当前位置: 材料牛 » HTH官网地址 » 导读 » Acta Mater.:第一性原理建模计算Ni3Al基合金的超晶格本征层错能

Acta Mater.:第一性原理建模计算Ni3Al基合金的超晶格本征层错能

【引言】

目前,Ni基高温合金具有优异的高温力学性能而被广泛用于高性能航空发动机,高温合金中的有序γ’(L12)Ni3Al沉淀物占有很大体积分数,温度对由有序强化产生的析出物的剪切强度和屈服应力有很大影响,Ni基超级合金在高温下具有极高强度和变形抗力。SISF能量对于在滑移过程所形成的位错的结构和能量有重要影响。有研究表明,在高应力和低中温蠕变下,γ’相发生剪切(初级蠕变),相对于其他堆垛层错配置而言,主要的面缺陷能是能量较低的SISF和SESF。了解对合金化过程中这些面缺陷能变化,可以更好地理解镍基高温合金中γ’相强化的剪切机制,同时在基于物理学的变形模型的开发航天和发电系统中也是至关重要的。

【成果简介】

近日,伯明翰大学A. Breidi (通讯作者兼第一作者)Acta Mater.上发表了题为“First-principles modeling of superlattice intrinsic stacking fault energies in Ni3Al based alloys”的文章。他们通过添加一种特定的三元元素x到Ni3Al基体,再用量子力学方法,探测堆垛层错能的变化与复杂的多组分镍基高温合金的力学性能的关系。镍基高温合金的复杂性需要考虑的因素有:多种合金元素(多达10-15),微观结构的复杂性(两相混合物),以及化学因素。其中由于建立固溶体模型的困难以及很高的计算成本,化学因素最为关键,在考虑堆垛层错能量的同时还要恰当地表示化学随机性是很具有挑战性的一项任务。
研究着力于通过采用多种过渡金属(TM)元素,探究化学因素是如何影响Ni3Al基合金的SISF能量,并建立以SISF能量的变化作为合金组成x的函数。主要探究以下问题:Ni3Al基的伪二元合金中的SISF能量的变化性质是否与Ni基二元合金相似?在相似的组成下,SISF能量的大小与反相界(APB)的大小的关系如何?不同的合金元素对SISF能量是否有不同的影响?在伪二元体系中,SISF能量的变化是否可以微调多组分合金的SISF能量,从而优化抗蠕变性?

【图文导读】

图1 Ni75-xXxAl25合金的晶格参数随三元素组成x(at.%)的变化与实验(RT和293 K)数据对比

a)x为Co
b)x为Cu
c)x为Pd
d)x为Pt

图2 Ni75Al25-xXx合金的平衡晶格参数随三元素组成x(at.%)的变化与实验数据(RT和293K )对比

a)x为Ti(文章通读没找到对图二的解释,即图c不清楚是什么元素)
b)x为V
d)x为Zr
e)x为Nb
f)x为Mo
g)x为Hf
h)x为Ta
i)x为W

图3 Ni75-xAl25-xX2x合金的平衡晶格参数随三元素组成x(at.%)的变化

a)x为Cr
b)x为Mn

图4 合金Ni75Al25-xXx和Ni75-xAlxX25的平衡晶格参数与在组成2.34375 at.%处的相同元素d-电子计数的变化的关系

可观察到最低限度朝向TM系列的中心。最小值在4和5d带系列非常明显,Cr / Mn / Fe / Co / Ni元素的强磁性会导致整个3d系列的波动,抛物线最小值与位于中心的元素相对于外围元素的最大内聚能有关。

图5 L1Ni-Al-Fe体系平衡晶格参数随合金化组成x的变化

0 K数据对应于合金,取决于Fe的择优位置

图6 合金化三元素X与组成x一起引入到镍亚晶格中后导致SISF能量的改变

(a)x为Co
(b)x为Cu
(c)x为Pd
(d)x为Pt

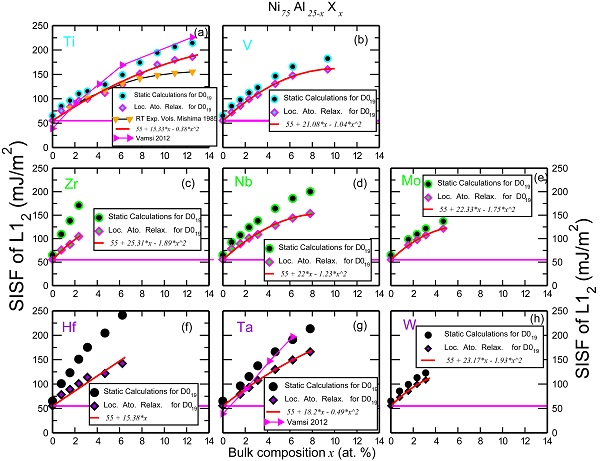
图7 异于Al位置加入具有组成x的合金化三元素X导致SISF能量的变化

图(a)中,向下的橙色三角形表示在RT实验体积下SISF能量的计算值

图8 三元相加入等量的原子并同时进入子晶格后SISF能量的变化

(a)x为Cr

(b)x为Mn

(c)x为Fe

图9 SISF能量变化率与合金组成x的关系

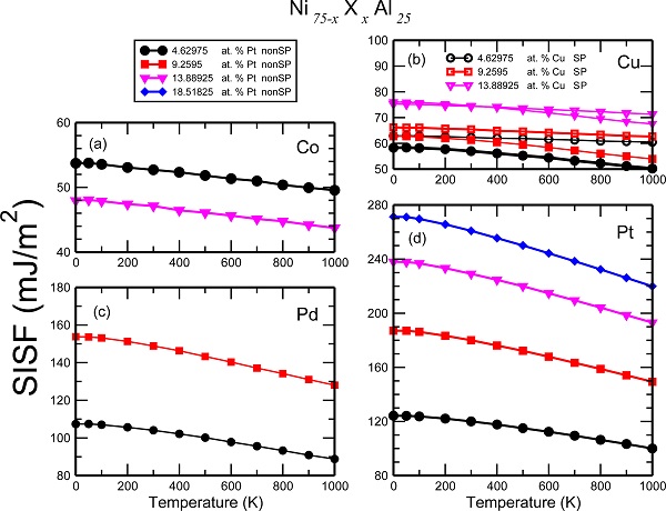
图10 温度对SISF能量与L12 Ni0.75-xXxAl合金的关系

除了Hf以外,所有代替Al位的合金元素都是线性递减的关系。合金成分的不同,取代Ni位置的元素会呈现负的或正的线性相关性。

【小结】

研究中,在重新计算后可以在Ni3Al基合金中建立以成分变化x为自变量,晶格参数和SISF能量变化为因变量的函数。除了Fe和Co之外,所有的三元加成都能让以组分x为自变量、晶格参数为因变量呈线性增加关系;除钒之外,晶格参数随成分增大而单调降低。取代Al的铁和所有三元素都会增加SISF能量,与引入合金元素会减少层错能的γ-Ni情况形成对比。这可增加γ’的析出、提高了抗剪切能力,最终可提高Ni高温合金的高温强度。仅Co会降低SISF能量,促进γ’相层错发生断裂,从而促进初生蠕变。
研究过程中建立了SISF能量对三元素组成x的分析依赖性,x受限于溶解度极限;在改善基于物理的原始蠕变变形模型的状态中,(111)SISF能量对伪二元系统的三元功能组成依赖性可能微调多组分合金中的SISF能量,优化抗蠕变性能;在热效应的初步计算中发现SISF能量随着温度的降低而降低。合金堆垛层错计算的取得了重大进展,未来的研究与改进必须考虑温度和短程有序效应。

文献链接:First-principles modeling of superlattice intrinsic stacking fault energies in Ni3Al based alloys(Acta Mater., 2017,DOI: 10.1016/j.actamat.2017.11.042)

本文由材料人编辑部新人组欧仪编辑,陈炳旭审核,点我加入材料人编辑部

材料人重磅推出材料计算解决方案,组建了一支来自全国知名高校老师及企业工程师的HTH官网地址 顾问团队,专注于为大家解决各类计算模拟需求。如果您有需求,欢迎扫以下二维码提交您的需求。或点击链接提交,或直接联系微信客服(微信号:iceshigu)

未经允许不得转载:材料牛 » Acta Mater.:第一性原理建模计算Ni3Al基合金的超晶格本征层错能

相关文章

Baidu
map