当前位置: 材料牛 » HTH官网地址 » 导读 » Nat. Commun:铁磁Co / Pt多层材料超快磁致冷作用

Nat. Commun:铁磁Co / Pt多层材料超快磁致冷作用

【引言】

巨磁热效应自从发现以来在理解磁制冷机制方面一直受到广泛的关注。由于磁制冷(MCE)是通过外场的强制磁化排列的结果,所以自然地出现MCE可以实现多快的问题。 这个问题与磁性材料的退磁动力学和随后的再磁化有关。 在过去二十年中,Beaurepaire等人的开创性工作已经深入研究了通过时间分辨的磁光克尔效应(TR-MOKE)的超快光致退磁再磁化现象。由光脉冲触发的净磁矩的超快退磁和再磁化过程激发了学者对飞秒时间尺度上自旋、电子、晶格和光子之间的超快速相互作用动力学的极大关注。 因此,在飞秒激光加热过程中确认MCE的存在对于进一步了解相关的自旋,电子和晶格动力学至关重要。

【成果简介】

近日,韩国忠北大学Dong-Hyun Kim和浦项HTH官网地址 大学Dong Eon Kim(共同通讯作者)Nat. Commun上发布了一篇题为“Ultrafast giant magnetic cooling effect in ferromagnetic Co/Pt multilayers”的文章。在该文章中研究人员对激光能量密度的系统变化以及外场强度和方向的时间分辨磁光响应进行了广泛分析,从而发现在光诱导退磁和再磁化过程中,Co / Pt纳米多层材料在飞秒时间范畴内存在巨磁冷却(高达200 K)现象,其中无序自旋排列更快,通过多层体系中的晶格-自旋相互作用从而磁冷却。

【图文解读】

图一 超快磁制冷效应示意图

(a) 样品在外磁场下的退磁状态;

(b) 样品在零外磁场下的退磁状态。灰色箭头表示激光脉冲传播方向

图二 时间分辨的磁光克尔效应

(a) n = 5,10,15的磁光克尔效应3D图像;

(b) 不同时间条件下测量的磁滞回线∆θKerr

(c) 不同场强度下的标准化TR-MOKE信号。

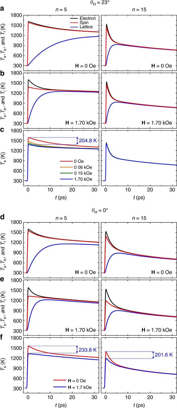
图三 电子、自旋、晶格随温度变化曲线

θH = 23°:

(a) 零场下Ts(红色),Te(黑色)和T1(蓝色)的时间特性;

(b) 1.7kOe Ts,Te和T1的时间特性;

(c) 不同外场条件下的Ts延迟现象;

θH = 0°:

(d) 零场下Ts、Te、T1的时间特性;

(e) 1.7kOe Ts,Te和T1的时间特性;

(f) 不同外场条件下的Ts延迟现象;

图四 场依赖和注量依赖行为

θH = 23°:

(a) Gls / Gls(H = 0)和∆Ts场依赖性;

(b-c) 不同场条件下的τeff和A0 拟合曲线;

θH = 0°:

(d) Gls / Gls(H = 0)和∆Ts注量依赖性。

【小结】

磁冷却效应源自强制磁化排列导致大的熵变,与常规制冷相比,长期以来被认为是用作替代环境友好的冷却技术。这项研究不仅是一个原理验证实验,而且可能提供未来应用利用飞秒和/或皮秒磁性冷却现象的可能性,为亚皮秒时间刻度的超快磁性冷却研究和应用打开了一扇门,为实现超快磁性器件找到新途径。

文献链接:Ultrafast giant magnetic cooling effect in ferromagnetic Co/Pt multilayers (Nat. Commun,2017,DOI: 10. 1038/ s41467- 017- 00816- w)

本文由材料人金属材料组liunian供稿,材料牛整理编辑。

材料牛网专注于跟踪材料领域HTH官网地址 及行业进展,这里汇集了各大高校硕博生、一线科研人员以及行业从业者,如果您对于跟踪材料领域HTH官网地址 进展,解读高水平文章或是评述行业有兴趣,点我加入编辑部大家庭

欢迎大家到材料人宣传HTH官网地址 成果并对文献进行深入解读,投稿邮箱tougao@cailiaoren.com。

投稿以及内容合作可加编辑微信:RDD-2011-CHERISH,任丹丹,我们会邀请各位老师加入专家群。

材料测试、数据分析,上测试谷

未经允许不得转载:材料牛 » Nat. Commun:铁磁Co / Pt多层材料超快磁致冷作用

相关文章

Baidu
map