【引言】
为了满足未来多样化的储能需求,需要发展除锂离子电池以外的先进储能技术。与单价的Li+、Na+相比,多价的Mg2+、Al3+负载的电荷量更多,从而使镁离子电池和铝离子电池具有远高于锂离子电池的理论体积能量密度。此外,由于镁和铝具有储量丰富、相对密度小、离子半径小、无枝晶等优点,也使镁离子电池和铝离子电池成为倍受瞩目的研发方向。然而,Mg2+、Al3+等多价离子与正极材料晶格之间强烈的静电斥力阻碍了多价离子嵌入正极材料的过程,这不仅增加了多价离子在正极材料中的扩散阻力,还使正极比容量受到了极大的限制。因此,需要设计并发掘不同于以往的正极材料,使多价离子嵌入正极材料的动力学特征得到改善。
【成果简介】
近日,巴黎索邦大学的马吉伟青年研究员、Damien Dambournet副教授和柏林工业大学的Peter Strasser教授(共同通讯作者)通过水热法制备由F–、OH–共掺杂的锐钛矿型TiO2,在TiO2基体中引入了浓度高达22%的Ti4+空位。Ti4+空位作为多价离子嵌入正极材料的活性位点,显著改善了Mg2+、Al3+嵌入过程的热力学及动力学特征。DFT计算结果表明,F–离子掺杂显著提高了Li+、Mg2+、Al3+嵌入锐钛矿型TiO2的热力学驱动力,甚至使Mg2+、Al3+达到比Li+更负的嵌入形成能。实验结果表明,F–掺杂引入的Ti4+空位使锐钛矿型TiO2作为镁离子电池正极的可逆容量由25 mAh/g提高到155 mAh/g,平均每1 mol TiO2的储镁量由0.037 mol提高到0.21 mol,接近于Mo6S8、Li4Ti5O12等材料的水平。该镁离子电池正极具有优异的倍率性能和循环稳定性,在150 mA/g的电流密度下循环充放电200次后仍能保持100 mAh/g的比容量,在300 mA/g的电流密度下循环充放电500次后的比容量为65 mAh/g。若将该材料用于铝离子电池,则高浓度的Ti4+空位能将该正极可逆容量由未掺杂时的30 mAh/g提高到掺杂后的90 mAh/g。该正极材料在充放电过程中的体积变化率低于0.6%,具有良好的机械稳定性。核磁共振测试结果表明,F–掺杂的锐钛矿型TiO2中含有Ti□2-F和Ti2□1-F(□代表Ti4+空位)的化学环境, Mg2+、Al3+倾向于首先嵌入Ti□2-F中的Ti4+空位,随后再嵌入剩余的Ti2□1-F、TiMg□1-F或TiAl□1-F中的Ti4+空位。该研究成果以“Reversible magnesium and aluminium ions insertion in cation-deficient anatase TiO2”为题,发表在Nature Materials上。
【图文导读】
图1. DFT计算金属离子在不同位点上的嵌入形成能

上图:无缺陷的Ti36O72、只有一个阳离子空位的Ti35□1O68F4、含有两个阳离子空位的Ti126□2O248F8的嵌入位点模型。
下图:由DFT计算得到的Li+、Mg2+、Al3+在锐钛矿型TiO2和F–掺杂的TiO2中的嵌入形成能。
图2. 阳离子缺陷的表征及电化学性能测试

(a,b) 锐钛矿型Ti0.78□0.22O1.12F0.40(OH)0.48纳米颗粒的(a) 高分辨球差校正TEM图像;(b) [001]方向上的原子级分辨率图像。
(c) 彩色高分辨TEM图像。插图为白色方框区域的衬度分布图。
(d,e) 计算得到的锐钛矿型Ti0.78□0.22O1.12F0.40(OH)0.48沿[001]方向的高分辨TEM图像,其中(d)图为Ti4+空位均匀分布,(e)图为Ti4+空位随机分布。由于(e)图更接近于实验观测结果,可知实际情况下Ti4+空位倾向于随机分布。
(f) 镁离子电池中TiO2和Ti0.78□0.22O1.12F0.40(OH)0.48的恒电流充放电曲线。充放电电流密度为20 mA/g,测试电压范围为0.05-2.3V vs. Mg2+/Mg。
(g) 铝离子电池中TiO2和Ti0.78□0.22O1.12F0.40(OH)0.48的恒电流充放电曲线。充放电电流密度为20 mA/g,测试电压范围为0.01-1.8V vs. Al3+/Al。
图3. 充放电过程中电极结构的表征

(a) Ti0.78□0.22O1.12F0.40(OH)0.48的充放电曲线。
(b) 如(a)图所示,在不同的充放电深度取样,测得的高能同步XRD谱图经傅里叶变换得到的对分布函数(PDF)图像。
(c) 充放电过程中Ti0.78□0.22O1.12F0.40(OH)0.48的晶格常数及晶胞体积的相对变化率。
(d) Mg2+占据Ti4+空位(记为4a)和八面体间隙(记为4b)的几率。
图4. Mg2+嵌入Ti4+空位时的化学环境表征

(a) 由EDX得到的Mg元素分布图与Ti0.78□0.22O1.12F0.40(OH)0.48的HAADF-STEM图像的重叠图。
(b) Ti0.78□0.22O1.12F0.40(OH)0.48的EELS-STEM谱图,图中L3代表TiIII,L2代表TiIV。
(c) Mg0.13Ti0.78□0.09O1.12F0.40(OH)0.48的高分辨HAADF-STEM图像。
(d) 图(c)中红色方框内的EELS-STEM图像。
(e) Ti元素的L2/L3比值分布图。
(f) Ti0.78□0.22O1.12F0.40(OH)0.48 和 (g) Mg0.13Ti0.78□0.09O1.12F0.40(OH)0.48的魔角旋转固体核磁共振谱(MAS NMR),测试频率为(f) 60 kHz; (g) 34 kHz。
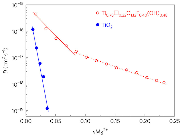
图5. Mg2+在TiO2和Ti0.78□0.22O1.12F0.40(OH)0.48中的扩散系数随放电深度的变化

在Ti0.78□0.22O1.12F0.40(OH)0.48的嵌镁过程中,随着放电深度的变化,Mg2+首先在Ti□2-F中的Ti4+空位扩散,其扩散系数平均值为9×10-17 cm2 s-1; 随后在剩余的Ti2□1-F或TiMg□1-F中的Ti4+空位扩散,其扩散系数平均值为4×10-18 cm2 s-1。
【小结】
在这项工作中,研究人员通过将锐钛矿型TiO2中的O2-部分替换为F–和OH–,大幅提高了Ti4+空位的浓度,促进了高价离子在Ti4+空位的可逆嵌入/脱嵌过程。高浓度Ti4+空位的引入不仅显著增强了Mg2+、Al3+嵌入锐钛矿型TiO2的热力学驱动力,还使Mg2+、Al3+在锐钛矿型TiO2中扩散的动力学特性得到了明显的改善。此外,Ti4+空位的引入缓解了循环充放电过程中高价离子嵌入/脱嵌导致的晶格应力,使正极具有良好的机械性能。这项工作充分表明,通过向基体材料中引入阳离子空位能激发正极材料的储镁、储铝等潜能。利用缺陷化学的原理,可以选用天然存在阳离子空位的材料或在制备过程中人为引入阳离子空位等缺陷,从而制备出适用于高价金属离子电池的先进电极材料。
文献链接:Reversible magnesium and aluminium ions insertion in cation-deficient anatase TiO2 (Nat. Mater., 2017, DOI: 10.1038/nmat4976)
本文由材料人新能源前线王钊颖供稿,材料牛整理编辑。
参与新能源话题讨论请加入“材料人新能源材料交流群 422065952”。
材料牛网专注于跟踪材料领域HTH官网地址 及行业进展,这里汇集了各大高校硕博生、一线科研人员以及行业从业者,如果您对于跟踪材料领域HTH官网地址 进展,解读高水平文章或是评述行业有兴趣,点我加入材料人编辑部。
材料测试,数据分析,上测试谷!





