转移等物理过程。钙钛矿的带边光吸收则可能是由这些激子态引起的,然而,其它报道指出,带边光吸收性质是由带尾态或间接带隙贡献的。显然,在钙钛矿的直接带边之下的低能电子态在决定其光电特性方面起着关键作用。然而,对这些电子能态的研究尚未获得共识,进而导致了研究人员对钙钛矿材料最基本光学和材料特性的持续的争论,比如单晶的低能量吸收,超长的载流子冷却和复合寿命,自由载流子-激子,以及直接和间接带隙特性。

【成果简介】

近日,来自中国科学院物理所的孟庆波教授团队和澳洲莫纳什大学的Jacek J. Jasieniak教授合作在Energy. Environ. Sci.发表文章,题为:“Identification of High-Temperature Exciton States and Their Phase-Dependent Trapping Behaviour in Lead Halide Perovskites”。研究人员研究了多晶和单晶钙钛矿材料的带边和次带能级特性,以便更好地理解它们的光物理起源。通过温度、激发强度和时间相关的光学测量,研究人员在高达300K的很宽的温度范围内均观测到了钙钛矿材料内共存的两种激子能态(被认为是自由和束缚态激子)。这些激子态可以解释之前备受争议的低能吸收和多峰辐射现象。此外,这些激子的俘获和复合动力学过程,被证明强烈依赖于钙钛矿的结构相。正交相表现出了超快的激子俘获和显著的缺陷态辐射,而四方相则给出了很低的单分子复合速度和极小的电荷捕获截面(10-18 cm2)。基于多声子跃迁和晶格弛豫理论,研究发现,电荷捕获的抑制主要得益于电荷俘获激活能的增加,可能是由于正交-四方相变后无机框架内电子–晶格相互作用的减弱。这很好地解释了这些材料系统中超长的载流子寿命。这些发现使研究人员对钙钛矿材料的光物理性质的起源有了更清晰的认识,并且发现了高温稳定的激子态。在设计基于钙钛矿材料的能量转换和利用器件时,这些激子态将成为关注点之一。

【图文导读】

图1. 不同浓度MAPbBr3分散液的光吸收特性

(a)归一化的光吸收光谱;

(b)低能光吸收与浓度的关系;

(c),(d) 0.002 M和0.2 M钙钛矿浓度的光吸收曲线及拟合;

(e) 在增加钙钛矿浓度时,激子吸收的演化过程。为了清晰起见,连续带吸收项已被减去。

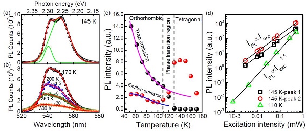
图2. MAPbBr3薄膜温度相关的稳态PL光谱

实验测得的PL光谱(a) 145K,(b) 170 K, 200 K, 250 K和300 K;

(c) 温度相关的激子和缺陷态辐射强度;

(d) 110 K和145 K时,激发强度(Iexc)依赖的激子PL强度(IPL)。

图3. 钙钛矿单晶的PL

发射波长和时间衰减依赖的MAPbBr3单晶瞬态PL二维彩图(165 K, (a)表面(b)体相);体相材料是通过单晶解理获得的,它被一个薄的PMMA层保护着。

在2ns和5ns的时间延迟中,钙钛矿单晶的典型的PL光谱((c)表面(d)体相);

(e)室温下,通过监测泵浦密度与PL强度的关系,对钙钛矿陷阱密度进行测量;

图4. 低温条件下,钙钛矿的激子俘获和陷阱辐射

(a) 70K,瞬态PL与发射波长和延迟时间相关的二维彩图(归一化PL强度);

(b) 早期的瞬态PL;

(c) 半导体中,导带(UC)、缺陷态(Ut)和价带(UV)的一维位形图;

(d) 70K,钙钛矿的激发强度相关的稳态PL光谱;

(e) 不同温度下,缺陷态PL峰值与强度间的对数关系;

【总结】

研究人员系统地研究了杂化卤化铅钙钛矿材料的带边和次带能态的吸收和发射特性,从而获得了激子和缺陷态及其动力学特性。在多晶体和单晶(包括表面和体相),在高达300K的很宽的温度范围内均发现了自由和束缚态激子态的共存。研究发现,激子的辐射和俘获过程与陷阱态密切相关,并表现出物相依赖行为。对于正交相,激子可以在皮秒量级内被捕获,而产生强的缺陷态辐射。对于四方相,这一过程是被显著抑制的,获得了低至10-18 cm2量级的电荷俘获截面以及长达数百纳秒的载流子寿命。这种行为在多声子跃迁理论中得到了解释。相变后电子–晶格相互作用的减弱,导致激子捕获激活能的增加,进而抑制了快速的电荷捕获行为。这些研究发现有助于研究人员更深入地理解了钙钛矿材料独特的光物理特性,并且对于通过能态性质调控以获得更高性能的钙钛矿光电器件具有重要的指导意义。

文献链接:Identification of High-Temperature Exciton States and Their Phase-Dependent Trapping Behaviour in Lead Halide Perovskites, (Energy. Environ. Sci., 2018, 10.1039/C7EE03543H)

本文由材料人新能源学术组Z. Chen供稿,材料牛整理编辑。

材料牛网专注于跟踪材料领域HTH官网地址 及行业进展,这里汇集了各大高校硕博生、一线科研人员以及行业从业者,如果您对于跟踪材料领域HTH官网地址 进展,解读高水平文章或是评述行业有兴趣,点我加入材料人编辑部

欢迎大家到材料人宣传HTH官网地址 成果并对文献进行深入解读,投稿邮箱:tougao@cailiaoren.com。

投稿以及内容合作可加编辑微信:RDD-2011-CHERISH,任丹丹,我们会邀请各位老师加入专家群。

材料测试,数据分析,上测试谷

未经允许不得转载:材料牛 » Energy. Environ. Sci.:对卤化铅钙钛矿材料的高温激子态及其捕获行为的研究

相关文章

Baidu
map