日前,材料领域国际知名期刊Progress in Materials Science发表了北京HTH官网地址 大学张勇教授课题组题为Serration and Noise Behaviors in Materials(材料中的锯齿流动和噪声行为)的综述论文,其中合作者有博士生刘俊鹏为第二作者、美国田纳西大学的陈淑英博士、PK Liaw教授课题组、美国伊利诺大学的Dahmen教授、太原理工大学的乔珺威教授、和北科大的王艳丽教授。该论文主要介绍了材料在塑性变形过程中的锯齿流动现象、影响因素和理论模型进展,并总结了该领域存在的关键科学问题和未来的发展方向。
锯齿流动行为是指材料在塑性变形过程中产生的应力/应变垮塌现象,是变形过程中材料局部失稳的外在表现。材料在受到外场作用下产生的锯齿流动现象在时间和空间上呈现出无序的分布,它的形成与材料流变结构单元体紧密相关。

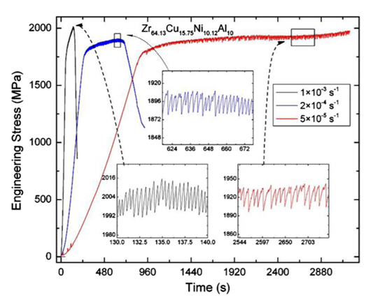
图1 非晶材料中的锯齿流动现象
作为材料内部流动单元体在时空关联领域无序响应的典型特征,锯齿流动现象在低碳钢、铝镁合金、非晶态合金、高熵合金、和纳米材料等先进材料中广泛存在。在塑性变形过程中的锯齿流动现象,客观反映了材料变形机制的一些特征,例如间隙溶质原子或置换溶质原子与位错的交互作用、局部剪切失稳、晶界迁移、孪晶、及相变的产生等;同时,锯齿流动特征受多方面的因素影响,如服役温度、应变速率、热处理工艺等外部因素和成分、晶粒形貌、尺寸及相组成等材料的内部特征。这使得锯齿行为成为研究材料内部变化的极佳载体,但由于影响因素的多元化和复杂化,使得该领域的深入研究极具挑战。本文详细总结了该领域的研究进展,并对未来的研究方向进行了展望,为研究材料变形过程中的锯齿行为提供了有益参考。

图2 材料中宏观服役行为与微观机制的关联
北京HTH官网地址 大学张勇教授课题组是较早开展高熵材料和锯齿行为相关研究。出版中文专著一部《非晶与高熵合金》;合作出版英文专著一部《High Entropy Alloys: Fundamentals and Applications》;和李蕊轩一起参与了英文专著《Magnetic Sensors: Development Trends and Applications》第一章《Magnetic Fibers》的编写。参与两部教材章节“高熵合金”和“非晶合金的物理基础”的写作。参与组办中国材料研究学会的主题为“高熵合金和锯齿行为”的分会场;和2016年美国MRS秋季会议“High entropy alloys”及2015年美国MS&T会议“Large fluctuation and collective phenomena”的学术研讨会。获得教育部自然科学1等和2等奖各一次,和山西省科学技术2等奖。

该论文是张勇教授受邀在Progress in Materials Science上发表的第二篇综述论文。自2014年张勇教授发表题为“Microstructure and Properties of High-entropy alloys”的综述论文(Prog. Mater. Sci., 61, 2014:1-93)以来,该领域迅速成为国际热点,目前该论文的SCI引用次数已超600次,显著提升了国内学者在该领域的国际影响力。
该项研究得到了HTH官网地址 部和国家自然科学基金委的支持(编号:2009AA03Z113、51471025、51671020)。
本文由材料人特约作者吴禹翰邀请,张勇教授课题组撰稿。





