
作者:
弼马温,悉尼大学物理博士一枚,第一性原理殿堂中一个养马的小官儿。现为材料人计算HTH官网地址 顾问。
诸位材料人的看官,今天请随我一起聊一聊“第一性原理”这个材料学中耳熟能详的术语。
1、第一性原理的起源
第一性原理这个名词,翻译自英文短语first principle,又作ab-initio,字面意义可以理解为“initio(最初的)之前的”。可考于西方古典主义时期希腊城邦时代,最早由亚里士多德提出[i]。第一性原理最初仅仅是一个哲学用语,主要用来指代任何“基础的(basic)”“原始的(fundamental)”“自证的(self-evident)”仅包含假设与猜想,不可从其他已有的定理或是经验定理推导、演绎得到的理论。这句话看起来拗口,其实不难理解:我们熟悉的几何学中曾有过公理(axiom)的说法,公理不可被证明、不可由其他定理演绎或推导;公理是某个理论体系(如欧几里得几何)的基石(假设),虽然与经验定理类似,皆是建立在长期的实践观察总结或猜想所得,但稍微不同之处在于公理之上建立的体系往往有自洽性与完备性,而经验定理则存在适用范围和成立条件。经验定理虽然在完全清楚之前往往说不清楚适用范围,不然不会叫经验定理了,但是确实在偏离条件较远的位置不成立。而完备理论则相反,体系本身是自洽的,衡量一个理论的价值高低仅仅在于其描述是否符合事实。

由上我们可以看出,第一性原理本身是要求理论不依赖任何经验公式、实验观测,虽然各位可能指出今天很多材料学中的第一性原理研究往往需要加入实验值、经验公式的修正才能更精确地解释一些现象,但这只是因为现今时代人类对材料学的研究尚不彻底,理论本身尚待进一步完善,而当下又需要迫切解决实际问题时的一种权宜之计。关于这一点,后文将详述。
20世纪以前,第一性原理的概念大多见诸于数学、哲学和理论物理——此三者有一个共同点:它们都属于人脑的归纳、演绎产生的逻辑自洽学科,其理论体系的基石都可称之为第一性原理(历史原因,在不同的场合有时阐述为“假设”“猜想”“理论”“公理”),从这个意义上讲它们可以明显区别于诸如化学、生物等建立在实验基础上的学科。当然理论物理发展的初衷也是为了解释实验现象,为解决问题提供指导理论,但是其理论的基础一般是从假设(Assumption)或是条件开始。数学上的例子包括之前所述的欧式几何中的公理、以及数论中的实数基本原理;哲学中的例子数不胜数,因与今天的话题关系不大在此不再赘述;诸位熟悉的经典物理学中一个有名的算得上是第一性原理的案例即是17世纪万年的牛顿在自己的理论完备之后,问了自己一个问题:“行星绕恒星做匀速圆周运动可以解释为万有引力的原因。那么行星的初速度是由什么决定的呢?”牛顿发现自己的理论不能回答这个问题,于是转而研究上帝,最后得出结论“是上帝推了它们第一把”,其中便引用了ab-initio(第一性原理)的表述。
2、凝聚态物理中的第一性原理
如前所述,第一性原理的概念涉及众多学科,而咱们今天材料学、凝聚态物理中的第一性原理主要包含两大分支:密度泛函理论(Density Functional Theory, DFT)和分子动力学(Molecule Dynamics, MD),它们的源头可追溯于20世纪初量子力学的诞生。量子力学的理论框架是由下列五个假设构成的:
1.微观体系的运动状态由相应的归一化波函数描述;
2.微观体系的运动状态波函数随时间变化的规律遵从薛定谔方程的解;
3.任何可测量力学量由相应的线性厄米算符表示;
4.力学量算符之间存在对易关系,称为量子条件;坐标算符的三个直角坐标系分量与动量算符的三个直角坐标系分量之间的对应关系称为基本量子条件;力学量算符由其相应的量子条件确定;
5.全同的多粒子体系的波函数对于任意一对粒子交换而言具有对称性:玻色子的波函数具有交换对称性,费米子的波函数具有交换反对称性。
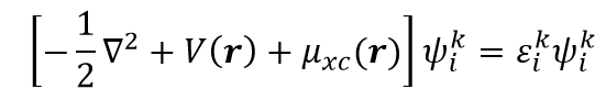
量子力学是与之前低速、连续假设的经典力学有诸多不同的,其中一个较大的突破即是用薛定谔方程的解——波函数来描述具有波粒二象性的物质。然而,精确的薛定谔方程求解对于复杂多个粒子体系而言,特别是像晶体结构这种包含几乎无穷个分子、原子、电子的体系来说简直是不可能的任务。好在材料学中大多数情况讨论的物质如晶体具有周期性,电子的质量与原子核相比某种程度上可以忽略不计等特点,这些特点使得在满足所求解的统计学宏观物理量精确度要求的情况下可以适当采取一些近似。1927年波恩和奥本海默认为原子核惯性质量远大于电子,因而在动量守恒的前提下同等时间内原子核的速度变化远远小于电子,故电子的运动问题可以以原子核坐标为参考系(近似认为原子核几乎静止),这被称为波恩–奥本海默绝热近似(Born-Oppenheimer approximation)[ii];1930年,哈特里和他的学生福克认为:具有周期性结构的晶体中不同晶胞同一位置上的原子同一能态的电子波函数仅有相位上的差别,而这种相位差别在多体问题中可以忽略,这样某能态电子多体问题原薛定谔方程的解可以简化为单电子波函数的乘积,这被称为哈特里–福克自洽场近似(Hatree-Fock self consistant field method)[iii];随后,科恩和他的学生沈吕九在1965年前后指出:材料中的能量分为原子核动能、原子核间相互作用能、电子动能、电子间相互作用能、电子-原子核相互作用能这五个部分,在此基础上逐一分析并吸纳上述近似,写下著名的科恩–沈吕九方程(Kohn-Sham equation)。此方程中体系的哈密顿算子仅包含原子周期性势函数、电子动能算符和由于上述近似带来的偏差——相互交换能与相互关联能(exchange & correlation energy)。这是第一性原理发展史上重要的一步,为后来所有的第一性原理分析提供了解决问题的框架,被认为是标志着第一性原理的诞生。

——原子单位制下的科恩-沈吕九方程,此处第一项为非相对论近似下的电子动能算子,第二项为势函数,第三项为电子相互交换能与相互关联能,为密度函数(波函数),为能量本征值。
而后,科恩与沈吕九又进一步将传统薛定谔方程的解——波函数改写为电子的密度函数(density function),减少了求解多电子体系问题的自由度,此举大大减少了求解薛定谔方程的计算量[iv]。此外根据泡利不相容原理(Pauli exclusion principle),电子作为费米子完全相同的能态上不能容纳2个完全相同的电子,这为求解多电子体系提供了泛函方法的先决条件。简单地说,在求解科恩-沈吕九方程时基态能态一定拥有所有可能解中最小的能级(能量本征值),因此通过泛函极值的方法最终可以求解出这一能态(当然今天的算法已经不是如此原始)。有了基态(能量最低态),能量比基态稍高(第二低)的能态便是第一激发态,进而逐步求解出整个体系的能态。有了能态之后随即就有对应的密度函数(波函数),便可原则上求得任何体系的力学量。基于量子力学基本假设,从一个体系的结构出发,写出科-沈方程的哈密顿量,到求解体系的能态、密度函数,最后求得所需的所有物理量,这一连串的过程构成完整的理论体系,完全不依赖于任何经验拟合值、实验测量值,是为第一性原理。科恩、沈吕九以及在这过程中所有有关物理学家所建立的这套理论被称之为密度泛函理论,科恩也因此获得了1998年诺贝尔化学奖(主要是因为此理论在计算化学依然有巨大的用武之地并且科恩本人在化学领域的贡献)。
科恩-沈吕九方程是在1965年前后提出的,彼时人类的计算能力有限,计算机学科的发展刚刚经过萌芽阶段,密度泛函理论虽然提供了材料学一个强大的解决问题的武器,奈何万事俱备只欠东风。第一性原理真正的黄金时期是在1970年代~80年代超级计算机的诞生之后,强大的计算能力结合密度泛函理论进一步发展使得第一性原理如虎添翼。在计算中发现,关于科恩-沈吕九方程的第三项——相互关联能与相互交换能的取舍、含义直接影响了计算结果的可信度与准确性。欲知算法的优化与超级计算机时代第一性原理的后事如何,且听下回分解——

参考文献
[i] Vernon Bourke, Ethics, (New York: The Macmillan Co., 1966), 14.
[ii] M. Born; R. Oppenheimer. Zur Quantentheorie der Molekeln (PDF). Annalen der Physik. 1927, 389 (20): 457–484 [2010-08-05]. doi:10.1002/andp.19273892002.
[iii] Froese Fischer, Charlotte (1987). “General Hartree-Fock program”. Computer Physics Communication. 43 (3): 355–365. Bibcode:1987CoPhC..43..355F. doi:10.1016/0010-4655(87)90053-1
[iv] Kohn, Walter; Sham, Lu Jeu. Self-Consistent Equations Including Exchange and Correlation Effects. Physical Review. 1965, 140 (4A): A1133–A1138. Bibcode:1965PhRv..140.1133K. doi:10.1103/PhysRev.140.A1133
如果您也想在材料研究应用第一性原理,欢迎扫码提交您的需求。材料人材料计算HTH官网地址 顾问可为您解忧。






