当前位置: 材料牛 » HTH官网地址 » 导读 » 北航张渊Adv. Funct. Mater.:非富勒烯有机太阳能电池的能量无序对开路电压的影响

北航张渊Adv. Funct. Mater.:非富勒烯有机太阳能电池的能量无序对开路电压的影响

【引言】

过去几年中,基于有机物给体与非富勒烯受体共混的有机块体异质结(BHJ)太阳能电池得到迅速发展,最高效率已经突破到13%。然而非富勒烯聚合物太阳能电池开路电压的损耗一直是让业界困扰的问题,因此了解开路电压的损耗机制是进一步提高光伏性能的关键。

内容简介

近期,北京航天航空大学张渊教授与国家纳米科学中心的周惠琼教授(共同通讯作者)在Adv. Funct. Mater.上发表了一篇名为“Effects of Nonradiative Losses at Charge Transfer States and Energetic Disorder on the Open-Circuit Voltage in Nonfullerene Organic Solar Cells”的文章。该研究通过研究三种不同类型的高效率聚合物太阳能电池,探索了电荷传输、能量无序和电荷转移态对开路电压损耗的影响。

图文简介

图1:选取的三种电池的材料结构、电池结构与器件性能

(a). 材料的分子结构和电池的结构示意图;

(b). 三种电池的J-V曲线;插图为材料能级图;

(c). 三种电池的吸收光谱;

(d). 三种电池的EQE。

2:各种受体的有机太阳能电池短路电流和开路电压与光强的曲线,光电流与有效偏压的关系

(a). 不同受体的BHJ太阳能电池的短路电流和开路电压与光强的曲线;

(b-d). 不同受体的BHJ太阳能电池的光电流与有效偏压的曲线。

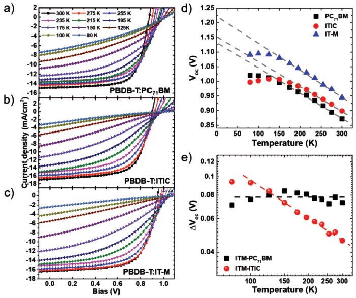
3:器件不同温度下的性能测试

(a-c). 三种BHJ电池在不同温度下的J-V曲线;

(d). 三种BHJ电池的开路电压随温度的变化趋势;

(e). PC71BM和ITIC器件的开路电压的差值随温度的变化趋势。

4:载流子迁移率与温度的依赖关系

(a-b). 不同BHJ薄膜的空穴迁移率与电子迁移率随温度的变化关系;

(c). 空穴迁移率与电子迁移率之比与温度的变化关系;

(d). 给体与受体材料界面的能带图。

5EQE与电子能谱测试

(a). 不同BHJ太阳能电池的高精度EQE光谱谱;

(b). 纯的聚合物给体和受体的高精度EQE谱;

(c). 不同BHJ太阳能电池的电致发光谱;

(d). 不同BHJ太阳能电池的电致发光量子效率。

小结

  研究者系统地研究了三种不同类型受体材料有机BHJ太阳能电池的开路电压损失的具体原因。结果表明,最大限度地减少能量无序度是减缓开路电压损失和改善器件的性能的关键。这项工作对于提高新兴非富勒烯太阳能电池的效率具有指导意义。

文献链接:Effects of Nonradiative Losses at Charge Transfer States and Energetic Disorder on the Open-Circuit Voltage in Nonfullerene Organic Solar Cells (Adv. Funct. Mater. 2017, DOI: 10.1002/adfm.201705659)

团队介绍

张渊课题组隶属黑格尔北京研究与发展中心和北航化学学院,课题组成立于2015年秋季。目前主要从事有机和钙钛矿材料性质的研究以及在能源转换、光探测器等方面的应用。课题组PI长期从事有机半导体器件物理性质的研究,偏重于对材料光电性质和器件工作机理的理解,积累了较丰富的研究经验,目前团队有10人左右。

相关文章

Understanding Charge Transport and Recombination Losses in High Performance Polymer Solar Cells with Non-Fullerene Acceptors (DOI:10.1039/C7TA05865A)

本文由材料人编辑部新能源学术组金也供稿,材料牛编辑整理。

材料人网专注于跟踪材料领域HTH官网地址 及行业进展,这里汇集了各大高校硕博生、一线科研人员以及行业从业者,如果您对于跟踪材料领域HTH官网地址 进展,解读高水平文章或是评述行业有兴趣,点我加入编辑部

欢迎大家到材料人宣传HTH官网地址 成果并对文献进行深入解读,投稿邮箱tougao@cailiaoren.com。

投稿以及内容合作可加编辑微信:RDD-2011-CHERISH,任丹丹,我们会邀请各位老师加入专家群。

材料测试、数据分析,上测试谷

未经允许不得转载:材料牛 » 北航张渊Adv. Funct. Mater.:非富勒烯有机太阳能电池的能量无序对开路电压的影响

相关文章

Baidu
map