【引言】
晶体可塑性揭示了晶体中集体位错动力学的临界性,临界现象包括幂律分布应变爆发和间歇声发射信号,源于位错活动的雪崩。为了解决突发错位动力学的基本性质问题,理解这种爆发或激发是如何由应力引发的是至关重要的。
【成果简介】
近日,芬兰阿尔托大学的Stefano Zapperi(通讯作者)等人在Phys. Rev. Lett.上发表了题为“Excitation Spectra in Crystal Plasticity”的文章。在这篇文章中,研究人员研究位错集合的边际稳定性,并计算它们的二维和三维激发光谱。其结果表明在激发应力分布中存在奇异点,使得局部区域不稳定所需的应力与在无定形塑性和自旋玻璃中测量的应力非常相似。这些结果不仅可以解释突发性晶体可塑性的临界性,还解释了它们是如何从激发光谱中的一个伪隙产生的。
【图文导读】
图一:位错组件面对局部应力扰动的稳定性
从二维DDD模拟的例子中,单个位错(被一个小圆圈包围)受线性增加的局部外部应力σ(用箭头表示),颜色编码对应于位错的瞬时速度,表明位错活动趋向于直接受扰动而扩散到位错之外。三维位错系统的例子中,红色球体对应于施加局部外部应力σ以激发位错活动的位置。
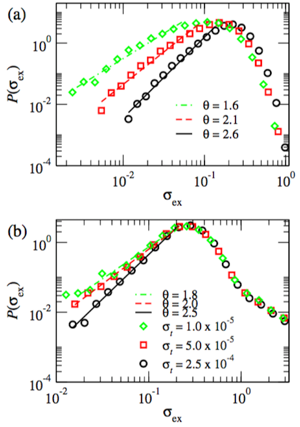
图二:纯粹错位系统的三个不同应力率σt的激发光谱
(b)显示只有受到局部应力扰动的位错才能移动的系统的相应数据。 对于小的σex,所有的分布都是奇异的(θ> 0)
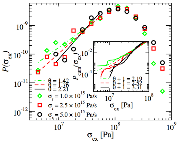
图三:三个不同σt三维模拟的激发光谱
所有的位错都可以移动,而且没有急性失调。与σt相关的θ指数与2D DDD模型中发现的相似
【小结】
在这篇文章中,研究者进行了二维和三维DDD模拟以确定晶体塑性激发光谱在σex→0处表现出奇异行为,这与随机介质中展现出去除过渡的弹性流形的已知行为不一致。可能的原因是位错之间的各向异性、非正定的相互作用、类比于四极Eshelby型应力场。并且,即使在可忽略的外部应力下也表现为临界状态的波动或塑性崩塌。另一方面,冷冻杂质场的存在导致激发应力σex的有限最小值,与真实临界点或屈服应力一致。最后,研究者指出二维胶体晶体可能会提供一个有趣的实验系统以供测试该结果。
文献链接:Excitation Spectra in Crystal Plasticity(Phys. Rev. Lett.2017,DOI: 10.1103/PhysRevLett.119.265501)
本文由材料人编辑部计算材料组daoke供稿,材料牛整理编辑。
材料牛网专注于跟踪材料领域HTH官网地址 及行业进展,这里汇集了各大高校硕博生、一线科研人员以及行业从业者,如果您对于跟踪材料领域HTH官网地址 进展,解读高水平文章或是评述行业有兴趣,点我加入材料人编辑部。
材料人重磅推出材料计算解决方案,组建了一支来自全国知名高校老师及企业工程师的HTH官网地址 顾问团队,专注于为大家解决各类计算模拟需求。如果您有需求,欢迎扫以下二维码提交您的需求。或点击链接提交,或直接联系微信客服(微信号:iceshigu)









