引言
第四主族石墨烯、硅烯、锗烯和锡烯的拓扑态已经有大量的研究,然而这些材料只能生长在有强界面作用的衬底表面,从而破坏了它们原有的π轨道狄拉克态。我们的理论研究发现在4H-SiC(0001)表面的硅烯存在Px,y新的拓扑态,并且通过贝里曲率计算证明了它是非平庸的,陈数为2。这将意味着硅烯在SiC(0001)可以实现量子反常霍尔效应,将有利于利用在纳米电子器件方面的应用。
成果简介
近日,湘潭大学物理与光电工程学院郭志新副教授(通讯作者)等人在Nano Letters 在线发表题为“Topological Dirac States beyond π‑Orbitals for Silicene on SiC(0001) Surface”的文章,研究者在强界面束缚作用下硅烯在SiC(0001)表面发现了Px,y的狄拉克态,它是拓扑非平庸的。从而实验在此体系可以实现量子反常霍尔效应,进一步应用的纳米电子器件。本文的第一作者是李平博士、The University of Texas at Austin的李晓博士和湘潭大学机械工程学院的赵为副教授。本工作与湖南师范大学陈明星教授、北京大学冯济教授、复旦大学龚新高教授、The University of Texas at Austin的Allan H. MacDonald教授和Hua Chen博士合作完成,感谢牛谦教授Erio Tosatt教授和罗伟博士的有益讨论、得到国家自然科学基金(11604278, 11374252)的资助,在此一并表示感谢。
图文导读
图1.结构、模拟的STM、3D能带结构以及布里渊区

(a,b)c-top硅烯在SiC(0001)衬底表面的结构示意图;
(c)模拟的STM;
(d)c-top硅烯在SiC(0001)衬底表面的3D能带结构;
(e)c-top硅烯在SiC(0001)衬底表面的布里渊区。
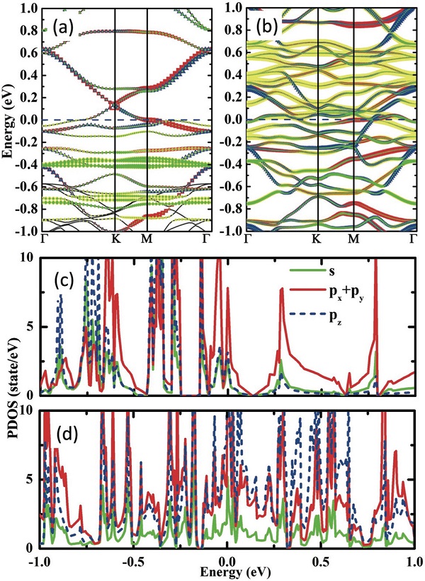
图2.c-top硅烯在SiC(0001)衬底表面的能带结构和态密度

(a,c)c-top硅烯在SiC(0001)衬底表面的能带结构和态密度;
(b,d)剥离SiC衬底以后的能带结构和态密度。
图3. 狄拉克态的Kohn−Sham (KS)轨道

(a,c)高对称K点低能狄拉克态Kohn−Sham (KS)轨道的侧视图和俯视图;
(b,d)高对称K点高能狄拉克态Kohn−Sham (KS)轨道的侧视图和俯视图。
图4.c-top硅烯在SiC(0001)衬底上的能带结构

(a)c-top硅烯在4层SiC(0001)衬底上,考虑了自旋没有考虑SOC的能带结构;
(b)c-top硅烯在1层SiC(0001)衬底上,考虑了SOC的能带结构。
图5.c-top硅烯在SiC(0001)衬底上的贝里曲率

(a)3D的贝里曲率;
(b,c)2D的K和K’的贝里曲率。
图6.c-top硅烯的示意图和低能有效模型拟合的能带结构

(a)c-top硅烯的示意图,可以分成A和B两个部分;
(b)A用大的蓝色原子表示,B用小的黄色原子表示的六角蜂窝结构示意图;
(c)在K点DFT计算和低能有效模型拟合的能带结构。
总结和展望
在这篇文章中,作者在c-top硅烯在SiC(0001)衬底体系中发现了π轨道以外的狄拉克态,通过贝里曲率计算证明了这个体系是拓扑非平庸的,陈数为2,表明此体系不需要任何磁性原子掺杂也可以实现量子反常霍尔效应。
文献链接:Topological Dirac States beyond π‑Orbitals for Silicene on SiC(0001) Surface (Nano Letters, 2017, DOI: 10.1021/acs.nanolett.7b02855)
本文由郭志新老师团队投稿,材料牛编辑整理。
材料牛网专注于跟踪材料领域HTH官网地址 及行业进展,这里汇集了各大高校硕博生、一线科研人员以及行业从业者,如果您对于跟踪材料领域HTH官网地址 进展,解读高水平文章或是评述行业有兴趣,点我加入编辑部大家庭。
欢迎大家到材料人宣传HTH官网地址 成果并对文献进行深入解读,投稿邮箱tougao@cailiaoren.com。
投稿以及内容合作可加编辑微信:RDD-2011-CHERISH,任丹丹,我们会邀请各位老师加入专家群。
材料测试、数据分析,上测试谷!





