【引言】
在过去的十年里为了给新兴的电动汽车和移动电子产品提供动力,人们对高能量密度材料的需求不断增长,高性能的可充电电池也引起了人们的关注。为了推动锂硫电池的商业化,研究者们报道了多种提高硫的容量利用率和阻止聚硫化物流失的策略方法;但是,提高锂硫电池(Li-S)能量密度至实际应用水平仍是一个巨大的挑战,因为满足实际应用水平的高负载电极中硫和硫化锂的电子和离子电导率较低。作为一种能够替代硫的高导电性活性材料,以硒(Se)作为正极材料的Li-Se电池具有更好地反应活性;但是Se的质量比容量较低且价格昂贵,限制了Li-Se电池的应用范围。为了实现S和Se电化学特性的优势互补,S-Se固溶体(SexSy)被认为是非常有潜力的储锂材料。一系列基于SexSy的正极材料都展现出引人注目的储能优势。但是,和S正极相似,SexSy正极的可溶性中间产物也会引起电池容量的快速衰减。受到锂硫电池化学吸附机理的启发,一些极性材料也可能有效的抑制多硫离子/多硒离子在SexSy正极中的溶解。近期,报道了一些金属氧化物/氮化物/硫化物可以作为宿主材料很好地解决锂硫电池中聚硫化物溶解的问题;其中,CoS2材料由于具有独特的物理和化学性质,因此可以作为锂硫电池有效地宿主材料,其不仅可以对多硫化锂提供强的化学吸附作用,还可以从动力学上促进多硫化锂的还原反应。
近期,南洋理工大学的楼雄文教授在Angewandte Chemie-International Edition上发表题为“A Freestanding Selenium Disulfide Cathode Based on Cobalt Disulfide-Decorated Multichannel Carbon Fibers with Enhanced Lithium Storage Performance”的文章,报道了一种CoS2纳米颗粒修饰的莲藕型碳纤维网络(CoS2@LRC)作为SeS2的宿主材料以提高锂的存储性能。该整体电极由三维交联多通道的碳纤维组成,其中不仅可以容纳高含量的SeS2(70wt%),而且保证了电子和离子快速传输,因此实现高的容量利用率,在0.2A/g电流密度下可达1015mAh/g。
【图文简介】
图一. 合成过程示意图

a) CoS2@LRC的合成过程示意图;
b) 相比于LRC/SeS2,CoS2@LRC/SeS2的优势示意图。
图二. XRD,FESEM,TEM以及TGA表征

a,e,i) XRD图谱; b,c,f,g,j,k,l) FESEM表征图; d,h,n,o,p) TEM表征图; m) TGA曲线;
a-d) Co(Ac)2/PAN/PS; e-h) Co@LRC; i-p) CoS2@LRC。
图三. CoS2@LRC/SeS2电极的表征

a-c) CoS2@LRC/SeS2电极的FESEM表征,图a内部是CoS2@LRC/SeS2电极的照片,图b内部是CoS2@LRC/SeS2电极的截面FESEM图;
d) CoS2@LRC/SeS2电极的TGA曲线;
e) CoS2@LRC/SeS2电极的TEM图;
f) CoS2@LRC/SeS2电极的TEM图对应的元素mapping。
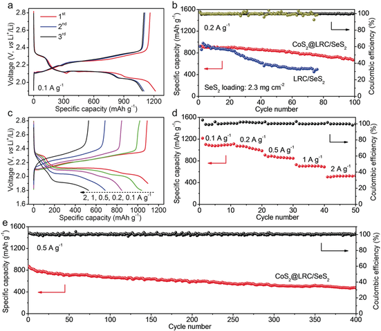
图四. CoS2@LRC/SeS2电极的电化学性能测试

a) CoS2@LRC/SeS2电极的电压分布曲线,电流密度为1A/g;
b) CoS2@LRC/SeS2电极和LRC/SeS2电极循环性能对比;
c) CoS2@LRC/SeS2电极在不同电流密度下的电压分布曲线;
d) CoS2@LRC/SeS2电极在不同电流密度下的倍率性能;
d) CoS2@LRC/SeS2电极的长循环寿命,电流密度为5A/g。
【小结】
文章报道了一种具有良好集成特性的自支撑CoS2@LRC/SeS2电极,其具有高含量的电活性SeS2,多功能的CoS2纳米颗粒和导电的LRC网络结构。具体来说,SeS2比S更具有反应活性;导电的LRC网络进一步确保了容量利用率并且CoS2纳米颗粒保证了良好的循环稳定性。由于上述优势,CoS2@LRC/SeS2 正极材料具有高的放电容量,在0.2A/g (2.3 mg/cm2)电流密度下电容可达1015 mAh/g,同时具有优异的倍率性能和长的循环寿命,可超过400个循环。
文献链接:A Freestanding Selenium Disulfide Cathode Based on Cobalt Disulfide-Decorated Multichannel Carbon Fibers with Enhanced Lithium Storage Performance (Angew.Chem. Int. Ed.,2017,DOI:10.1002/anie.201708105)
【课题组相关介绍】
一. 团队介绍
新加坡南洋理工大学楼雄文教授团队自成立至今,一直专注于新型纳米功能材料的开发及其在能源环境领域的应用,相关工作已在Nature Energy, Science Advances, Joule, Nature Communications, Advanced Materials, Angewandte Chemie-International Edition, Journal of the American Chemical Society, Energy & Environmental Science等业内顶级期刊上发表(参见其课题组主页http://www.ntu.edu.sg/home/xwlou/),引起了国内外学术界的广泛关注。
二. 团队在该领域工作汇总
近年来,楼雄文教授团队设计开发了多种空心纳米结构用于提高锂硫电池性能,在该领域发表了多篇有影响力的论文:
1.Zhang, C.; Wu, H. B.; Yuan, C.; Guo, Z.; Lou, X. W., Confining sulfur in double-shelled hollow carbon spheres for lithium-sulfur batteries. Chem. Int. Ed. 2012, 51 (38), 9592-5.
2.Wu, H. B.; Wei, S.; Zhang, L.; Xu, R.; Hng, H. H.; Lou, X. W., Embedding sulfur in MOF-derived microporous carbon polyhedrons for lithium-sulfur batteries. Eur. J. 2013, 19 (33), 10804-8.
3.Wang, Z.; Dong, Y.; Li, H.; Zhao, Z.; Wu, H.; Hao, C.; Liu, S.; Qiu, J.; Lou, X. W., Enhancing lithium-sulphur battery performance by strongly binding the discharge products on amino-functionalized reduced graphene oxide. Commun. 2014, 5, 5002.
4.Li, Z.; Zhang, J.; Lou, X. W., Hollow carbon nanofibers filled with MnO2 nanosheets as efficient sulfur hosts for lithium-sulfur batteries. Chem. Int. Ed. 2015, 54 (44), 12886-12890.
5.Li, Z.; Zhang, J. T.; Chen, Y. M.; Li, J.; Lou, X. W., Pie-like electrode design for high-energy density lithium-sulfur batteries. Commun. 2015, 6, 8850.
6.Zhang, J.; Hu, H.; Li, Z.; Lou, X. W., Double-shelled nanocages with cobalt hydroxide inner shell and layered double hydroxides outer shell as high-efficiency polysulfide mediator for lithium-sulfur batteries. Chem. Int. Ed. 2016, 55 (12), 3982-6.
7.Li, Z.; Wu, H. B.; Lou, X. W., Rational designs and engineering of hollow micro-/nanostructures as sulfur hosts for advanced lithium–sulfur batteries. Energy Environ. Sci. 2016, 9 (10), 3061-3070.
8.Li, Z.; Zhang, J.; Guan, B.; Wang, D.; Liu, L. M.; Lou, X. W., A sulfur host based on titanium monoxide@carbon hollow spheres for advanced lithium-sulfur batteries. Commun. 2016, 7, 13065.
9.Li, Z.; Guan, B. Y.; Zhang, J.; Lou, X. W., A compact nanoconfined sulfur cathode for high-performance lithium-sulfur batteries. Joule 2017, DOI: 10.1016/j.joule.2017.06.003
10.Li, Z.; Zhang, J.; Wu, H. B.; Lou, X. W. D., An improved Li-SeS2 battery with high energy density and long cycle life. Energy Mater. 2017, 7 (15), 1700281.
11.Zhang, J.; Li, Z.; Lou, X. W. D., A freestanding selenium disulfide cathode based on cobalt disulfide-decorated multichannel carbon fibers with enhanced lithium storage performance. Chem. Int. Ed. 2017, DOI: 10.1002/anie.201708105.
三. 相关优质文献推荐
1.Abouimrane, A.; Dambournet, D.; Chapman, K. W.; Chupas, P. J.; Weng, W.; Amine, K., A new class of lithium and sodium rechargeable batteries based on selenium and selenium-sulfur as a positive electrode. Am. Chem. Soc. 2012, 134 (10), 4505-8.
2.Cui, Y.; Abouimrane, A.; Lu, J.; Bolin, T.; Ren, Y.; Weng, W.; Sun, C.; Maroni, V. A.; Heald, S. M.; Amine, K., (De)lithiation mechanism of Li/SeSx (x = 0-7) batteries determined by in situ synchrotron X-ray diffraction and X-ray absorption spectroscopy. Am. Chem. Soc. 2013, 135 (21), 8047-56.
3.Xu, G. L.; Ma, T.; Sun, C. J.; Luo, C.; Cheng, L.; Ren, Y.; Heald, S. M.; Wang, C.; Curtiss, L.; Wen, J.; Miller, D. J.; Li, T.; Zuo, X.; Petkov, V.; Chen, Z.; Amine, K., Insight into the Capacity Fading Mechanism of Amorphous Se2S5 Confined in Micro/Mesoporous Carbon Matrix in Ether-Based Electrolytes. Nano Lett. 2016, 16 (4), 2663-73.
4.Sun, F.; Cheng, H.; Chen, J.; Zheng, N.; Li, Y.; Shi, J., Heteroatomic SenS8-n Molecules Confined in Nitrogen-Doped Mesoporous Carbons as Reversible Cathode Materials for High-Performance Lithium Batteries. ACS Nano 2016, 10 (9), 8289-98.
5.Wei, Y.; Tao, Y.; Kong, Z.; Liu, L.; Wang, J.; Qiao, W.; Ling, L.; Long, D., Unique electrochemical behavior of heterocyclic selenium–sulfur cathode materials in ether-based electrolytes for rechargeable lithium batteries. Energy Storage Mater. 2016, 5, 171-179.
6.Li, X.; Liang, J.; Zhang, K.; Hou, Z.; Zhang, W.; Zhu, Y.; Qian, Y., Amorphous S-rich S1−xSex/C (x ≤ 0.1) composites promise better lithium–sulfur batteries in a carbonate-based electrolyte. Energy Environ. Sci. 2015, 8 (11), 3181-3186.
7.Zhang, Z.; Jiang, S.; Lai, Y.; Li, J.; Song, J.; Li, J., Selenium sulfide@mesoporous carbon aerogel composite for rechargeable lithium batteries with good electrochemical performance. Power Sources 2015, 284, 95-102.
本文由材料人编辑部新能源组Jane915126供稿,材料牛编辑整理。
材料牛网专注于跟踪材料领域HTH官网地址 及行业进展,这里汇集了各大高校硕博生、一线科研人员以及行业从业者,如果您对于跟踪材料领域HTH官网地址 进展,解读高水平文章或者评述行业有兴趣,点击加入编辑部大家庭。
欢迎大家到材料人宣传HTH官网地址 成果并对文献进行深入解读,投稿邮箱tougao@cailiaoren.com。
投稿以及内容合作可以编辑微信:RDD-2011-CHERISH,任丹丹,我们会邀请各位老师加入专家群。
材料测试、数据分析,上测试谷!





