【引言】
氢能是满足可持续发展的要求最具潜力的绿色能源载体之一。钼基电催化剂(MoS2, Mo2C, MoO2, MoP, MoB等)具有类Pt的表面电子结构及体相金属性,因此在酸性和碱性介质中均展现出优异的HER性能。进一步提升钼基电催化剂的HER性能,主要取决于优化它们的电声结构。特别地,如何促进质子在钼基电催化剂上的吸附和活化,同时不改变催化剂的金属性,是实现其高效析氢反应的重要挑战。
【成果简介】
近日,北京大学郭少军教授、武汉理工麦立强教授、不来梅大学Lyudmila Moskaleva(共同通讯)等人基于金属-半导体肖特基结原理,创造性地构筑了具有Schottky效应的MoB/g-C3N4析氢催化剂。通过一系列的谱学测试发现,n型半导体g-C3N4的引入使得MoB/g-C3N4 界面处产生了明显的电荷再分布,增加了MoB表面的局部电子密度。该肖特基催化剂展现出良好的HER活性,Tafel斜率达为46 mV dec-1,交换电流密度高达17μA cm-2,远高于MoB。第一性原理计算表明,Schottky效应可以显著促进质子在MoB表面的吸附和活化, 有利于表面氢气的生成。相关成果以为“MoB/g-C3N4 Interface Materials as a Schottky Catalyst to Boost Hydrogen Evolution”发表在了Angewandte Chemie International Edition上。
【图文导读】
图1 肖特基结电催化剂能带图

(a,b)(a)肖特基接触前和(b)接触后金属MoB和n型半导体g-C3N4 的能带图
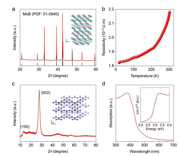
图2 MoB的金属性及g-C3N4的半导体性质分析
(a,b)(a)MoB的XRD和(b)变温电阻率数据
(c,d)(c)g-C3N4的XRD和(d)紫外可见光谱(UV-vis)数据
图3 性能测试
(a,b)(a)MoB及MoB/g-C3N4的极化曲线及(b)Tafel斜率
(c)不同质量比例的MoB/g-C3N4的HER性能
(d)MoB/g-C3N4的析氢稳定性
图4 谱学表征

(a,b)(a)MoB及MoB/g-C3N4的Mo 3d5/2 XPS及(b)Mo-M3,2 ELNES
(c,d)(c)g-C3N4及MoB/g-C3N4的PL及(d)UPS
图5 第一性原理计算

(a,b)(a)MoB/g-C3N4的计算模型及(b)电荷密度分布
(c)MoB及MoB/g-C3N4的析氢反应路径及过渡态
【小结】
该研究基于固体能带理论,展示了通过引入n型半导体g-C3N4以形成Schottky结来优化金属MoB的HER催化活性的巧妙策略,为优化金属型电催化剂开辟了新的途径。
文献链接:MoB/g-C3N4 Interface Materials as a Schottky Catalyst to Boost Hydrogen Evolution(Angew.Chem.Int.Ed.,2017,DOI:10.1002/anie.201708748)
【麦立强教授课题组介绍】
麦立强教授课题组主要开展新型纳米储能材料与器件领域的前沿探索性研究,包括新能源材料、微纳器件、面向能源的生物纳电子界面等前沿方向。率先将纳米器件应用于电化学储能研究,重点开展了纳米电极材料可控生长、性能调控、器件组装、原位表征、电输运与储能等系统性的基础研究,取得了一系列国际认可的创新性成果。课题组近年来主持/承担了国家重点基础研究发展计划、国家国际HTH官网地址 合作专项、国家杰出青年基金、教育部“长江学者特聘教授”、创新团队发展计划、国家青年千人计划、国家自然科学基金、教育部新世纪优秀人才计划等20余项。目前,实验室在Nature Nanotechnology, Nature Communications, PNAS, Advanced Materials, Energy & Environmental Science, Nano Letters等国际著名期刊发表学术论文250余篇,其中影响因子大于10的60余篇,29篇论文入选ESI 近十年高被引论文,4篇入选ESI全球TOP 0.1%热点论文;取得授权国家发明专利50余项。获中国青年HTH官网地址 奖、光华工程HTH官网地址 奖(青年奖)、湖北省自然科学一等奖、侯德榜化工科学技术奖(青年奖)、Nanoscience Research Leader奖、入选“百千万人才工程计划”、国家“万人计划”领军人才,并被授予“有突出贡献中青年专家”荣誉称号;指导学生获得 “中国青少年HTH官网地址 创新奖”(3届),全国大学生“挑战杯”特等奖(1届)、一等奖(2届)、二等奖(4届),中国大学生自强之星标兵(1届)和2014年大学生“小平HTH官网地址 创新团队” 等湖北省自然科学一等奖一项。
麦立强教授课题组链接:http://mai.group.whut.edu.cn
【郭少军教授课题组介绍】
北京大学郭少军课题组,研究方向为新材料、催化、新能源、光电器件以及生物传感技术,致力于通过多学科交叉的研究为催化、能源、环境和生物学科的发展提供新的可能和机遇。曾获得多项重要的学术奖励和荣誉称号,包括2014,2015和2016年连续三年入选汤森路透世界高被引科学家,2016 International Society of Electrochemistry-Elsevier国际电化学奖,John Wiley&Son出版社的“Materials Views”专栏对申请人进行了专访 (2016. 01),国家青年千人计划,美国国家实验室奥本海默杰出学者和中国科学院百篇优秀博士论文等。迄今已在国际著名学术期刊Science, Nature Commun., Science Advances, Chem. Soc. Rev., Acc. Chem. Res., JACS, Adv. Mater., Angew. Chem., Nano Lett., ACS Nano, Nano Today, Adv. Energy Mater., Energy Environ. Sci.和AFM等共发表学术论文200篇和书章节4部,其中通讯/第一作者影响因子大于10的50余篇、ESI Top 1%高引用率文章43篇、ESI Top 0.1%热点文章7篇、亮点文章/封面文章6篇/VIP文章15篇、单篇引用超过100次的文章38篇和超过700次的3篇。发表文章已被引用14000余次,H指数为66。目前担任Scientific Reports和Journal of Materials Science & Research编委、国际电化学能源科学院委员以及Chem. Rev., Angew. Chem., JACS, Adv. Mater., Nat. Commun., Adv. Funct. Mater., Adv. Energy Mater.和Energy Environ. Sci.等80多个主要国际学术期刊的特邀审稿和仲裁专家。
郭少军教授课题组链接:http://www2.coe.pku.edu.cn/faculty/guoshaojun
本文由材料人新能源组Allen供稿,材料牛整理编辑。
材料牛网专注于跟踪材料领域HTH官网地址 及行业进展,这里汇集了各大高校硕博生、一线科研人员以及行业从业者,如果您对于跟踪材料领域HTH官网地址 进展,解读高水平文章或是评述行业有兴趣,点我加入编辑部大家庭。
欢迎大家到材料人宣传HTH官网地址 成果并对文献进行深入解读,投稿邮箱tougao@cailiaoren.com。
投稿以及内容合作可加编辑微信:RDD-2011-CHERISH,任丹丹,我们会邀请各位老师加入专家群。
材料测试、数据分析,上测试谷!





